Giao diện mới của VnDoc Pro: Dễ sử dụng hơn - chỉ tập trung vào lớp bạn quan tâm. Vui lòng chọn lớp mà bạn quan tâm: Lưu và trải nghiệm
Đóng
Điểm danh hàng ngày
  • Hôm nay +3
  • Ngày 2 +3
  • Ngày 3 +3
  • Ngày 4 +3
  • Ngày 5 +3
  • Ngày 6 +3
  • Ngày 7 +5
Bạn đã điểm danh Hôm nay và nhận 3 điểm!
Nhắn tin Zalo VNDOC để nhận tư vấn mua gói Thành viên hoặc tải tài liệu Hotline hỗ trợ: 0936 120 169

Đề thi Violympic Toán lớp 9 vòng 12 năm 2015 - 2016

Lớp: Lớp 9
Loại File: PDF + Word + EXE
Phân loại: Tài liệu Tính phí

Đề thi Violympic Toán lớp 9 vòng 12

Đề thi Violympic Toán lớp 9 vòng 12 năm 2015 - 2016 là đề thi giải Toán qua mạng có đáp án đi kèm, được VnDoc sưu tầm và giới thiệu nhằm giúp các em học sinh ôn tập và củng cố kiến thức, đạt kết quả cao trong các vòng tiếp theo của cuộc thi Violympic giải Toán qua mạng năm học 2015 - 2016.

Đề thi Violympic Toán lớp 9 vòng 10 năm 2015 - 2016

Đề thi Violympic Toán lớp 9 vòng 11 năm 2015 - 2016

Đề thi Violympic Toán lớp 9 vòng 12 năm 2016 - 2017

Mời làm: Đề thi Violympic Toán lớp 9 vòng 12 năm 2015-2016 trực tuyến

Bài 1: Cóc vàng tài ba

Câu 1.1: Cho hàm số bậc nhất y = f(x) = ax - a - 4. Biết f(2) = 5. Khi đó f(1) = ...........

a. 4 b. 22 c. -4 d. -22

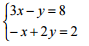
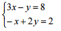
Câu 1.2: Gọi (xo; yo) là nghiệm của hệ phương trình Đề thi violympic toán lớp 9
Khi đó xo + yo = ..........

a. 32/5 b. 18/5 c. 14/5 d. 4/5

Câu 1.3: Cho phương trình 3x - y = 5 (1). Cặp (x; y) nào sau đây là nghiệm của (1):

a. (2; -2) b. (1; 1) c. (1; -2) d. (2; -1)

Câu 1.4: Trên mặt phẳng tọa độ Oxy cho hai điểm A(-1; 0) và B(4; 0). Khoảng cách AB là:

a. 1 b. 3 c. 5 d. 2

Câu 1.5: Đường thẳng (d1): y = f(x) = ax + b song song với đường thẳng (d2): y = 2x và đi qua điểm M(1; 4). Khi đó f(-3) = ...

a. 8 b. -8 c. -4 d. 4

Câu 1.6: Cho 3 đường thẳng (d1): y = 1; (d2): y = x + 2; và (d3): y = ax - 7. Để 3 đường thẳng trên đồng quy, khi đó a =.....

a. 5 b. -5 c. 8 d. -8

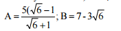
Câu 1.7: Giá trị của biểu thứcĐề thi violympic toán lớp 9 là:

a. -1 b. 1 c. 1/2 d. 2

Câu 1.8: Trong mặt phẳng tọa độ Oxy cho 3 điểm A(1; 2), B(3; 4); C(a - 1; b + 2); Để C là trung điểm của AB thì a =........

a. 2 b. 3 c. 4 d. 5

Câu 1.9: Gọi β là góc tạo bởi đường thẳng (d): y = -2016(x - 20152013) + 20142013 và trục Ox. Khi đó tan(180o - β) = .............

a. 20152013 b. 20142013 c. 2016.20152013 d. 2016

Câu 1.10: Tam giác ABC vuông tại A, đường cao AH. Biết diện tích tam giác ACH và ABH lần lượt là 13,5cm2 và 24cm2. Độ dài đường cao AH =........ cm.

a. 13,5 b. 6,5 c. 6 d. 12,5

Bài 2: Hãy điền số thích hợp vào chỗ chấm.

Câu 2.1: Giá trị biểu thức Đề thi violympic toán lớp 9

Câu 2.2: Cho tam giác ABC có số đo góc A : số đo góc B : số đo góc C = 2 : 3 : 5. Ta được tổng số đo hai góc A và B là:.......o

Câu 2.3: Tập nghiệm của phương trình Đề thi violympic toán lớp 9 là S = {..........}

Câu 2.4: Với a = ............ thì độ thị hàm số y = ax + 2014 đi qua điểm A(-1; 2015)

Câu 2.5: Tam giác ABC vuông tại A có sinB = 5/13. Khi đó tỉ số AC/AB = ............

Câu 2.6: Hàm số y = (2013m + 20142015)x + m + 2 cắt trục tung tại điểm có tung độ bằng 2016 khi m = ..............

