Đề thi học sinh giỏi môn Toán lớp 6 năm 2014 - 2015 trường THCS Nông Trang, Phú Thọ
Đề thi học sinh giỏi môn Toán lớp 6
Đề thi học sinh giỏi môn Toán lớp 6 năm 2014 - 2015 trường THCS Nông Trang, Phú Thọ là đề thi học sinh giỏi cấp trường môn Toán lớp 6. Đây là tài liệu ôn tập hữu ích dành cho các bạn học sinh lớp 6. Đề thi có đáp án đi kèm, các bạn có thể kiểm tra lại kết quả sau khi làm thử bài. Mời các bạn tham khảo.
Chuyên đề: Bồi dưỡng học sinh giỏi lớp 6 phần số học
|
TRƯỜNG THCS NÔNG TRANG |
ĐỀ KHẢO SÁT HỌC SINH GIỎI CẤP TRƯỜNG 2014 - 2015 |
Câu 1 (1,5 điểm): Thực hiện phép tính.

Câu 2 (2,5 điểm):
a) Cho S = 5 + 52 + 53 + 54 + 55 + 56 +...+ 52012. Chứng tỏ S chia hết cho 65.
b) Tìm số tự nhiên nhỏ nhất sao cho khi chia cho 11 dư 6, chia cho 4 dư 1 và chia cho 19 dư 11.
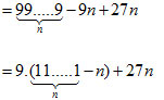
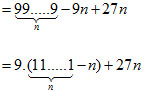
c) Chứng tỏ: A = 10n + 18n - 1 chia hết cho 27 (với n là số tự nhiên)
Câu 3 (2 điểm):
a) Tìm x, y nguyên biết: 2x (3y – 2) + (3y – 2) = -55
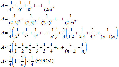
b) Chứng minh rằng: ![]()
Câu 4 (2,5 điểm): Cho nửa mặt phẳng bờ AB chứa hai tia đối OA và OB.
a) Vẽ tia OC tạo với tia OA một góc bằng ao, vẽ tia OD tạo với tia OCC một góc bằng (a + 10)o và với tia OB một góc bằng (a + 20)o. Tính ao
b) Tính góc xOy, biết góc AOx bằng 22o và góc BOy bằng 48o
c) Gọi OE là tia đối của tia OD, tính số đo góc kề bù với góc xOD khi góc AOC bằng ao
Câu 5 (1,5 điểm): Cho A = 102012 + 102011 + 102010 + 102009 + 8
a) Chứng minh rằng A chia hết cho 24
b) Chứng minh rằng A không phải là số chính phương.
Đề ôn tập học kì 2 môn Toán lớp 6 năm học 2014 - 2015
Đề thi học kì 2 môn Lịch sử lớp 6 trường THCS Huỳnh Thúc Kháng, Bắc Trà My năm 2015 - 2016
Đề thi học sinh giỏi Tiếng Anh Lớp 6 năm học 2014 - 2015, thành phố Vĩnh Yên
Đáp án đề thi học sinh giỏi môn Toán lớp 6
Câu 1 (1,5 điểm)
a. Đặt A = B.C

Suy ra A = 1105/144
b. Đặt A = 1 + 2 + 22 + 23 + ...+ 22012
- Tính được A = 22013 – 1
- Đặt B = 22014 – 2
- Tính được B = 2.(22013 – 1)
- Tính được M = 1/2
Câu 2 (2,5 điểm)
a. S = 5 + 52 + 53 + 54 + 55 + 56 +...+ 52012.
S = (5 + 52 + 53 + 54) + 55(5 + 52 + 53 + 54)+....+ 52009(5 + 52 + 53 + 54)
Vì (5 + 52 + 53 + 54) = 780 chia hết cho 65
Vậy S chia hết cho 65
b. Gọi số cần tìm là a ta có: (a - 6) chia hết cho 11; (a - 1) chia hết cho 4; (a - 11) chia hết cho 19.
(a - 6 + 33) chia hết cho 11; (a - 1 + 28) chia hết cho 4; (a - 11 + 38) chia hết cho 19.
(a + 27) chia hết cho 11; (a + 27) chia hết cho 4; (a + 27) chia hết cho 19.
Do a là số tự nhiên nhỏ nhất nên a + 27 nhỏ nhất
Suy ra: a + 27 = BCNN (4;11; 19).
Từ đó tìm được: a = 809
A = 10n + 18n - 1 = 10n - 1 - 9n + 27n

Ta biết số n và số có tổng các chữ số bằng n có cùng số dư khi chia cho 9 do đó
nên
. Vậy A chia hết cho 27.
Câu 3 (2 điểm)
a. Tìm x, y nguyên biết: 2x (3y – 2) + (3y – 2) = -55
=>(3y – 2)(2x + 1) = -55
=> 2x + 1 = -55/(3y - 2) (1)
Để x nguyên thì 3y – 2 ∈ Ư(-55) = {1; 5; 11; 55; -1; -5; -11; -55}
- 3y – 2 = 1 => 3y = 3 => y = 1, thay vào (1) => x = -28
- 3y – 2 = 5 => 3y = 7 => y = 7/3 (Loại)
- 3y – 2 = 11 => 3y = 13 => y = 13/3 (Loại)
- 3y – 2 = 55 => 3y = 57 => y = 19 , thay vào (1) => x = -1
- 3y – 2 = - 1 => 3y = 1 => y = 1/3 (Loại)
- 3y – 2 = -5 => 3y = -3 => y = -1, thay vào (1) => x = 5
- 3y – 2 = -11 => 3y = -9 => y = -3, thay vào (1) => x = 2
- 3y – 2 = -55 => 3y = -53 => y = -53/3 (Loại)
Vậy ta có 4 cặp số x, y nguyên thoả mãn là: (x ; y ) = (-28; 1), (-1; 19), (5; -1), (2; -3)
b/ Ta có
