Đề thi học sinh giỏi môn Toán lớp 6 Phòng GD&ĐT Tiền Hải, Thái Bình năm học 2016 - 2017
Đề thi học sinh giỏi môn Toán lớp 6
Đề thi học sinh giỏi môn Toán lớp 6 Phòng GD&ĐT Tiền Hải, Thái Bình năm học 2016 - 2017 với đáp án và hướng dẫn giải chi tiết giúp các em học sinh nắm được cấu trúc đề thi, ôn tập ôn luyện đạt kết quả cao trong các kỳ thi học sinh giỏi môn Toán lớp 6. Mời các em cùng tham khảo tải về bản chi tiết đầy đủ.
Đề thi học sinh giỏi môn Toán lớp 6 Phòng GD&ĐT Lâm Thao, Phú Thọ năm học 2016 - 2017
Đề thi giữa học kì 2 môn Toán lớp 6 trường THCS Hồng Đức, thành phố Hồ Chí Minh năm học 2016 - 2017
Đề thi giữa học kì 2 môn Toán lớp 6 trường THCS Tam Hưng, Hà Nội năm học 2016 - 2017
|
PHÒNG GIÁO DỤC - ĐÀO TẠO TIỀN HẢI |
ĐỀ KHẢO SÁT HỌC SINH GIỎI NĂM HỌC 2016 -2017 Môn: TOÁN 6 (Thời gian làm bài 120 phút)
|
Bài 1: (4,0 điểm)

Bài 2: (4,0 điểm)
1) Chứng minh rằng với mọi số tự nhiên n thì ƯCLN (21n + 4; 14n + 3) = 1
2) Chứng minh rằng: Nếu p là số nguyên tố lớn hơn 3 và 2p + 1 cũng là số nguyên tố thì 4p + 1 là hợp số?
Bài 3: (4,0 điểm)
1) Chứng minh rằng số viết bởi 27 chữ số giống nhau thì chia hết cho 27.
2) Tìm số tự nhiên n có 4 chữ số biết rằng n là số chính phương và n là bội của 147.
Bài 4: (6,0 điểm)

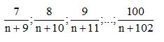
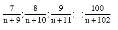
Bài 5: (2,0 điểm)
Tìm số tự nhiên n nhỏ nhất để các phân số sau đều tối giản.

Đáp án đề thi học sinh giỏi môn Toán lớp 6
Bài 1: 4 điểm

Bài 2: 4 điểm
|
Câu |
Nội dung |
Điểm |
|
a) 2.0đ |
Gọi d là ƯCLN (21n + 4; 14n + 3) |
0.5đ |
|
|
Suy ra: và |
|
|
|
và |
0.5đ |
|
|
0.5đ |
|
|
|
0.5đ |
|
|
|
Vậy ƯCLN (21n + 4; 14n + 3) = 1 |
|
|
b) 2.0đ |
+ Vì p là số nguyên tố, p > 3 4p không chia hết cho 3 |
0.5đ |
|
|
Ta có 4p + 2 = 2 (2p + 1) Theo bài ra p > 32p + 1> 7 và là số nguyên tố 2p + 1 không chia hết cho 3. Suy ra 4p + 2 không chia hết cho 3 |
0.5đ |
|
|
Mà 4p; 4p + 1; 4p + 2 là ba số tự nhiên liên tiếp nên tồn tại một số chia hết cho 3 do đó 4p + 1 chia hết cho 3. |
0.5đ |
|
|
Vì 4p + 1 > 13 nên 4p + 1 là số tự nhiên lớn hơn 1 và có nhiều hơn 2 ước. Suy ra 4p + 1 là hợp số. |
0.5đ |
Bài 3: 4 điểm

Trọn bộ đáp án bạn tham khảo Tại đây.