Giải SBT Khoa học tự nhiên 7 Cánh diều bài 13
VnDoc xin giới thiệu bài Giải sách bài tập Khoa học tự nhiên 7 bài 13: Sự phản xạ ánh sáng sách Cánh diều chi tiết giúp học sinh dễ dàng xem và so sánh lời giải từ đó biết cách làm bài tập trong SBT Khoa học tự nhiên 7.
Bài: Sự phản xạ ánh sáng
Bài 13.1 trang 30 SBT Khoa học tự nhiên 7: Trên hình 13.1 vẽ một tia sáng SI chiếu tới một gương phẳng. Góc tạo bởi tia SI với mặt gương bằng 450. Hãy vẽ tiếp tia phản xạ và tính góc phản xạ.

Lời giải:

Theo định luật phản xạ ánh sáng:
Góc tới = góc phản xạ
Mà i = 90o – 45o = 45o
Vậy góc phản xạ r = 45o.
Bài 13.2 trang 30 SBT Khoa học tự nhiên 7: Cho bóng đèn LED nhỏ (S) nằm trước gương phẳng. Hãy xác định vùng đặt mắt để có thể quan sát được ảnh của bóng đèn.
Lời giải:

Để có thể quan sát được ảnh của bóng đèn ta cần đặt mắt trong vùng giới hạn của hai tia phản xạ IR1 và JR2.
Bài 13.3 trang 30 SBT Khoa học tự nhiên 7: Chiếu một tia sáng đến một gương phẳng. Biết tia phản xạ và tia tới hợp với nhau một góc 600. Khi đó góc phản xạ có giá trị là
A. 15o.
B. 30o.
C. 45o.
D. 60o.
Lời giải:
Đáp án đúng là: B

Theo định luật phản xạ ánh sáng:
góc phản xạ = góc tới
⇒i+r=60o⇒2r=60o⇒r=30o
Bài 13.4 trang 30 SBT Khoa học tự nhiên 7: Một tia sáng chiếu tới gương phẳng với góc tới là 300. Hình vẽ nào sau đây biểu diễn đúng sự phản xạ của tia sáng trên gương?

Lời giải:
Đáp án đúng là: B
Theo định luật phản xạ ánh sáng: góc tới = góc phản xạ nên chỉ có hình B thỏa mãn.
Bài 13.5 trang 31 SBT Khoa học tự nhiên 7: Cho đường truyền tia sáng như hình 13.2. Góc phản xạ có giá trị nào sau đây?

A. 0o.
B. 90o.
C. 180o.
D. Không xác định được.
Lời giải:
Đáp án đúng là: A
Theo định luật phản xạ ánh sáng: góc phản xạ = góc tới = 0o.
Bài 13.6 trang 31 SBT Khoa học tự nhiên 7: Hai gương phẳng G1 và G2 đặt song song với nhau, mặt phản xạ quay vào nhau. Tia tới SI được chiếu lên gương G1 phản xạ một lần trên gương G2 (hình 13.3.). Chứng minh tia tới SI song song với tia phản xạ cuối cùng trên gương G2.

Lời giải:

Giả sử SI là tia tới, góc tới là ![]()
Theo định luật phản xạ ánh sáng, tại gương G1, ta có:
![]()
Do hai gương đặt song song với nhau nên pháp tuyến IN ở gương G1 và pháp tuyến RN’ ở gương G2 song song với nhau, tia phản xạ ở G1 chính là tia tới ở gương G2:
![]()
Theo định luật phản xạ ánh sáng, tại gương G2, ta có:
![]()
Từ (1) và (2) ta có:
![]()
Vì hai góc này ở vị trí so le trong nên SI song song với RK.
Bài 13.7 trang 31 SBT Khoa học tự nhiên 7: Hai gương G1 và G2 đặt vuông góc nhau, mặt phản xạ quay vào nhau. Tia tới SI được chiếu lên gương G1 (hình 13.4) lần lượt phản xạ trên gương G1 rồi trên gương G2. Chứng minh tia tới SI song song với tia phản xạ cuối cùng trên gương G2.

Lời giải:

Áp dụng định luật phản xạ ánh sáng tại gương G1, ta có:
![]()
Áp dụng định luật phản xạ ánh sáng tại gương G2, ta có:
![]()
Ta có, G1⊥G2 nên hai pháp tuyến IN1⊥JN2

Bài 13.8 trang 31 SBT Khoa học tự nhiên 7: Trong số các phát biểu sau đây, phát biểu nào đúng, phát biểu nào sai?
a) Ảnh của một vật tạo bởi gương phẳng là ảnh ảo.
b) Ảnh của vật tạo bởi gương phẳng hứng được trên màn ảnh.
c) Ảnh của vật tạo bởi gương phẳng có kích thước lớn hơn vật.
d) Khoảng cách từ ảnh tới gương bằng khoảng cách từ vật tới gương.
e) Ảnh của vật tạo bởi gương phẳng không hứng được trên màn ảnh.
Lời giải:
a) Đúng vì ảnh tạo bởi gương phẳng không hứng được trên màn chắn.
b) Sai vì ảnh tạo bởi gương phẳng là ảnh ảo.
c) Sai vì ảnh tạo bởi gương phẳng có kích thước bằng vật.
d) Đúng
e) Đúng
Bài 13.9 trang 31 SBT Khoa học tự nhiên 7: Bằng hình vẽ hãy giải thích vì sao trong các tiệm cắt tóc người ta thường bố trí hai cái gương: Một cái treo trước mặt người cắt tóc và một cái treo hơi cao ở phía sau lưng ghế ngồi.
Lời giải:

Khi đó người được cắt tóc có thể nhìn được cả phía trước và phía sau mái tóc của mình.
Bài 13.10 trang 32 SBT Khoa học tự nhiên 7: Mặt của miếng bìa ở hình 13.5 được đặt đối diện với mặt phẳng gương. Hình nào dưới đây là ảnh của miếng bìa trong gương?

