Giao diện mới của VnDoc Pro: Dễ sử dụng hơn - chỉ tập trung vào lớp bạn quan tâm. Vui lòng chọn lớp mà bạn quan tâm: Lưu và trải nghiệm
Đóng
Điểm danh hàng ngày
  • Hôm nay +3
  • Ngày 2 +3
  • Ngày 3 +3
  • Ngày 4 +3
  • Ngày 5 +3
  • Ngày 6 +3
  • Ngày 7 +5
Bạn đã điểm danh Hôm nay và nhận 3 điểm!
Nhắn tin Zalo VNDOC để nhận tư vấn mua gói Thành viên hoặc tải tài liệu Hotline hỗ trợ: 0936 120 169

Đề thi học sinh giỏi lớp 9 THCS Tỉnh Hà Nam năm 2012 - 2013

Lớp: Lớp 9
Dạng tài liệu: Đề thi HSG
Loại File: Word
Phân loại: Tài liệu Tính phí

SỞ GIÁO DỤC VÀ ĐÀO TẠO
HÀ NAM

ĐỀ THI CHÍNH THỨC

KỲ THI CHỌN HỌC SINH GIỎI LỚP 9 THCS
NĂM HỌC 2012 - 2013

Môn thi: TOÁN
Thời gian làm bài: 150 phút, không kể thời gian giao đề

Bài 1. (4,0 điểm)

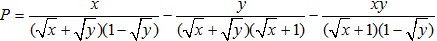
Cho biểu thức: Đề thi học sinh giỏi lớp 9 THCS Tỉnh Hà Nam năm 2012 - 2013

1. Rút gọn biểu thức P.

2. Tìm các giá trị x, y nguyên thỏa mãn P = 2.

Bài 2. (4,0 điểm)

1. Cho hai số thực a, b không âm thỏa mãn 18a + 4b ≥ 2013. Chứng minh rằng phương trình sau luôn có nghiệm: 18ax2 + 4bx + 671 - 9a = 0.

2. Tìm tất cả các nghiệm nguyên x, y của phương trình x3 + 2x2 + 3x + 2 = y3.

Bài 3. (4,5 điểm)

1. Cho p và 2p + 1 là hai số nguyên tố lớn hơn 3. Chứng minh rằng 4p + 1 là một hợp số.

2. Giải phương trình: Đề thi học sinh giỏi lớp 9 THCS Tỉnh Hà Nam năm 2012 - 2013

Bài 4. (6,0 điểm)

Cho góc xOy có số đo bằng 60o. Đường tròn có tâm K nằm trong góc xOy tiếp xúc với tia Ox tại M và tiếp xúc với tia Oy tại N. Trên tia Ox lấy điểm P thỏa mãn OP = 3OM. Tiếp tuyến của đường tròn (K) qua P cắt tia Oy tại Q khác O. Đường thẳng PK cắt đường thẳng MN ở E. Đường thẳng QK cắt đường thẳng MN ở F.

1. Chứng minh tam giác MPE đồng dạng với tam giác KPQ.

2. Chứng minh tứ giác PQEF nội tiếp được trong đường tròn.

3. Gọi D là trung điểm của đoạn PQ. Chứng minh tam giác DEF là một tam giác đều.

Bài 5. (2,0 điểm)

Cho a, b, c là ba số thực dương thỏa mãn: a + b + c = 3. Chứng minh rằng:
Đề thi học sinh giỏi lớp 9 THCS Tỉnh Hà Nam năm 2012 - 2013

Chọn file muốn tải về:
Đóng Chỉ thành viên VnDoc PRO/PROPLUS tải được nội dung này!
Đóng
79.000 / tháng
Đặc quyền các gói Thành viên
PRO
Phổ biến nhất
PRO+
Tải tài liệu Cao cấp 1 Lớp
30 lượt tải tài liệu
Xem nội dung bài viết
Trải nghiệm Không quảng cáo
Làm bài trắc nghiệm không giới hạn
Mua cả năm Tiết kiệm tới 48%

Có thể bạn quan tâm

Xác thực tài khoản!

Theo Nghị định 147/2024/ND-CP, bạn cần xác thực tài khoản trước khi sử dụng tính năng này. Chúng tôi sẽ gửi mã xác thực qua SMS hoặc Zalo tới số điện thoại mà bạn nhập dưới đây:

Số điện thoại chưa đúng định dạng!
Số điện thoại này đã được xác thực!
Bạn có thể dùng Sđt này đăng nhập tại đây!
Lỗi gửi SMS, liên hệ Admin
Sắp xếp theo
🖼️

Thi học sinh giỏi lớp 9

Xem thêm
🖼️

Gợi ý cho bạn

Xem thêm