Đề thi tuyển sinh lớp 10 môn Hóa chuyên KHTN Hà Nội năm 2021
Đề thi vào lớp 10 chuyên KHTN năm 2021 môn Hóa
VnDoc xin giới thiệu Đề chính thức thi tuyển vào lớp 10 trường THPT chuyên KHTN (Đại học Khoa học Tự nhiên - ĐH Quốc gia Hà Nội) năm 2021 môn Hóa học - có đáp án chi tiết được cập nhật dưới đây. Mời các em học sinh tham khảo
- Đáp án và Đề thi vào lớp 10 năm 2021 - Tất cả các tỉnh
- Tổng hợp đề thi tuyển sinh lớp 10 môn Toán cả nước năm 2021 - 2022

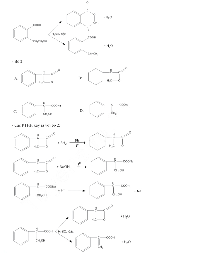
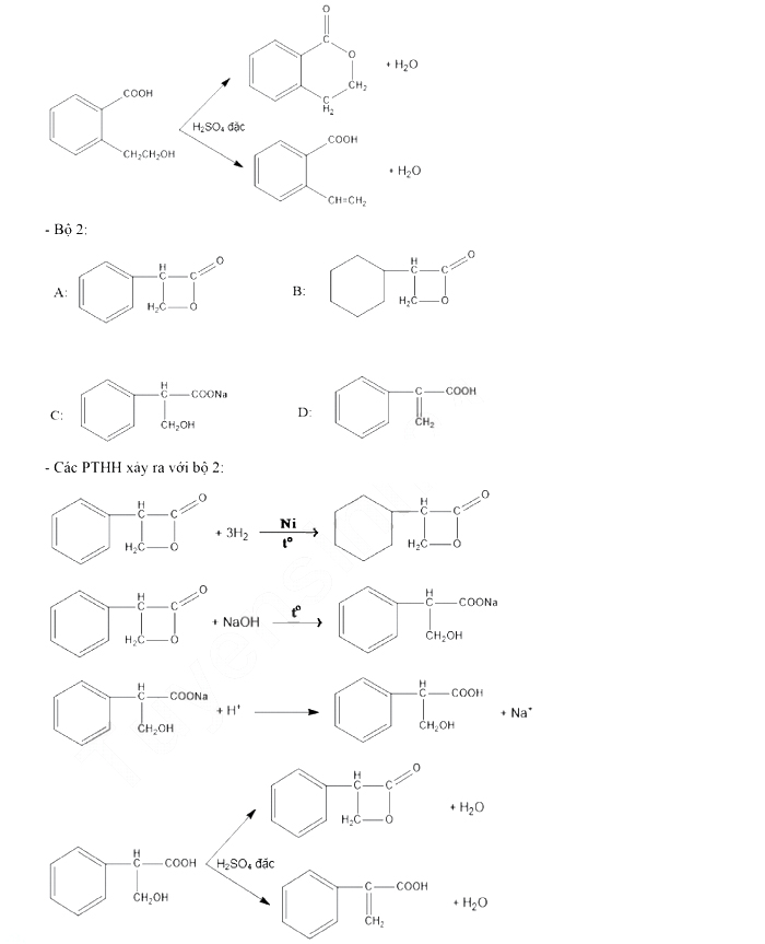
Đáp án đề thi vào lớp 10 chuyên KHTN năm 2021 môn Hóa










Ngoài ra, VnDoc.com đã thành lập group chia sẻ tài liệu học tập THCS miễn phí trên Facebook: Tài liệu học tập lớp 10. Mời các bạn học sinh tham gia nhóm, để có thể nhận được những tài liệu mới nhất, giúp việc làm quen với môi trường học tập THPT, lớp 10 trở nên dễ dàng hơn. Hãy vào nhóm để nhận tài liệu học tập và nhận giải đáp thắc mắc các môn học nhé.
Để ôn tập và chuẩn bị tốt hơn cho kì thi vào lớp 10 các bạn tham khảo đề thi vào lớp 10 của các tỉnh khác nhé
- Đáp án đề thi tuyển sinh lớp 10 môn Toán Chuyên Hà Nội 2021 (chuyên Toán)
- Đáp án đề thi tuyển sinh lớp 10 môn Toán Chuyên Tin Hà Nội 2021 (chuyên Tin)
- Đề thi tuyển sinh lớp 10 môn Toán Chuyên Sóc Trăng 2021
- Đề thi tuyển sinh lớp 10 môn Toán Vĩnh Phúc 2021 (đề Chuyên)
- Đề thi tuyển sinh lớp 10 môn Toán THPT Chuyên KHTN Hà Nội năm 2021
- Đề thi tuyển sinh lớp 10 môn Toán THPT Chuyên Nguyễn Tất Thành, Kon Tum năm 2021 (môn chung)
- Đề thi tuyển sinh lớp 10 môn Hóa chuyên Hưng Yên năm 2021
- Đề thi tuyển sinh lớp 10 môn Hóa chuyên Sư Phạm Hà Nội năm 2021
.............................................
Ngoài Đề thi tuyển sinh lớp 10 môn Hóa chuyên KHTN Hà Nội năm 2021. Mời các bạn học sinh còn có thể tham khảo các đề thi học kì 2 lớp 9 các môn Toán, Văn, Anh, Lý, Địa, Sinh mà chúng tôi đã sưu tầm và chọn lọc. Với đề Thi vào lớp 10 năm 2026 này giúp các bạn rèn luyện thêm kỹ năng giải đề và làm bài tốt hơn. Chúc các bạn ôn thi tốt