Đề thi học kì 2 môn Toán lớp 12 năm 2017 - 2018 trường THPT Đa Phúc - Hà Nội



Đề thi học kì 2 môn Toán lớp 12 năm 2018
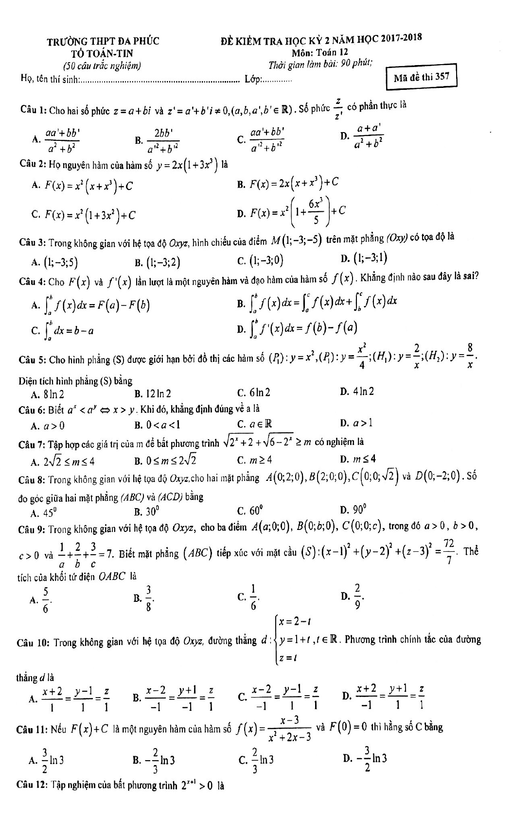
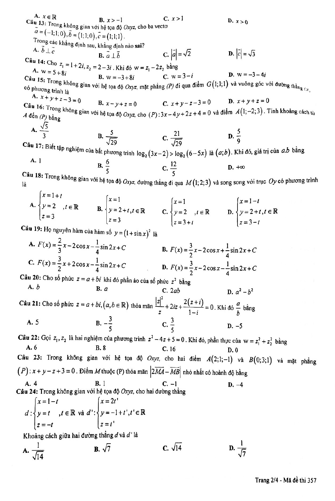
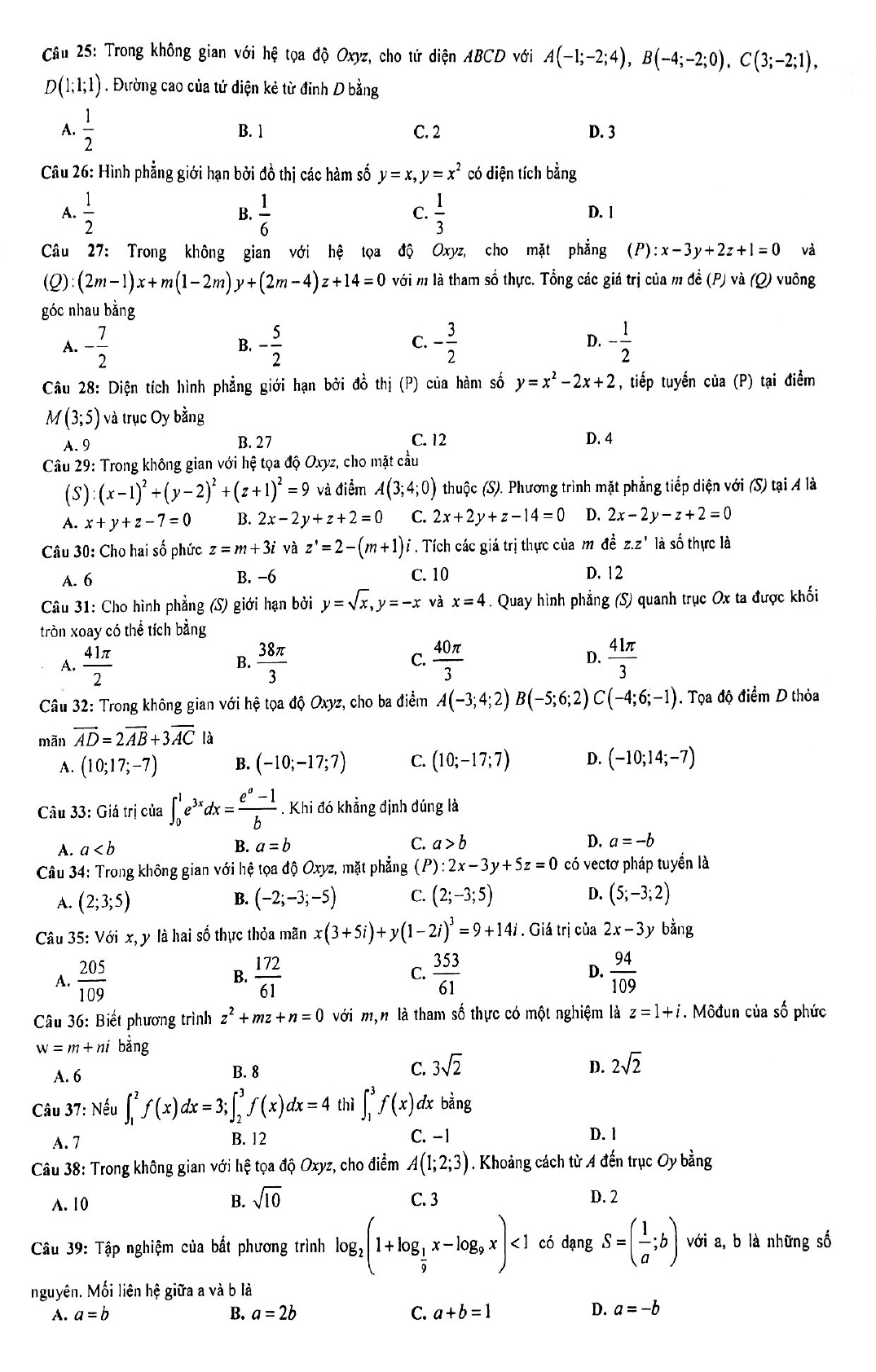
VnDoc xin giới thiệu tới bạn đọc tài liệu Đề thi học kì 2 môn Toán lớp 12 năm 2017 - 2018 trường THPT Đa Phúc - Hà Nội, với 50 câu hỏi trắc nghiệm khách quan, mỗi câu hỏi gồm 4 phương án trả lời, thời gian làm bài 90 phút, kỳ thi được diễn ra vào sáng 19/04/2018, nội dung câu hỏi trong đề xoay quanh 3 chương: nguyên hàm - tích phân và ứng dụng, số phức, phương pháp tọa độ trong không gian Oxyz.
Đề kiểm tra học kì 2 môn Toán lớp 12 năm học 2017 - 2018 Sở GD&ĐT Cần Thơ
Đề thi khảo sát chất lượng môn Toán lớp 12 năm học 2017 - 2018 Sở GD&ĐT Quảng Nam
