Giải SBT Toán 7 Kết nối tri thức bài 5
Giải sách bài tập Toán lớp 7 bài 5: Làm quen với số thập phân vô hạn tuần hoàn sách Kết nối tri thức. Các em học sinh có thể tham khảo đối chiếu với bài của mình đã làm. Các lời giải dưới đây bám sát chương trình học cho các em học sinh cùng theo dõi.
Bài: Làm quen với số thập phân vô hạn tuần hoàn
2.1. Trong các phân số sau, phân số nào viết được dưới dạng số thập phân vô hạn tuần hoàn? Vì sao?
\(\frac{21}{60}; \frac{-8}{125}; \frac{28}{-63}; \frac{37}{800}\)
Lời giải
Viết các phân số đã cho dưới dạng tối giản và có mẫu dương:
=> Vì 9 có ước nguyên tố là 3 (khác 2 và 5) nên
\(\frac{28}{-63}\) viết được thành số thập phân vô hạn tuần hoàn
2.2. Viết số thập phân 2,75 dưới dạng phân số tối giản.
Lời giải
Ta có:

=>Số thập phân 2,75 được viết dưới dạng phân số tối giản là
\(\frac{7}{4}\)
2.3. Nối mỗi phân số ở cột bên trái với cách viết thập phân của nói ở cột bên phải:

Lời giải
Ta có:

Ta có kết quả nối sau:
- 1 – b
- 2 – c
- 3 – d
- 4 – a
2.4. Trong các phân số:
\(\frac{13}{15}; \frac{13}{4}; \frac{-1}{18}; \frac{11}{6}; \frac{7}{20}; \frac{-19}{50}\), gọi A là tập hợp các phân số được viết thành số thập phân hữu hạn và B là tập hợp các phân số viết được thành số thập phân vô hạn tuần hoàn. Liệt kê và viết các phần tử của hai tập hợp theo thứ tự từ nhỏ đến lớn.
Lời giải
Các phân số trên đã tối giản
Ta có:

Từ đó ta được:

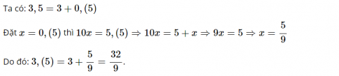
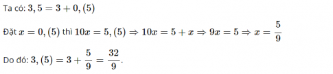
2.5. Viết số thập phân 3,(5) dưới dạng phân số.
Lời giải

2.6. Chữ số thứ 105 sau dấu phẩy của phân số
\(\frac{1}{7}\) (viết dưới dạng số thập phân) là chữ số nào?
Ta có:
\(\frac{1}{7} = 0,(142857)\)
Chu kỳ phần thập phân có 6 chữ số.
Ta có: 105 : 6 = 17 dư 3.
Do đó, chữ số thập phân thứ 105 là 2.
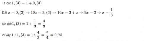
2.7. Kết quả của phép tính 1 : 1(3) bằng:
A. 0,(75);
B. 0,3;
C. 0,(3);
D. 0,75.
Hãy chọn câu trả lời đúng.
Lời giải

=>Đáp án đúng là D
2.8. Cho hai số a = 2,4798; b = 3,(8).
a) Gọi a’ và b’ lần lượt là kết quả làm tròn số a đến hàng phần mười và làm tròn số b với độ chính xác 0,5. Tính a’; b’ và so sánh a’ với a; b’ với b.
b) Sử dụng kết quả câu a) để giải thích kết luận sau đấy đúng:
2,4798 . 3,(8) = 10,2(3).
Lời giải
a) Ta làm tròn số a = 2,4798 đến hàng phần mười ta được kết quả là a’ = 2,5.
Làm tròn số b với độ chính xác 0,5 nghĩa là làm tròn số b đến hàng đơn vị. Khi đó ta được kết quả là b’ = 4.
So sánh a’ với a ta thấy a’ lớn hơn a (2,5 > 2,4788)
So sánh b’ với b ta thấy b’ lớn hơn b (4 > 3,(8))
2.9. Cho a = 25,4142135623730950488… là số thập phân có phần nguyên bằng 25 và phần thập phân trùng với phần thập phân của số
\(\sqrt{2}\). Số này có là số thập phân vô hạn tuần hoàn hay không? Vì sao?
Lời giải
Số này là số thập phân vô hạn không tuần hoàn vì phần thập phân của số
\(\sqrt{2}\) cũng có phần thập phân vô hạn không tuần hoàn nên phần thập phân của số này cũng vô hạn không tuần hoàn.
>>>> Bài tiếp theo: Giải SBT Toán 7 Kết nối tri thức bài 6
Trên đây là toàn bộ lời giải bài Giải SBT Toán 7 bài 5: Làm quen với số thập phân vô hạn tuần hoàn sách Kết nối tri thức. Các em học sinh tham khảo thêm Toán 7 Chân trời sáng tạo và Toán 7 Cánh diều. VnDoc liên tục cập nhật lời giải cũng như đáp án sách mới của SGK cũng như SBT các môn cho các bạn cùng tham khảo.