30 đề thi học sinh giỏi môn Toán lớp 6
30 đề thi học sinh giỏi môn Toán lớp 6
30 đề thi học sinh giỏi môn Toán lớp 6 bao gồm nhiều đề thi với nội dung bám sát chương trình học giúp các em học sinh ôn tập, củng cố kiến thức các dạng bài trong tâm thi học sinh giỏi. Mời các bạn tham khảo để làm quen với cấu trúc đề thi, các dạng bài tập, mỗi đề thi kèm theo đáp án và hướng dẫn giải chi tiết giúp các bạn dễ dàng hơn trong việc ôn tập cũng như rèn luyện kỹ năng giải đề.
Tuyển tập đề thi học sinh giỏi môn Toán lớp 6 (có đáp án)
Đề thi học sinh giỏi môn Toán lớp 6 Phòng GD&ĐT Lâm Thao, Phú Thọ năm học 2016 - 2017
Đề thi học sinh giỏi môn Toán lớp 6 Phòng GD&ĐT Tiền Hải, Thái Bình năm học 2016 - 2017
Đề số 1
Thời gian làm bài 120 phút
Câu 1: (2 điểm) Cho biểu thức

a, Rút gọn biểu thức.
b, Chứng minh rằng nếu a là số nguyên thì giá trị của biểu thức tìm được của câu a, là một phân số tối giản.
Câu 2: (1 điểm)
Tìm tất cả các số tự nhiên có 3 chữ số ![]()
Câu 3: (2 điểm)
a. Tìm n để n2 + 2006 là một số chính phương.
b. Cho n là số nguyên tố lớn hơn 3. Hỏi n2 + 2006 là số nguyên tố hay là hợp số.
Câu 4: (2 điểm)

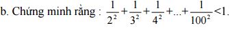
Câu 5: (2 điểm)
Cho 10 số tự nhiên bất kỳ: a1, a2, ....., a10. Chứng minh rằng thế nào cũng có một số hoặc tổng một số các số liên tiếp nhau trong dãy trên chia hết cho 10.
Câu 6: (1 điểm)
Cho 2006 đường thẳng trong đó bất kì 2 đường thẳng nào cũng cắt nhau. Không có 3 đường thẳng nào đồng qui. Tính số giao điểm của chúng.
Đề số 2
Thời gian làm bài 120 phút
Câu 1:
a. Tìm các số tự nhiên x, y. sao cho (2x + 1)(y – 5) = 12.
b. Tìm số tự nhiên sao cho 4n-5 chia hết cho 2n-1.
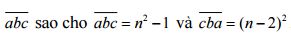
Tìm tất cả các số
, biết rằng số B chia hết cho 99
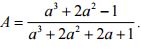
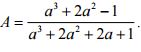
Câu 2.
![]()
![]()
Câu 3: Một bác nông dân mang cam đi bán. Lần thứ nhất bán 1/2 số cam và 1/2 quả; Lần thứ 2 bán 1/3 số cam còn lạivà 1/3 quả; Lần thứ 3 bán 1/4 số cam còn lại và 3/4 quả. Cuối cùng còn lại 24 quả. Hỏi số cam bác nông dân đã mang đi bán.
Câu 4:
Cho 101 đường thẳng trong đó bất cứ hai đường thẳng nào cũng cắt nhau, không có ba đường thẳng nào đồng quy. Tính số giao điểm của chúng.
Đề số 3
Thời gian làm bài: 120'
Bài 1: (1,5đ) Tìm x
a) 5x = 125; b) 32x = 81; c) 52x-3 – 2.52 = 52.3.
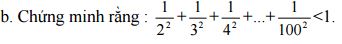
Bài 2: (1,5đ)
Cho a là số nguyên. Chứng minh rằng:
![]()
Bài 3: (1,5đ)
Cho a là một số nguyên. Chứng minh rằng:
a. Nếu a dương thì số liền sau a cũng dương.
b. Nếu a âm thì số liền trước a cũng âm.
c. Có thể kết luận gì về số liền trước của một số dương và số liền sau của một số âm?
Bài 4: (2đ)
Cho 31 số nguyên trong đó tổng của 5 số bất kỳ là một số dương. Chứng minh rằng tổng của 31 số đó là số dương.
Bài 5: (2đ)
Cho các số tự nhiên từ 1 đến 11 được viết theo thứ tự tuỳ ý sau đó đem cộng mỗi số với số chỉ thứ tự của nó ta được một tổng. Chứng minh rằng trong các tổng nhận được, bao giờ cũng tìm ra hai tổng mà hiệu của chúng là một số chia hết cho 10.
Bài 6: (1,5đ)
Cho tia Ox. Trên hai nữa mặt phẳng đối nhau có bờ là Ox. Vẽ hai tia Oy và Oz sao cho góc xOy và xOz bằng 120o. Chứng minh rằng:
a. xOy = xOz = yOz
b. Tia đối của mỗi tia Ox, Oy, Oz là phân giác của góc hợp bởi hai tia còn lại