Đáp án đề thi tuyển sinh lớp 10 môn Hóa chuyên tỉnh Hà Tĩnh năm 2021
Đề thi tuyển sinh vào lớp 10 trường THPT Chuyên Hà Tĩnh năm học 2021 - 2022 môn Hóa có đáp án chi tiết được VnDoc sưu tầm và chia sẻ. Hy vọng với tài liệu này sẽ giúp ích cho các em có thêm tài liệu ôn tập, chuẩn bị tốt cho kì thi vào lớp 10 THPT Chuyên sắp tới
Đáp án đề thi vào lớp 10 môn Hóa chuyên Hà Tĩnh 2021
1. Đề thi vào lớp 10 môn Hóa chuyên Hà Tĩnh 2021


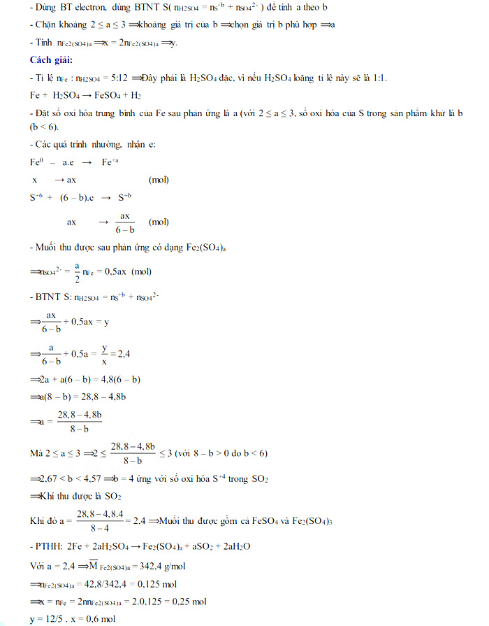
2. Đáp án đề thi vào lớp 10 môn Hóa chuyên Hà Tĩnh 2021













Ngoài ra, VnDoc.com đã thành lập group chia sẻ tài liệu học tập THCS miễn phí trên Facebook: Tài liệu học tập lớp 10. Mời các bạn học sinh tham gia nhóm, để có thể nhận được những tài liệu mới nhất, giúp việc làm quen với môi trường học tập THPT, lớp 10 trở nên dễ dàng hơn. Hãy vào nhóm để nhận tài liệu học tập và nhận giải đáp thắc mắc các môn học nhé.
Đáp án đề thi tuyển sinh lớp 10 môn Hóa chuyên tỉnh Hà Tĩnh năm 2021 đã được VnDoc chia sẻ trên đây. Nội dung đề thi gồm với 10 câu hỏi thời gian làm bài 150 phút. Hy vọng với đề thi này sẽ giúp ích cho các em có thêm tài liệu ôn tập, chuẩn bị tốt cho kì thi vào lớp 10 sắp tới ngoài ra các em có thể luyện tập thêm một số đề thi tuyển sinh lớp 10 THPT Chuyên khác nhé
- Đáp án đề thi tuyển sinh lớp 10 môn Toán tỉnh Bình Dương năm 2021
- Đáp án đề thi tuyển sinh lớp 10 môn Văn tỉnh Bình Dương năm 2021
- Đề thi tuyển sinh lớp 10 môn Hóa chuyên tỉnh Bình Dương năm 2021
- Đề thi tuyển sinh lớp 10 môn Toán Chuyên Hà Tĩnh năm 2021
- Đáp án đề thi tuyển sinh lớp 10 môn Toán tỉnh Hà Tĩnh năm 2021
.............................................
Ngoài Đáp án đề thi tuyển sinh lớp 10 môn Hóa chuyên tỉnh Hà Tĩnh năm 2021 các em tham khảo thêm tài liệu khác như Hóa lớp 9, đề thi vào lớp 10 môn Hóa, Thi vào lớp 10 môn Vật lí, Thi vào lớp 10 môn Sinh, Thi vào lớp 10 môn Toán... Việc luyện tập với đề thi vào lớp 10 năm 2021, sẽ giúp các em học sinh củng cố lại kiến thức và rút kinh nghiệm trong quá trình làm bài thi tuyển sinh vào lớp 10 sắp tới. Chúc các em ôn thi tốt