Đáp án đề thi tuyển sinh lớp 10 môn Hóa chuyên tỉnh Bình Phước năm 2021
Đề chính thức thi tuyển sinh vào lớp 10 tỉnh Bình Phước môn Hóa học Chuyên năm học 2021 - 2022 được tổ chức ngày 9/6/2021 được VnDoc sưu tầm và đăng tải. Dưới đây là đề thi và đáp án chi tiết
Đề thi vào lớp 10 tỉnh Bình Phước môn Hóa Chuyên 2021
1. Đề thi vào lớp 10 tỉnh Bình Phước môn Hóa Chuyên 2021


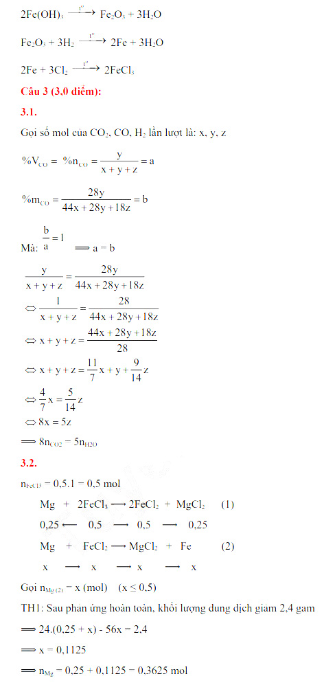
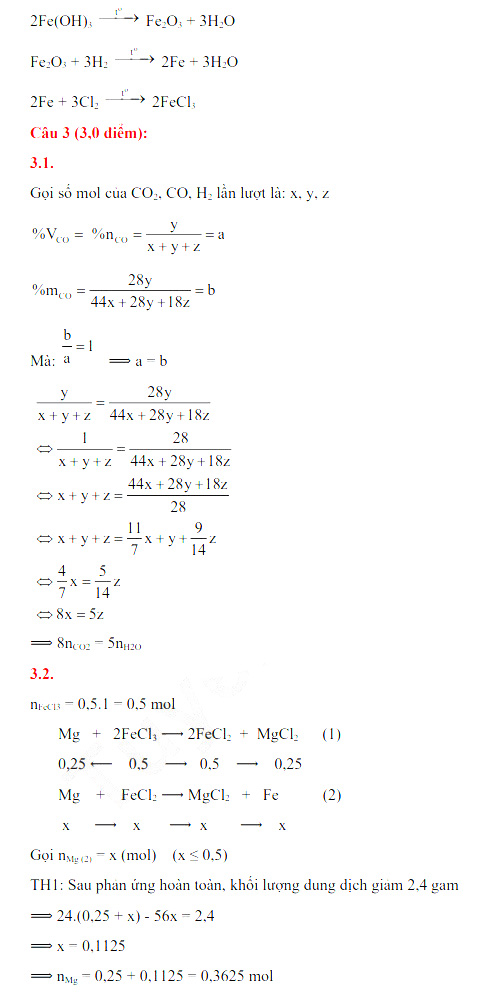
2. Đáp án đề thi vào lớp 10 tỉnh Bình Phước môn Hóa Chuyên 2021




Ngoài ra, VnDoc.com đã thành lập group chia sẻ tài liệu học tập THCS miễn phí trên Facebook: Tài liệu học tập lớp 10. Mời các bạn học sinh tham gia nhóm, để có thể nhận được những tài liệu mới nhất, giúp việc làm quen với môi trường học tập THPT, lớp 10 trở nên dễ dàng hơn. Hãy vào nhóm để nhận tài liệu học tập và nhận giải đáp thắc mắc các môn học nhé.
Trên đây là Đáp án đề thi tuyển sinh lớp 10 môn Hóa chuyên tỉnh Bình Phước năm 2021 do VnDoc chia sẻ. Hy vọng với đề thi này sẽ giúp ích cho các em có thêm tài liệu ôn tập, chuẩn bị tốt cho kì thi vào lớp 10 sắp tới ngoài ra các em có thể luyện tập thêm đề thi vào lớp 10 các tỉnh khác nữa nhé
- Đề thi tuyển sinh lớp 10 môn Hóa chuyên Bình Thuận năm 2021
- Đề thi tuyển sinh lớp 10 môn Sinh Chuyên Thái Nguyên năm 2021
- Đề thi tuyển sinh lớp 10 môn Toán Chuyên Bình Phước năm 2021
- Đáp án đề thi tuyển sinh lớp 10 môn Toán tỉnh Bình Phước năm 2021
- Đáp án đề thi tuyển sinh lớp 10 môn Văn tỉnh Bình Phước năm 2021
.............................................
Ngoài Đáp án đề thi tuyển sinh lớp 10 môn Hóa chuyên tỉnh Bình Phước năm 2021 các em tham khảo thêm tài liệu khác như Hóa lớp 9, đề thi vào lớp 10 môn Hóa, Thi vào lớp 10 môn Vật lí, Thi vào lớp 10 môn Sinh, Thi vào lớp 10 môn Toán... Việc luyện tập với đề thi vào lớp 10 năm 2021, sẽ giúp các em học sinh củng cố lại kiến thức và rút kinh nghiệm trong quá trình làm bài thi tuyển sinh vào lớp 10 sắp tới. Chúc các em ôn thi tốt