Đề thi Violympic Toán lớp 9 vòng 10 năm 2015 - 2016
Đề thi Violympic Toán lớp 9 vòng 10
Đề thi Violympic Toán lớp 9 vòng 10 năm 2015 - 2016 là đề thi giải Toán qua mạng có đáp án đi kèm, được VnDoc sưu tầm và giới thiệu nhằm giúp các em học sinh ôn tập và củng cố kiến thức, đạt kết quả cao trong các vòng tiếp theo của cuộc thi Violympic giải Toán qua mạng năm học 2015 - 2016.
Đề thi Violympic Toán lớp 9 vòng 9 năm 2015 - 2016
Đề thi Violympic Toán lớp 9 vòng 10 năm 2015-2016 trực tuyến
Bài 1: Hãy điền số thích hợp vào chỗ (...)
Câu 1.1: Góc giữa hai đường thẳng y = 2x và y = 1/2 .x + 3 là: .............o
Câu 1.2: Rút gọn biểu thức
được kết quả là: ..............
Câu 1.3: Hoành độ giao điểm của đường thẳng y = 2x - 3 và y = 1/2 . x - 1/2 là: ................
Câu 1.4: Cho tam giác ABC vuông tại A, có AC = 14cm, BC = 16cm. Độ dài hình chiếu của cạnh AB trên cạnh huyền là:....... cm.
Câu 1.5: Cho tam giác ABC vuông tại A, góc C bằng 30o, BC = 10cm. Khi đó AB = .....cm.
Câu 1.6: Đồ thị hàm số y = ax + b đi qua điểm M(2; 3) và vuông góc với đường thẳng y = 2x - 1 thì (a; b) = (........)
Câu 1.7: Cho hệ 
Khi m = 2 thì x2 + y2 + 24 = ...........
Câu 1.8: Tập nghiệm của phương trình: (x2 - 11)/2 + (x2 - 13)/4 = (x2 - 15)/6 + (x2 - 15)/7 là S = {.......}
Câu 1.9: Cho hệ ![]()
Với m = ........... thì hệ có nghiệm duy nhất thỏa mãn x + y = 0
Bài 2: Cóc vàng tài ba (Chọn đáp án trả lời đúng)
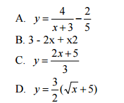
Câu 2.1: Trong các hàm số dưới đây, hàm số bậc nhất là:

Câu 2.2: Tam giác ABC vuông tại A có AB = 20cm, AC = 15cm. Vẽ đường cao AH, khi đó độ dài AH bằng: ........
A. 5√3cm B. 25cm C. 5√6cm D.12cm
Câu 2.3: Trong các điểm M(0; -3); N(-1; -2); P(1; 2); Q(-2; -11), điểm nằm trên đồ thị hàm số y = -3 + 2x là:
A. NB B. M C. P D. Q
Câu 2.4: Điều kiện để biểu thức
xác định là:
A. x ≤ 3 B. x > 0 C. x ≥ 3 ![]()
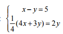
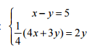
Câu 2.5: Nghiệm của hệ phương trình:
là:
A. (35; 40) B. (40; 35) C. (25; 20) D. (20; 25)
Câu 2.6: Rút gọn biểu thức:
với x < 0; y ≠ 0, ta được A= ............
A. 4IxI B. -4x C. -2x D. 2x
Câu 2.7: Đường tròn ngoại tiếp tam giác đều cạnh 4cm có bán kính bằng:........
A. (3√3)/4 cm B. (2√3)/3 cm
C. (4√3)/3 cm D. (2√3)/4 cm
Câu 2.8: Đường thẳng đi qua 2 điểm M(-3; 2) và N(1; -1) có phương trình là:
A. y = -3/4. x + 1/4 B. y = -2/3 .x + 1/3
C. y = -3/4. x - 1/4 D. y = -2/3 .x - 1/3
Câu 2.9: Cho hai đường tròn đồng tâm (O; R) và (O; r) với R > r. Dây AB của đường tròn có bán kính R cắt đường tròn bán kính r lần lượt tại C và D. Khi đó so sánh AC với BD ta được:
A. AC < BD B. AC > BD
C. AC = BD D. Không kết luận được
Câu 2.10: Với a ≥ 0, kết quả phân tích 1 - a√a thành nhân tử là:
A. (1 - √a)(1 + √a + a) B. (1 - a)(1 + √a)
C. (1 + a)(1 - √a) D. (1 + √a)(1 - √a + a)
Bài 3: Vượt chướng ngại vật
Câu 3.1: Đường thẳng (d1): y = ax + b song song với đường thẳng (d2): y = 2x + 3 thì a = ......
Câu 3.2: Hàm số
nghịch biến khi m < ..............
Câu 3.3: Đường thẳng y = -kx + 0,5 song song với đường thẳng y = 2/3 - 5/7.x khi k = ..........
Câu 3.4: Cho đường tròn (O; 5cm) và dây AB = 8cm. Một tiếp tuyến của O song song với AB cắt tia OA tại E, cắt tia OB tại F. Khi đó độ dài EF = ........... cm.
Câu 3.5: Bộ giá trị (a; b; c) thỏa mãn phương trình:
. Khi đó a.b - c = ..............
Đáp án đề thi Violympic Toán lớp 9 vòng 10
Bài 1: Hãy điền số thích hợp vào chỗ chấm
Câu 1.1: 90
Câu 1.2: 15
Câu 1.3: 1
Câu 1.4: 3,75
Câu 1.5: 5
Câu 1.6: -0,5; 4
Câu 1.7: 26
Câu 1.8: -3; 3
Câu 1.9: 1
Bài 2: Cóc vàng tài ba
Câu 2.1: C
Câu 2.2: D
Câu 2.3: B
Câu 2.4: A
Câu 2.5: C
Câu 2.6: C
Câu 2.7: C
Câu 2.8: C
Câu 2.9: C
Câu 2.10: A
Bài 3: Vượt chướng ngại vật
Câu 3.1: 2
Câu 3.2: 1
Câu 3.3: 5/7
Câu 3.4: 40/3
Câu 3.5: 0