A.

B.

C.

D.

Lời giải:
Đáp án đúng là: C
A, B, D không phải là ảnh của hình đã cho qua gương phẳng.
Bài 13.11 trang 32 SBT Khoa học tự nhiên 7: Mặt của miếng bìa có hình cốc ở hình 13.6 được đặt đối diện với mặt phẳng gương. Hình nào dưới đây là ảnh của miếng bìa trong gương?

A.

B.

C.

D.

Lời giải:
Đáp án đúng là: A
B, C, D không phải là ảnh của vật qua gương phẳng.
Bài 13.12 trang 32 SBT Khoa học tự nhiên 7: Trò chơi “Đặt đúng, bắn trúng”
Cho các vật dụng sau:
- Hộp bìa catton có đục lỗ để đặt được đèn laser và vẽ một mục tiêu lên thành hộp.
- Một đèn laser nhỏ được đặt cố định trong hộp.
- 5 gương phẳng nhỏ.
- Băng dính hai mặt.
Dùng các vật dụng trên chế tạo bộ dụng cụ như hình 13.7.

Cách chơi:
- Người chơi dự đoán vị trí đặt 5 gương trên thành hộp.
- Dán các tấm gương phẳng lên các vị trí đã đánh dấu.
- Ai đưa được vệt sáng của tia laser sau 5 lần phản xạ trên 5 gương gần mục tiêu nhất là người chiến thắng.
Lưu ý: Không để tia laser chiếu trực tiếp hoặc phản xạ vào mắt.
Lời giải:
Các em tự thực hiện theo hướng dẫn ở đề bài.
Bài 13.13 trang 33 SBT Khoa học tự nhiên 7: Sự tạo ảnh qua hai gương
a) Khi đi tham quan nhà gương ở công viên, một bạn học sinh thấy một em bé ngồi trước hai gương phẳng ghép với nhau thì có rất nhiều ảnh trong gương (hình 13.8). Bạn học sinh đó thắc mắc, không biết số ảnh trong gương phụ thuộc vào yếu tố nào? Em hãy đưa ra câu trả lời dự đoán.

b) Thực hiện thí nghiệm
Dụng cụ
+ 2 gương phẳng nhỏ.
+ 1 thước chia độ bằng bìa.
+ 2 đoạn ống hút khoảng 4 cm.
Tiến hành
Đặt hai gương vuông góc với thước chia độ sao cho hai gương hợp với nhau một góc nhọn. Đặt ống hút trong góc tạo bởi hai gương (hình 13.9). Thay đổi góc giữa các gương và đếm số ảnh được tạo bởi hệ gương rồi ghi kết quả như bảng dưới đây.

|
Góc giữa hai gương |
30o |
40o |
50o |
60o |
70o |
80o |
90o |
|
|
Số ảnh (n) |
n |
Từ số liệu vừa thu được, em có thể dự đoán công thức liên hệ giữa và n không? Nếu có, em hãy ghi lại biểu thức đó.
Lời giải:
a. Số ảnh trong gương phụ thuộc vào các yếu tố:
+ Số gương được ghép.
+ Cách ghép các gương (tức là tùy thuộc vào góc hợp bởi giữa các gương).
b. Tiến hành thí nghiệm thu được bảng số liệu sau:
|
Góc giữa hai gương |
30o |
40o |
50o |
60o |
70o |
80o |
90o |
|
|
Số ảnh (n) |
n |
11 |
8 |
6 |
5 |
4 |
3 |
3 |
![]()
Chứng minh:
Chú ý: Mỗi gương phẳng sẽ tạo ra một mặt phẳng tới (do đường thẳng chứa gương tạo thành), có ảnh của vật qua gương khi vật nằm trong mặt phẳng tới. Nếu vật không nằm trong mặt phẳng tới sẽ không tạo ra ảnh.

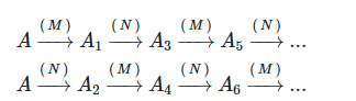
Sơ đồ tạo ảnh qua hệ:


Từ bài toán ta có thể biểu diễn một số trường hợp đơn giản. Theo hình vẽ ta có:

Tức là ảnh A2k-1 và ảnh A2k trùng nhau.
Trong hai ảnh này có một ảnh sau gương (M) và một ảnh sau gương (N) nên không tiếp tục cho ảnh nữa.
Vậy số ảnh của A cho bởi hai gương là: n = 2k – 1 ảnh.
>>>> Bài tiếp theo: Giải SBT Khoa học tự nhiên 7 Cánh diều bài 14
Trên đây là toàn bộ lời giải Giải SBT KHTN lớp 7 bài 13: Sự phản xạ ánh sáng sách Cánh diều. Các em học sinh tham khảo thêm KHTN lớp 7 Kết nối tri thức và KHTN lớp 7 Chân trời sáng tạo. VnDoc liên tục cập nhật lời giải cũng như đáp án sách mới của SGK cũng như SBT các môn cho các bạn cùng tham khảo.