Đề thi thử THPT Quốc gia năm 2023 môn Sinh lần 1 trường Ngô Gia Tự, Đắk Lắk
Thi THPT Quốc gia 2023
Loại File:
PDF
Phân loại:
Tài liệu Tính phí

1/4 - Mã đề 201
SỞ GD&ĐT ĐẮK LẮK
TRƯỜNG THPT NGÔ GIA TỰ
(Đề thi có 04 trang)
KỲ THI THỬ TỐT NGHIỆP THPT NĂM 2023 LẦN 1
Bài thi: KHOA HỌC TỰ NHIÊN
Môn thi thành phần: SINH HỌC
Thời gian làm bài : 50 phút, không kể thời gian phát đề
Họ và tên học sinh :..................................................... Số báo danh : ...................
Câu 81. Cho biết gen trội là trội hoàn toàn, không xảy ra đột biến. Theo lý thuyết, phép lai nào sau đây cho
đời con có 1 kiểu gen và 1 kiểu hình?
A. AA x Aa B. Aa x aa C. Aa x Aa D. AA x aa
Câu 82. Theo lý thuyết, cơ thể mang kiểu gen X
A
X
a
Bb giảm phân bình thường sẽ không sinh ra loại giao tử
nào?
A. X
A
B B. X
A
X
a
b C. X
a
b D. X
a
B
Câu 83. Khi nói về chiều di chuyển của dòng máu trong cơ thể người bình thường, phát biểu nào sau đây
sai?
A. Máu từ tâm thất vào động mạch B. Máu từ tâm nhĩ xuống tâm thất.
C. Máu từ tĩnh mạch về tâm nhĩ. D. Máu từ động mạch về tâm nhĩ.
Câu 84. Các cây hoa cẩm tú cầu có cùng kiểu gen nhưng khi trồng ở các vùng đất khác nhau thì có thể ra
hoa có màu hồng, tím hoặc màu trắng sữa. Nguyên nhân là do:
A. pH khác nhau B. Ánh sáng khác nhau
C. Nhiệt độ khác nhau D. Lượng nước khác nhau
Câu 85. Một phân tử ADN nằm ở vùng nhân của vi khuẩn E. coli có một mạch chứa toàn N
14
và một mạch
chứa toàn N
15
. Khi vi khuẩn phân đôi 3 lần trong môi trường hoàn toàn chỉ chứa N
14
thì số phân tử ADN có
1 mạch chứa N
14
và 1 mạch chứa N
15
là: A. 8
A. 2 B. 1 C. 6
Câu 86. Tính trạng màu da ở người do 3 cặp gen (Aa, Bb và Dd) nằm trên các cặp nhiễm sắc thể tương đồng
khác nhau tương tác theo kiểu cộng gộp quy định, mỗi alen trội đều làm tăng một lượng melanin như nhau.
Nội dung phát biểu nào sau đây đúng về kết quả của sự di truyền tính trạng màu da?
A. Trong kiểu gen chỉ có 1 alen trội thì sẽ có màu da trắng nhất
B. Người có da đen nhất là người có 5 alen trội trong kiểu gen
C. Khi hai người có kiểu gen 3 cặp dị hợp kết hôn với nhau thì tỷ lệ kiểu gen dị hợp tử 3 cặp chiếm cao
nhất.
D. Có 6 kiểu hình khác nhau về tính trạng màu da
Câu 87. Cấu trúc nào của nhiễm sắc thể có đường kính 30 n. m?
A. siêu xoắn B. sợi cơ bản C. Cromatit D. Sợi nhiễm sắc
Câu 88. Ở ruồi giấm, xét 3 cặp gen: A,a; B,b và M, m; mỗi cặp gen quy định 1 cặp tính trạng, các alen trội
là trội hoàn toàn. Phép lai
P:
M m M
Ab AB
X X X Y
aB ab
cho F
1
có tỉ lệ kiểu hình lặn về cả ba tính trạng là
1,25%. Tính theo lí thuyết, thì tỉ lệ kiểu hình trội về cả 3 tính trạng là:
A. 32,75%. B. 27,5%. C. 43,85%. D. 41,25%.
Câu 89. Mạch 1 của gen A có tỉ lệ A: T: G: X = 2: 3: 4: 2 và có chiều dài là 0,561 µm. Gen bị đột biến điểm
làm giảm 1 liên kết hydro. Có bao nhiêu phát biểu sau đây là đúng?