Bộ đề thi học kì 2 môn Toán lớp 12 trường THPT Đa Phúc, Hà Nội năm học 2016 - 2017
Đề kiểm tra học kì 2 môn Toán lớp 12 năm 2017 - 2018 trường THPT An Phước - Ninh Thuận
Đề kiểm tra học kì 2 môn Toán lớp 12 năm 2017 - 2018 trường THPT chuyên Hà Nội - Amsterdam
Đề kiểm tra học kì 2 môn Toán lớp 12 năm 2017 - 2018 trường chuyên Lê Hồng Phong - TP. HCM
Đề thi học kì 2 môn Toán lớp 12 năm 2017 - 2018 Sở GD&ĐT Đồng Nai
---------------------------------------------
Trên đây VnDoc.com đã giới thiệu tới bạn đọc tài liệu: Đề thi học kì 2 môn Toán lớp 12 năm 2017 - 2018 trường THPT Đa Phúc - Hà Nội. Để có kết quả cao hơn trong học tập, VnDoc xin giới thiệu tới các bạn học sinh tài liệu Thi thpt Quốc gia môn Toán, Thi thpt Quốc gia môn Hóa học, Thi thpt Quốc gia môn Vật Lý, Thi thpt Quốc gia môn Sinh học mà VnDoc tổng hợp và đăng tải.