Đề thi học sinh giỏi lớp 12 THPT tỉnh Thanh Hóa năm học 2010 - 2011 môn Toán (Có đáp án)
Vndoc.com xin gửi đến các bạn: Đề thi học sinh giỏi lớp 12 THPT tỉnh Thanh Hóa năm học 2010 - 2011 môn Toán (Có đáp án).
Đề thi học sinh giỏi môn Toán:
SỞ GIÁO DỤC VÀ ĐÀO TẠO
|
KỲTHI CHỌN HỌC SINH GIỎI LỚP 12 THPT
|
MÔN THI: TOÁN
Thời gian làm bài: 180 phút (không kể thời gian giao đề)
--------------------------------------------------------------------------------
Câu I. (4,0 điểm).
Cho hàm số y = x3 - (m + 1)x2 - (4 - m2)x - 1 - 2m (m là tham số thực), có đồ thị là (Cm)
1) Khảo sát sự biến thiên và vẽ đồ thị hàm số với m = − 1
2) Tìm các giá trị của m để đồ thị (Cm) có hai tiếp tuyến vuông góc với nhau.
Câu II. (6,0 điểm).
1) Giải phương trình: cos2x + cos3x - sinx - cos4x = sin6x.
2) Giải bất phương trình:
(x thuộc R)
3) Tìm số thực a để phương trình: 9x + 9 = a3xcos(πx), chỉ có duy nhất một nghiệm thực.
Câu III. (2,0 điểm).
Tính tích phân: 
Câu IV. (6,0 điểm).
1) Cho tứ diện đều ABCD có độ dài cạnh bằng 1. Gọi M, N lần lượt là hai điểm thuộc các cạnh AB, AC sao cho mặt phẳng (DMN) vuông góc với mặt phẳng (ABC). Đặt AM = x, AN = y. Tìm x, y để diện tích toàn phần của tứ diện DAMN nhỏ nhất.
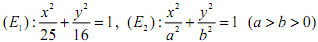
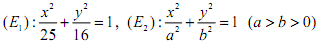
2) Trên mặt phẳng toạ độ Oxy cho đường thẳng Δ: x − y + 5 = 0 và hai elíp:
có cùng tiêu điểm. Biết rằng (E2) đi qua điểm M thuộc đường thẳng Δ. Tìm toạ độ điểm M sao cho elíp (E2) có độ dài trục lớn nhỏ nhất.
3) Trong không gian , Oxyz cho điểm M(0;2;0) và hai đường thẳng

Viết phương trình mặt phẳng (P) đi qua M song song với trục Ox, sao cho (P) cắt hai đường thẳng Δ1, Δ2 lần lượt tại A, B thoả mãn AB = 1
Câu V. (2,0 điểm).
Cho các số thực a, b, c thoả mãn: 
Tìm giá trịlớn nhất của biểu thức: P = a6 + b6 + c6