Đề thi tuyển sinh lớp 10 môn Hóa chuyên tỉnh Thái Nguyên năm 2021
VnDoc xin giới thiệu đề và đáp án đề thi vào lớp 10 năm học 2021 -2022 môn Hóa học (dành cho thí sinh chuyên Hóa học) của tỉnh Thái Nguyên. Đây là đề thi tham khảo vào lớp 10 môn Hóa dành cho các em học sinh ôn tập, củng cố kiến thức, rèn luyện kĩ năng làm bài Hóa. Mời các em cùng tham khảo chi tiết đề thi dưới đây
Đề thi vào lớp 10 năm 2021 môn Hóa chuyên tỉnh Thái Nguyên
1. Đề thi vào lớp 10 năm 2021 môn Hóa chuyên tỉnh Thái Nguyên


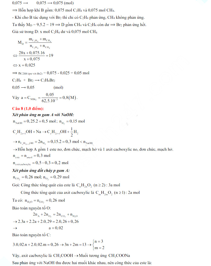
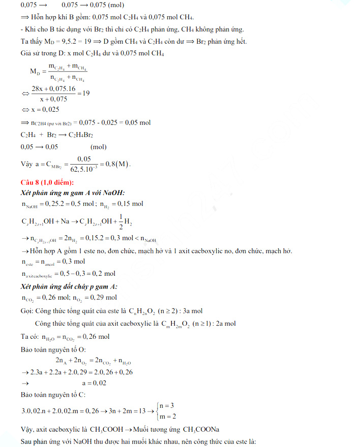
2. Đáp án đề thi vào lớp 10 năm 2021 môn Hóa chuyên tỉnh Thái Nguyên






Ngoài ra, VnDoc.com đã thành lập group chia sẻ tài liệu học tập THCS miễn phí trên Facebook: Tài liệu học tập lớp 10. Mời các bạn học sinh tham gia nhóm, để có thể nhận được những tài liệu mới nhất, giúp việc làm quen với môi trường học tập THPT, lớp 10 trở nên dễ dàng hơn. Hãy vào nhóm để nhận tài liệu học tập và nhận giải đáp thắc mắc các môn học nhé.
Như vậy là VnDoc đã chia sẻ Đề thi tuyển sinh lớp 10 môn Hóa chuyên tỉnh Thái Nguyên năm 2021. Hy vọng với đề thi này sẽ giúp ích cho các em có thêm tài liệu ôn tập, chuẩn bị tốt cho kì thi vào lớp 10 sắp tới ngoài ra các em có thể luyện tập thêm đề thi vào lớp 10 các tỉnh khác nữa nhé
- Đề thi tuyển sinh lớp 10 môn Hóa chuyên Lai Châu năm 2021
- Đề thi tuyển sinh lớp 10 môn Hóa chuyên Sư Phạm Hà Nội năm 2021
- Đề thi tuyển sinh lớp 10 môn Hóa chuyên KHTN Hà Nội năm 2021
- Đề thi tuyển sinh lớp 10 môn Hóa chuyên Tuyên Quang năm 2021
- Đề thi tuyển sinh lớp 10 môn Hóa chuyên Bình Thuận năm 2021
- Đề thi tuyển sinh lớp 10 môn Sinh Chuyên Thái Nguyên năm 2021
- Đáp án đề thi tuyển sinh lớp 10 môn Văn tỉnh Thái Nguyên năm 2021
- Đáp án đề thi tuyển sinh lớp 10 môn Toán tỉnh Thái Nguyên năm 2021
- Đề thi tuyển sinh lớp 10 môn Vật lý Chuyên tỉnh Thái Nguyên năm 2021
.............................................
Ngoài Đề thi tuyển sinh lớp 10 môn Hóa chuyên tỉnh Thái Nguyên năm 2021 các em tham khảo thêm tài liệu khác như Hóa lớp 9, đề thi vào lớp 10 môn Hóa, Thi vào lớp 10 môn Vật lí, Thi vào lớp 10 môn Sinh, Thi vào lớp 10 môn Toán... Việc luyện tập với đề thi vào lớp 10 năm 2021, sẽ giúp các em học sinh củng cố lại kiến thức và rút kinh nghiệm trong quá trình làm bài thi tuyển sinh vào lớp 10 sắp tới. Chúc các em ôn thi tốt