I). Số nucleotit mỗi loại của mạch 1 lúc chưa đột biến là 300 A, 450 T, 600 G và 300 X.
II). Số nucleotit loại G của gen lúc chưa đột biến là 900
III). Số liên kết hydro của gen đột biến là 4199
IV). Số nucleotit loại G của gen đột biến là 899
A. 3 B. 4 C. 1 D. 2
Câu 90. Bằng phương pháp nhân bản vô tính, từ cừu cho trứng có kiểu gen AaBb và cừu cho nhân tế bào có
kiểu gen Aabb có thể tạo ra cừu con có kiểu gen:
A. AaBb B. Aabb C. aabb D. aaBb
Mã đề 201

2/4 - Mã đề 201
Câu 91. Khi nói về đặc điểm di truyền của các gen trong tế bào, phát biểu nào sau đây đúng?
A. Hai gen cùng nằm trên 1 cặp nhiễm sắc thể thì luôn xảy ra sự trao đổi chéo.
B. Các gen trong tế bào chất thường tồn tại thành cặp alen.
C. Các gen lặn ở vùng không tương đồng của nhiễm sắc thể giới tính X thường biểu hiện chủ yếu ở giới
XX.
D. Hai gen nằm trên 2 cặp nhiễm sắc thể tương đồng khác nhau thì phân li độc lập trong quá trình hình
thành giao tử.
Câu 92. Giả sử ở một quần thể đang chịu tác động của chọn lọc theo hướng chống lại alen trội và bảo tồn
alen lặn. Kết quả chọn lọc tự nhên theo hướng này sẽ dẫn tới:
A. làm tăng tỷ lệ kiểu hình lặn
B. làm giảm tỷ lệ kiểu gen dị hợp và tăng tỷ lệ kiểu gen đồng hợp trội
C. làm giảm tỷ lệ kiểu gen đồng hợp trội và tăng tỷ lệ kiểu gen dị hợp
D. làm giảm tỷ lệ kiểu hình lặn
Câu 93. Khi nói về giới hạn sinh thái, phát biểu nào sau đây đúng?
A. Trong khoảng chống chịu, sinh vật sinh sản tốt nhất.
B. Ngoài giới hạn sinh thái khả năng sinh trưởng phát triển của sinh vật kém
C. Trong khoảng thuận lợi, sinh vật thực hiện các chức năng sống tốt nhất.
D. Giới hạn sinh thái về nhiệt độ của các loài đều giống nhau
Câu 94. Một loài thực vật có bộ nhiễm sắc thể 2n = 18. Trong tế bào thể tam bội của loài này có số nhiễm
sắc thể là:
A. 36 B. 17 C. 27 D. 19
Câu 95. Loại bằng chứng trực tiếp chứng minh quá trình tiến hóa của sinh vật là:
A. Giải phẫu so sánh. B. Hóa thạch. C. Tế bào học. D. Sinh học phân tử.
Câu 96. Một loài động vật, biết mỗi cặp gen quy định một cặp tính trạng, alen trội là trội hoàn toàn và không
xảy ra đột biến. Phép lai: AaBbDdEe x AabbDdee, thu được F
1
. Theo lý thuyết, phát biểu nào sau đây đúng?
