Giao diện mới của VnDoc Pro: Dễ sử dụng hơn - chỉ tập trung vào lớp bạn quan tâm. Vui lòng chọn lớp mà bạn quan tâm: Lưu và trải nghiệm
Đóng
Điểm danh hàng ngày
  • Hôm nay +3
  • Ngày 2 +3
  • Ngày 3 +3
  • Ngày 4 +3
  • Ngày 5 +3
  • Ngày 6 +3
  • Ngày 7 +5
Bạn đã điểm danh Hôm nay và nhận 3 điểm!
Nhắn tin Zalo VNDOC để nhận tư vấn mua gói Thành viên hoặc tải tài liệu Hotline hỗ trợ: 0936 120 169

Tuyển tập đề thi học sinh giỏi lớp 6 môn Toán

Lớp: Lớp 6
Môn: Toán
Dạng tài liệu: Đề thi HSG
Bộ sách: Kết nối tri thức với cuộc sống
Loại File: Word + PDF
Phân loại: Tài liệu Tính phí

Đề thi học sinh giỏi môn Toán lớp 6

30 đề thi học sinh giỏi môn Toán lớp 6 dưới đây sẽ là tài liệu ôn thi học sinh giỏi, ôn thi hết học kỳ 2, luyện thi học sinh giỏi môn Toán cực kỳ hữu ích cho các bạn học sinh lớp 6. Mời các bạn tải bộ đề thi này về và luyện tập.

Trong bài viết này, VnDoc xin gửi bạn đề thi học sinh giỏi cấp huyện môn Toán lớp 6 với các dạng bài tập hay và sát với đề thi chính thức giúp các bạn ôn luyện và trau dồi kiến thức sẵn sàng cho kỳ thi quan trọng này. Mời các bạn làm bài và tham khảo đáp án ở phần cuối.

ĐỀ SỐ 1

Thời gian làm bài: 120 phút

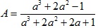
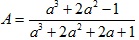
Câu 1: (2 điểm) Cho biểu thức:

Tuyển tập đề thi học sinh giỏi lớp 6 môn Toán

a, Rút gọn biểu thức

b, Chứng minh rằng nếu a là số nguyên thì giá trị của biểu thức tìm được của câu a, là một phân số tối giản.

Câu 2: (1 điểm)

Tìm tất cả các số tự nhiên có 3 chữ số sao cho Tuyển tập đề thi học sinh giỏi lớp 6 môn Toán

Câu 3: (2 điểm)

a. Tìm n để n2 + 2006 là một số chính phương

b. Cho n là số nguyên tố lớn hơn 3. Hỏi n2 + 2006 là số nguyên tố hay là hợp số.

Câu 4: (2 điểm)

a. Cho a, b, n thuộc N*. Hãy so sánh Tuyển tập đề thi học sinh giỏi lớp 6 môn Toán

b. Cho Tuyển tập đề thi học sinh giỏi lớp 6 môn Toán. So sánh A và B.

Câu 5: (2 điểm)

Cho 10 số tự nhiên bất kỳ: a1, a2, ....., a10. Chứng minh rằng thế nào cũng có một số hoặc tổng một số các số liên tiếp nhau trong dãy trên chia hết cho 10.

Câu 6: (1 điểm)

Cho 2006 đường thẳng trong đó bất kì 2 đường thẳng nào cũng cắt nhau. Không có 3 đường thẳng nào đồng qui. Tính số giao điểm của chúng.

ĐỀ SỐ 2

Thời gian làm bài: 120 phút

Câu 1:

a. Tìm các số tự nhiên x, y. sao cho (2x + 1)(y – 5) = 12

b.Tìm số tự nhiên sao cho 4n-5 chia hết cho 2n-1

c. Tìm tất cả các số Tuyển tập đề thi học sinh giỏi lớp 6 môn Toán, biết rằng số B chia hết cho 99

Câu 2.

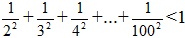
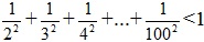
a. Chứng tỏ rằng Tuyển tập đề thi học sinh giỏi lớp 6 môn Toán là phân số tối giản.

b. Chứng minh rằng: Tuyển tập đề thi học sinh giỏi lớp 6 môn Toán

Câu 3:

Một bác nông dân mang cam đi bán. Lần thứ nhất bán 1/2số cam và 1/2 quả; Lần thứ 2 bán 1/3 số cam còn lạivà 1/3 quả; Lần thứ 3 bán 1/4 số cam còn lại và 3/4 quả. Cuối cùng còn lại 24 quả. Hỏi số cam bác nông dân đã mang đi bán.

Câu 4:

Cho 101 đường thẳng trong đó bất cứ hai đường thẳng nào cũng cắt nhau, không có ba đường thẳng nào đồng quy. Tính số giao điểm của chúng.

ĐỀ SỐ 3

Thời gian làm bài: 120 phút

Bài 1: (1,5 điểm) Tìm x

a) 5x = 125; b) 32x = 81;

c) 52x-3 – 2.52 = 52.3;

Bài 2: (1,5 điểm)

Cho a là số nguyên. Chứng minh rằng: |a| < 5 ↔ - 5 < a < 5

Bài 3: (1,5 điểm)

Cho a là một số nguyên. Chứng minh rằng:

a. Nếu a dương thì số liền sau a cũng dương.

b. Nếu a âm thì số liền trước a cũng âm.

c. Có thể kết luận gì về số liền trước của một số dương và số liền sau của một số âm?

Bài 4: (2 điểm)

Cho 31 số nguyên trong đó tổng của 5 số bất kỳ là một số dương. Chứng minh rằng tổng của 31 số đó là số dương.

Bài 5: (2 điểm)

Cho các số tự nhiên từ 1 đến 11 được viết theo thứ tự tuỳ ý sau đó đem cộng mỗi số với số chỉ thứ tự của nó ta được một tổng. Chứng minh rằng trong các tổng nhận được, bao giờ cũng tìm ra hai tổng mà hiệu của chúng là một số chia hết cho 10.

Bài 6: (1,5 điểm)

Cho tia Ox. Trên hai nữa mặt phẳng đối nhau có bờ là Ox. Vẽ hai tia Oy và Oz sao cho góc xOy và xOz bằng 1200. Chứng minh rằng:

a. Góc xOy = xOz = yOz

b. Tia đối của mỗi tia Ox, Oy, Oz là phân giác của góc hợp bởi hai tia còn lại.

Chọn file muốn tải về:
Đóng Chỉ thành viên VnDoc PRO/PROPLUS tải được nội dung này!
Đóng
79.000 / tháng
Đặc quyền các gói Thành viên
PRO
Phổ biến nhất
PRO+
Tải tài liệu Cao cấp 1 Lớp
30 lượt tải tài liệu
Xem nội dung bài viết
Trải nghiệm Không quảng cáo
Làm bài trắc nghiệm không giới hạn
Mua cả năm Tiết kiệm tới 48%

Có thể bạn quan tâm

Xác thực tài khoản!

Theo Nghị định 147/2024/ND-CP, bạn cần xác thực tài khoản trước khi sử dụng tính năng này. Chúng tôi sẽ gửi mã xác thực qua SMS hoặc Zalo tới số điện thoại mà bạn nhập dưới đây:

Số điện thoại chưa đúng định dạng!
Số điện thoại này đã được xác thực!
Bạn có thể dùng Sđt này đăng nhập tại đây!
Lỗi gửi SMS, liên hệ Admin
Sắp xếp theo
🖼️

Toán lớp 6

Xem thêm
🖼️

Gợi ý cho bạn

Xem thêm