Giải SBT Toán 7 Kết nối tri thức bài 6
VnDoc xin giới thiệu bài Giải sách bài tập Toán lớp 7 bài 6: Số vô tỉ - Căn bậc hai số học sách Kết nối tri thức. Các em học sinh có thể tham khảo đối chiếu với bài của mình đã làm. Các lời giải dưới đây bám sát chương trình học cho các em học sinh cùng theo dõi.
Bài: Số vô tỉ - Căn bậc hai số học
2.10. Những số nào sau đây có căn bậc hai số học?
\(0,9; -4; 11; -100; \frac{4}{5}; π45; π.\)
Những số không âm là những số có căn bậc hai số học.
=> Do đó
\(0,9; 11; 45;\frac{4}{5};π\) là những số có căn bậc hai số học.
2.11. Điền kí hiệu (∈, ∉) thích hợp vào ô vuông:

Lời giải

Số âm không có căn bậc hai nên C sai.
Căn bậc hai số học là không âm nên B sai.
2.12. Những biểu thức nào dưới đây có giá trị bằng
\(\frac{3}{7}\)?

Lời giải

=> Vậy cả 4 số đã cho đều bằng
\(\frac{3}{7}\)
2.13. Số nào trong các số:
\(\frac{-16}{3}; \sqrt{36}; \sqrt{47}; −2π; \sqrt{0.01};2+ \sqrt{7}\) là số vô tỉ?
Lời giải
Các số
\(\frac{-16}{3}; \sqrt{36}= 6; \sqrt{0.01} = 0.1\) đều là số vô tỉ
Số 47 là số tự nhiên không chính phương nên
\(\sqrt{47}\) là số vô tỉ
Các số
\(−2π ; \sqrt{0.01};2+ \sqrt{7}\)cũng số vô tỉ. Thật vậy, vì π là số vô tỉ nên −2π là số vô tỉ.
Số 7 là số tự nhiên không chính phương nên
\(\sqrt{7}\) là số vô tỉ, do đó
\(2+ \sqrt{7}\) cũng là số vô tỉ
2.14. Số nào trong các số sau là số vô tỉ?
\(a = 0,777…; b = 0,70700700070000…; c = \frac{-1}{7}; d= \sqrt{(-7)^{2}}\)
Lời giải
a = 0,777… = 0,(7). Vì a được viết dưới dạng số thập phân vô hạn tuần hoàn nên a không là số vô tỉ;
b = 0,70700700070000… Vì b được viết dưới dạng số thập phân vô hạn không tuần hoàn nên b là số vô tỉ;
c = − 1 7 −17 = -0,142857142857... = -0,(142857). Vì c được viết dưới dạng số thập phân vô hạn tuần hoàn nên c không là số vô tỉ;
\(d= \sqrt{(-7)^{2}} = d= \sqrt{49} = 7\) Vì d là số nguyên nên d không là số vô tỉ.
Vậy trong các số đã cho chỉ có số 0,70700700070000… là số vô tỉ.
2.15. Tìm căn bậc hai số học của các số sau: 81; 8 100; 0,81; 812
Lời giải

2.16.

Lời giải

=> Nên a>b
2.17. Xét số a = 1 + √22.
a) Làm tròn số a đến hàng phần trăm;
b) Làm tròn số a đến chữ số thập phân thứ năm;
c) Làm tròn số a với độ chính xác 0,0005.
Lời giải
a = 1 + √22 = 2,414213562…
a) Ta gạch chân dưới chữ số hàng phần trăm 2,4 1 4213562…
Nhận thấy chữ số bên phải liền kề hàng phần trăm là 4 < 5 nên ta giữ nguyên chữ số hàng phần trăm và bỏ đi các chữ phần thập phân phía sau hàng phân trăm.
Vậy làm tròn số 1 +√22 đến hàng phần trăm ta thu được kết quả là 2,41.
b) Ta gạch chân dưới chữ số thập phân thứ năm 2,4 1 4213562…
Nhận thấy chữ số bên phải liền kề chữ số thập phân thứ năm là 3 < 5 nên ta giữ nguyên chữ số thập phân thứ năm và bỏ đi các chữ phần thập phân phía sau chữ số thập phân thứ 5.
Vậy làm tròn số 1 + √22 đến chữ số thập phân thứ năm ta thu được kết quả là 2,41421.
c) Làm tròn số a với độ chính xác 0,0005 tức là ta làm tròn số đó đến hàng phần nghìn.
Ta gạch chân dưới chữ số hàng phần nghìn 2,41 4 213562…
Nhận thấy chữ số bên phải liền kề chữ số hàng phần nghìn là 2 < 5 nên ta giữ nguyên chữ số hàng phần nghìn và bỏ đi các chữ phần thập phân phía sau chữ số hàng phân nghìn.
Vậy làm tròn số 1 + √22 đến chữ số hàng phần nghìn ta thu được kết quả là 2,414.

Lời giải

2.19. Giá trị lớn nhất của biểu thức:
\(3-\sqrt{6}\) bằng:

Lời giải

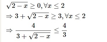
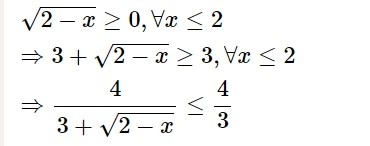
2.20. Tìm giá trị lớn nhất của biểu thức:
\(\frac{4}{3+\sqrt{2-x}}\)
Lời giải
Ta thấy biểu thức đã cho có tử và mẫu đều là số dương, tử số là 4 không đổi, do đó biểu thức có giá trị lớn nhất khi mẫu số nhỏ nhất.
Ta có:

Vậy biểu thức đã cho có giá trị lớn nhất là
\(\frac{4}{3}\)
Dấu “=” xảy ra khi 2−x=0⇒x=2(tm)
>>>> Bài tiếp theo: Giải SBT Toán 7 Kết nối tri thức bài 7
Trên đây là toàn bộ lời giải bài Giải SBT Toán 7 bài 6: Số vô tỉ - Căn bậc hai số học sách Kết nối tri thức. Các em học sinh tham khảo thêm Toán 7 Chân trời sáng tạo và Toán 7 Cánh diều. VnDoc liên tục cập nhật lời giải cũng như đáp án sách mới của SGK cũng như SBT các môn cho các bạn cùng tham khảo.