Câu 2.7: Giao điểm A của đường thẳng (d): x - 3y + 8 = 0 và phân giác của góc II và IV có tọa độ là (xo; yo). Vậy xo.yo =...........

Câu 2.8: Từ điểm A nằm bên ngoài đường tròn (O) kẻ tiếp tuyến AB và cát tuyến ACD với đường tròn sao cho số đo góc BAD = 40o. Vẽ dây BM vuông góc với tia phân giác góc BAC tại H. Ta được số đo góc CBM = ...........o. Biết số đo cung CD là 120o.

Câu 2.9: Nghiệm nguyên của phương trình 4x − 3y = −1 thỏa mãn: −16 < x + y < − 2 là (xo; yo). Khi đó xo.yo = ............

Câu 2.10: Hãy điền dấu >, < hoặc = vào chỗ chấm cho thích hợp.

Biết Đề thi violympic toán lớp 9

Bài 3: Đỉnh núi trí tuệ

Câu 3.1: Đường thẳng có phương trình x − 4y = 6 đi qua điểm A(1 − a; a − 1,5). Vậy a = ..........

Câu 3.2: Biết (d1) là đường thẳng có phương trình y = 5x − 2. (d2) là đường thẳng có phương trình y = (a + 1)x + 1. Vậy a = ........... thì d1 // d2.

Câu 3.3: Với m = ...... thì (1; 2) là một nghiệm của phương trình (m − 2)x + my = 4

Câu 3.4: Tam giác ABC có góc BAC = 90o; AB = 3√3 cm; AC = 3cm thì số đo góc BCA là: ...............o

Câu 3.5: Cho tam giác ABC vuông cân tại A. Biết bán kính đường tròn ngoại tiếp tam giác ABC là 3√2cm. Khi đó độ dài cạnh AB của tam giác ABC là .......... cm.

Câu 3.6: Giá trị lớn nhất của biểu thức Đề thi violympic toán lớp 9 là: .............

Câu 3.7: Cho tam giác ABC vuông tại A. Gọi r và R lần lượt là bán kính đường tròn nội tiếp và ngoại tiếp tam giác ABC. Biết r = 5cm; R = 37cm. Đường cao xuất phát từ đỉnh A của tam giác ABC có độ dài là ......... cm.

Câu 3.8: Giá trị nhỏ nhất của biểu thức A = Ix - 2015I + Ix - 2016I là: .............

Câu 3.9: Cho hệ: Đề thi violympic toán lớp 9. Khi hệ có nghiệm x + y = 0 thì x2 + y2 = ............

Câu 3.10: Cho A, B nằm trên đường tròn (O; R) sao cho AB = R√2. Trên nửa mặt phẳng bờ OA có chứa B vẽ tia Ax là tiếp tuyến của đường tròn (O). Khi đó số đo góc BAx bằng.........o.

Đáp án đề thi Violympic Toán lớp 9 vòng 12

Bài 1: Cóc vàng tài ba

Câu 1.1: c

Câu 1.2: a

Câu 1.3: c

Câu 1.4: c

Câu 1.5: c

Câu 1.6: d

Câu 1.7: d

Câu 1.8: b

Câu 1.9: d

Câu 1.10: c

Bài 2: Hãy điền số thích hợp vào chỗ chấm

Câu 2.1: 18

Câu 2.2: 90

Câu 2.3: 3; 7

Câu 2.4: -1

Câu 2.5: 2,4

Câu 2.6: 2014

Câu 2.7: -4

Câu 2.8: 50

Câu 2.9: 20

Câu 2.10: >

Bài 3: Đỉnh núi trí tuệ

Câu 3.1: 0,2

Câu 3.2: 4

Câu 3.3: 2

Câu 3.4: 60

Câu 3.5: 6

Câu 3.6: 3

Câu 3.7: 10,68

Câu 3.8: 1

Câu 3.9: 8

Câu 3.10: 45

Chọn file muốn tải về:
Đóng Chỉ thành viên VnDoc PRO/PROPLUS tải được nội dung này!
Đóng
79.000 / tháng
Đặc quyền các gói Thành viên
PRO
Phổ biến nhất
PRO+
Tải tài liệu Cao cấp 1 Lớp
30 lượt tải tài liệu
Xem nội dung bài viết
Trải nghiệm Không quảng cáo
Làm bài trắc nghiệm không giới hạn
Mua cả năm Tiết kiệm tới 48%

Có thể bạn quan tâm

Xác thực tài khoản!

Theo Nghị định 147/2024/ND-CP, bạn cần xác thực tài khoản trước khi sử dụng tính năng này. Chúng tôi sẽ gửi mã xác thực qua SMS hoặc Zalo tới số điện thoại mà bạn nhập dưới đây:

Số điện thoại chưa đúng định dạng!
Số điện thoại này đã được xác thực!
Bạn có thể dùng Sđt này đăng nhập tại đây!
Lỗi gửi SMS, liên hệ Admin
Sắp xếp theo
🖼️

Lớp 9

Xem thêm
🖼️

Gợi ý cho bạn

Xem thêm