A. Ở F
1
, loại cá thể có kiểu gen đồng hợp lặn về 4 cặp gen chiếm 3/64
B. Ở F
1
, loại kiểu hình có 1 tính trạng trội chiếm 5/8
C. F
1
có số loại kiểu hình bằng số loại kiểu gen
D. Ở F
1
, loại kiểu hình có 3 tính trạng trội chiếm tỉ lệ 3/8
Câu 97. Một alen dù có hại cũng có thể trở nên phổ biến trong quần thể dưới tác động của nhân tố tiến hóa:
A. các yếu tố ngẫu nhiên. B. chọn lọc tự nhiên.
C. đột biến. D. giao phối không ngẫu nhiên.
Câu 98. Trong ống tiêu hóa của người, quá trình tiêu hóa hóa học diễn ra chủ yếu ở:
A. dạ dày. B. ruột non. C. thực quản. D. ruột già.
Câu 99. Cho lai 2 cây bí tròn với nhau thu được đời con gồm 270 cây bí quả tròn : 180 cây bí quả bầu dục :
30 cây bí quả dài. Sự di truyền tính trạng hình dạng quả tuân theo quy luật:
A. Tương tác cộng gộp. B. Tương tác bổ sung.
C. Gen đa hiệu. D. Liên kết hoàn toàn.
Câu 100. Khi nói về chọn lọc tự nhiên, phát biểu nào sau đây sai?
A. Chọn lọc tự nhiên tác động trực tiếp lên alen, qua nhiều thế hệ sẽ chọn lọc được kiểu gen.
B. Chọn lọc tự nhiên chống lại alen trội làm thay đổi tần số alen nhanh hơn chọn lọc chống lại alen lặn.
C. Chọn lọc tự nhiên làm giảm tính đa dạng di truyền của quần thể.
D. Chọn lọc tự nhiên là nhân tố quy định chiều hướng tiến hoá của sinh giới.
Câu 101. Số liên kết hydro trong gen giảm đi 1 sau khi xảy ra loại đột biến gì?
A. Thay thế một cặp A-T thành một cặp G-X B. Mất một cặp A-T
C. Thay thế một cặp G-X thành một cặp A-T D. Thêm một cặp G-X
Câu 102. Một cơ thể có 2 cặp gen dị hợp giảm phân bình thường sinh ra các loại giao tử, trong đó có
20%AB và 30%aB. Kiểu gen của cơ thể này là:
A. AaBb B.
AB
Ab
C.
Ab
aB
D.
AB
ab
Câu 103. Một loài thực vật, tính trạng màu sắc hoa do 2 cặp gen Aa và Bb phân li độc lập tương tác bổ sung
quy định. Khi trong kiểu gen có cả A và B thì quy định quả đỏ, chỉ có A hoặc B thì quy định quả vàng,

3/4 - Mã đề 201
không có A và B thì quy định quả xanh. Một quần thể đang cân bằng di truyền có tần số A là 0,3 và b là 0,4.
Biết không xảy ra đột biến, theo lý thuyết có bao nhiêu phát biểu sau đây đúng?
I). Số loại kiểu gen của quần thể là 9
II). Tỷ lệ kiểu hình của quần thể là 42,84% quả vàng: 49,32% quả đỏ: 7,84% quả xanh.
III). Trong quần thể, loại kiểu gen chiếm tỉ lệ cao nhất là AaBb.
IV). Lấy ngẫu nhiên một cây quả vàng, xác suất thu được cây thuần chủng là 53/137.
V). Trong số các cây quả đỏ thì số cây quả đỏ dị hợp chiếm tỷ lệ 110/119.
A. 3 B. 4 C. 2 D. 1
Câu 104. Khi nói về đột biến cấu trúc NST, phát biểu nào sau đây đúng?
