Đề thi thử THPT Quốc gia môn Toán năm 2016 trường THPT Thuận Thành số 3, Bắc Ninh (Lần 1)
Đề thi thử THPT Quốc gia 2016 môn Toán
Đề thi thử THPT Quốc gia môn Toán năm 2016 trường THPT Thuận Thành số 3, Bắc Ninh (Lần 1) được VnDoc.com sưu tầm và đăng tải, với hy vọng là tài liệu ôn tập hữu ích dành cho các bạn học sinh chuẩn bị bước vào kì thi THPT Quốc gia, xét tuyển Đại học, Cao đẳng 2016. Mời các bạn tham khảo.
Bộ đề thi thử THPT Quốc gia năm 2016 môn Toán - Số 1
Bộ đề thi thử THPT Quốc gia năm 2016 môn Toán - Số 2
|
SỞ GIÁO DỤC& ĐÀO TẠO BẮC NINH TRƯỜNG THPT THUẬN THÀNH SỐ 3 (Đề thi có 01 trang) |
ĐỀ THI THỬ THPT QUỐC GIA NĂM HỌC 2015 - 2016 MÔN THI: TOÁN HỌC (Thời gian làm bài: 180 phút ) Ngày thi: 01 tháng 4 năm 2016 |
Câu 1 (2,0 điểm). Cho hàm số
có đồ thị (C)
a. Khảo sát sự biến thiên và vẽ đồ thị (C) của hàm số.
b. Viết phương trình tiếp tuyến của đồ thị (C) tại điểm có hoành độ thỏa mãn pt: f'(x)= -5.
Câu 2 (1,0 điểm).
a. Giải phương trình: sin2x +1= cos2x +cosx +sinx.
b. Giải phương trình: log2(2x - 1) - log1/2(x - 2) = 1.
Câu 3 (1,0 điểm).
a. Tìm giá trị lớn nhất và giá trị nhỏ nhất của hàm số
trên đoạn [1;e3]
b. Lớp 10A1 có 24 học sinh nữ và 22 học sinh nam. Thầy giáo chọn ra 5 em học sinh để lập một đôi văn nghệ chào mừng 20 - 11. Tính xác suất để trong đội đó có ít nhất một học sinh nữ.
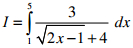
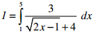
Câu 4 (1,0 điểm) Tính tích phân: ![]()
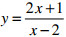
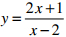
Câu 5(1,0 điểm). Trong không gian với hệ tọa độ Oxyz, cho hai điểm A(-3;0;4), B(1;0;0). Viết phương trình mặt cầu đường kính AB và tìm điểm M trên tia Oy sao cho MA = MB√13.
Câu 6(1,0 điểm). Cho hình chóp S.ABCD có đáy là hình vuông cạnh a, góc giữa SD và mặt phẳng đáy bằng 60o. Hình chiếu vuông góc H của đỉnh S lên mặt phẳng (ABCD) là trung điểm của đoạn AB. Tính theo a thể tích khối chóp S.ABCD và khoảng cách giữa hai đường thẳng BD và SC.
Câu 7(1,0 điểm). Cho tam giác ABC nội tiếp đường tròn tâm I. Điểm M( 2;-1) là trung điểm BC, E (31/13; -1/13) là hình chiếu vuông góc của B lên AI. Xác định tọa độ các đỉnh trong tam giác ABC, biết AC: 3x + 2y - 13 = 0.
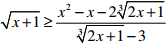
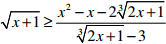
Câu 8 (1,0 điểm). Giải bất phương trình
trên tập hợp số thực
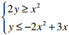
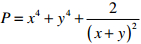
Câu 9 (1,0 điểm). Cho x y, ∈ R thỏa mãn 
Tìm giá trị nhỏ nhất của biểu thức: ![]()