Giao diện mới của VnDoc Pro: Dễ sử dụng hơn - chỉ tập trung vào lớp bạn quan tâm. Vui lòng chọn lớp mà bạn quan tâm: Lưu và trải nghiệm
Đóng
Điểm danh hàng ngày
  • Hôm nay +3
  • Ngày 2 +3
  • Ngày 3 +3
  • Ngày 4 +3
  • Ngày 5 +3
  • Ngày 6 +3
  • Ngày 7 +5
Bạn đã điểm danh Hôm nay và nhận 3 điểm!
Nhắn tin Zalo VNDOC để nhận tư vấn mua gói Thành viên hoặc tải tài liệu Hotline hỗ trợ: 0936 120 169

Đề thi tuyển sinh lớp 10 THPT chuyên tỉnh Khánh Hòa năm 2012 - 2013 môn Toán

Lớp: Lớp 6
Loại File: Word
Phân loại: Tài liệu Tính phí

Vndoc.com xin giới thiệu đến các bạn lớp 9, chuẩn bị thi lên lớp 10: Đề thi tuyển sinh lớp 10 THPT chuyên tỉnh Khánh Hòa năm 2012 - 2013 môn Toán.

Đề thi tuyển sinh lớp 10 môn Toán:

SỞ GIÁO DỤC VÀ ĐÀO TẠO
KHÁNH HÒA

ĐỀ THI CHÍNH THỨC

KỲ THI TUYỂN SINH LỚP 10 THPT CHUYÊN
NĂM HỌC 2012 - 2013

MÔN THI: TOÁN CHUYÊN
Ngày thi: 22/6/2012
Thời gian làm bài: 150 phút (không kể thời gian giao đề)

Bài 1. (2.00 điểm)

1) Rút gọn biểu thức Đề thi tuyển sinh lớp 10 THPT chuyên tỉnh Khánh Hòa năm 2012 - 2013 môn Toán.

2) Với n là số nguyên dương, cho các biểu thức Đề thi tuyển sinh lớp 10 THPT chuyên tỉnh Khánh Hòa năm 2012 - 2013 môn Toán
Đề thi tuyển sinh lớp 10 THPT chuyên tỉnh Khánh Hòa năm 2012 - 2013 môn Toán

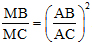
Tính tỉ số A/B.

Bài 2. (2.00 điểm)

1) Giải phương trình Đề thi tuyển sinh lớp 10 THPT chuyên tỉnh Khánh Hòa năm 2012 - 2013 môn Toán.

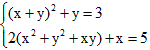
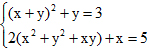
2) Giải hệ phương trình Đề thi tuyển sinh lớp 10 THPT chuyên tỉnh Khánh Hòa năm 2012 - 2013 môn Toán.

Bài 3. (2.00 điểm)

1) Cho ba số a, b, c thỏa mãn và a3 > 36 và abc = 1. Chứng minh: a2 + 3(b2 + c2) > 3(ab + bc + ca).

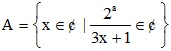
2) Cho a thuộc Z và a ≥ 0. Tìm số phần tử của tập hợp Đề thi tuyển sinh lớp 10 THPT chuyên tỉnh Khánh Hòa năm 2012 - 2013 môn Toán(¢ là tập hợp các số nguyên).

Bài 4. (3.00 điểm)

Cho tam giác ABC có ba góc nhọn nội tiếp đường tròn (O; R). Tiếp tuyến tại A của (O; R) cắt đường thẳng BC tại điểm M. Gọi H là chân đường cao hạ từ A xuống BC.

1) Chứng minh AB.AC = 2R.AH.

2) Chứng minh Đề thi tuyển sinh lớp 10 THPT chuyên tỉnh Khánh Hòa năm 2012 - 2013 môn Toán.

3) Trên cạnh BC lấy điểm N tùy ý (N khác B và C). Gọi E, F lần lượt là hình chiếu vuông góc của N lên AB, AC. Tìm vị trí của N để độ dài đoạn EF nhỏ nhất.

Bài 5. (1.00 điểm)

Cho tam giác ABC có đường cao AH, biết H thuộc cạnh BC và BH = BC/3. Trên tia đối của tia HA, lấy điểm K sao cho: Đề thi tuyển sinh lớp 10 THPT chuyên tỉnh Khánh Hòa năm 2012 - 2013 môn Toán. Chứng minh: AK.BC = AB.KC + AC.BK.

Chọn file muốn tải về:
Đóng Chỉ thành viên VnDoc PRO/PROPLUS tải được nội dung này!
Đóng
79.000 / tháng
Đặc quyền các gói Thành viên
PRO
Phổ biến nhất
PRO+
Tải tài liệu Cao cấp 1 Lớp
30 lượt tải tài liệu
Xem nội dung bài viết
Trải nghiệm Không quảng cáo
Làm bài trắc nghiệm không giới hạn
Mua cả năm Tiết kiệm tới 48%
1

Có thể bạn quan tâm

Xác thực tài khoản!

Theo Nghị định 147/2024/ND-CP, bạn cần xác thực tài khoản trước khi sử dụng tính năng này. Chúng tôi sẽ gửi mã xác thực qua SMS hoặc Zalo tới số điện thoại mà bạn nhập dưới đây:

Số điện thoại chưa đúng định dạng!
Số điện thoại này đã được xác thực!
Bạn có thể dùng Sđt này đăng nhập tại đây!
Lỗi gửi SMS, liên hệ Admin
Sắp xếp theo
🖼️

Lớp 6

Xem thêm
🖼️

Gợi ý cho bạn

Xem thêm