A. Đột biến lặp đoạn NST có thể làm cho 2 gen alen cùng nằm trên 1 NST.
B. Đột biến mất đoạn NST có thể làm thay đổi số lượng gen trên nhiễm sắc thể
C. Đột biến đảo đoạn không làm thay đổi hình dạng NST.
D. Đột biến chuyển đoạn trên 1 NST có thể làm tăng số lượng gen trên NST.
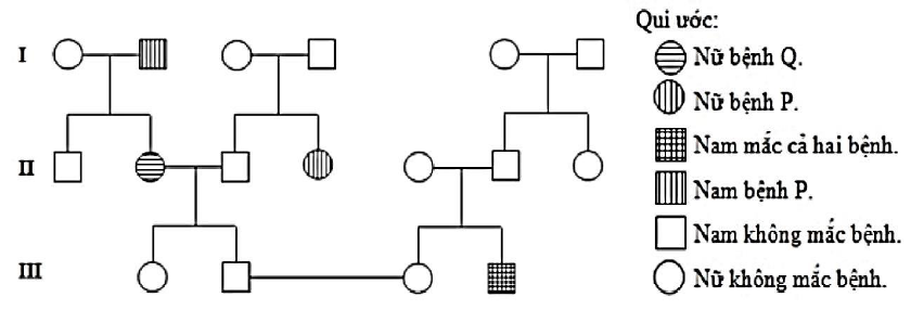
Câu 105. Phả hệ dưới đây mô phỏng sự di truyền của bệnh “P” và bệnh “Q” ở người. Hai bệnh này do
hai alen lặn nằm trên hai cặp nhiễm sắc thể thường khác nhau gây ra.
Cho rằng không có đột biến mới phát sinh. Alen a gây bệnh bệnh p, alen b gây bệnh Q. Các alen
trội tương ứng là A, B không gây bệnh (A, B trội hoàn toàn so với a và b). Nhận định nào sau đây
đúng?
A. Có 6 người trong phả hệ này xác định được chính xác kiểu gen.
B. Có 3 người trong phả hệ này đã chắc chắn mang một cặp gen dị hợp tử.
C. Xác suất để người vợ ở thế hệ III mang kiểu gen dị hợp cả hai cặp gen là 2/9
D. Xác suất để con của cặp vợ chống ở thế hệ III mang alen gây bệnh là 38/45
Câu 106. Phương pháp nghiên cứu di truyền học của Men Đen là:
A. Lai phân tích B. Lai và phân tích cơ thể lai
C. Lai xa D. Lai thuận nghịch
Câu 107. Ví dụ nào sau đây thuộc loại cách li sau hợp tử?
A. Hai loài sinh sản vào hai mùa khác nhau nên không giao phối với nhau.
B. Hai loài có tập tính giao phối khác nhau nên không giao phối với nhau.
C. Hai loài phân bố ở hai khu vực khác nhau nên không giao phối với nhau.
D. Ngựa giao phối với lừa sinh ra con la bị bất thụ.
Câu 108. Sinh vật nào sau đây sống trong môi trường đất?
A. Thỏ. B. Cá chép. C. Giun đất. D. Mèo rừng.
Câu 109. Loại tế bào nào sau đây là tế bào trần?
A. Tế bào bị mất tế bào chất B. Tế bào bị mất nhân
C. Tế bào bị mất thành xenlulôzơ D. Tế bào bị mất màng tế bào
Câu 110. Trong các phương pháp tạo giống mới, phương pháp nào sau đây thuộc công nghệ tế bào?
A. Gây đột biến, sau đó chọn lọc để được giống mới.
B. Dung hợp tế bào trần khác loài tạo ra thể song nhị bội.
C. Cho lai hai dòng thuần chủng để tạo ưu thế lai.
D. Chuyển gen từ tế bào của người vào tế bào vi khuẩn.
Câu 111. Ở thực vật, hô hấp hiếu khí xảy ra mạnh ở:
A. Lá. B. Hạt đang nảy mầm C. Cánh hoa D. Hạt khô
Đề thi thử tốt nghiệp THPT Quốc gia năm 2023 môn Sinh lần 1 trường Ngô Gia Tự, Đắk Lắk
Đề thi thử THPT Quốc gia năm 2023 môn Sinh lần 1 trường Ngô Gia Tự, Đắk Lắk được VnDoc.com sưu tầm và xin gửi tới bạn đọc cùng tham khảo và có thêm tài liệu ôn thi THPT Quốc gia 2023 nhé. Mời các bạn cùng theo dõi bài viết.
Đề thi được tổng hợp gồm có 40 câu hỏi trắc nghiệm, thí sinh làm bài trong thời gian 50 phút. Hi vọng qua bài viết này bạn đọc có thêm tài liệu để học tập tốt hơn môn Sinh học lớp 12. Mời các bạn cùng tham khảo thêm tại mục Thi THPT Quốc gia môn Sinh học.