Giải Toán lớp 1: Trừ bằng cách đếm bớt trang 68, 69
Toán lớp 1 Chân trời sáng tạo: Trừ bằng cách đếm bớt
Giải sách giáo khoa Toán lớp 1 Chân trời sáng tạo: Trừ bằng cách đếm bớt (trang 68, 69) là lời giải chi tiết cho bài Trừ bằng cách đếm bớt chương trình Toán lớp 1 tập 1 thuộc bộ sách Chân trời sáng tạo do VnDoc biên soạn để các em học sinh tham khảo lời giải và ôn tập lại kiến thức đã học nhằm giúp các em học tốt môn Toán lớp 1. Đồng thời đây cũng là tài liệu tham khảo cho các phụ huynh và giáo viên trong quá trình dạy học. Mời các bạn cùng luyện Giải toán lớp 1 Chân trời sáng tạo
Bản quyền tài liệu thuộc về VNDOC, nghiêm cấm sao chép
Thực hành (trang 68)

Làm theo mẫu.
Mẫu:

|
8 - 3 |
7 - 1 |
9 - 2 |
7 - 4 |
Hướng dẫn giải:
Học sinh thực hiện đếm bớt theo mẫu
|
- Tám, bảy, sáu, năm Vậy 8 - 3 = 5 - Bảy, sáu Vậy 7 - 1 = 6 |
- Chín, tám, bảy Vậy 9 - 2 = 7 - Bảy, sáu, năm, bốn, ba Vậy 7 - 4 = 3 |
Ta viết kết quả như sau:
|
8 - 3 = 5 |
7 - 1 = 6 |
9 - 2 = 7 |
7 - 4 = 3 |
Luyện tập (trang 69)
Câu 1 trang 69 sách Toán 1 CTST
Tính:
|
10 - 4 |
6 - 2 |
8 - 1 |
|
8 - 3 |
9 - 1 |
10 - 2 |
Hướng dẫn giải:
Học sinh sử dụng cách đếm bớt để thực hiện các phép tính trừ có trong đề bài
Thực hiện phép tính: 10 - 4
Ta thực hiện đếm bớt giảm từ 10, đó là: Mười, chín, tám, bảy, sáu.
Vậy ta có 10 - 4 = 6
Tương tự với các phép tính khác
|
10 - 4 = 6 |
6 - 2 = 4 |
8 - 1 = 7 |
|
8 - 3 = 5 |
9 - 1 = 8 |
10 - 2 = 8 |
Câu 2 trang 69 sách Toán 1 CTST
Tính theo mẫu.
|
10 - 1 - 4 |
7 - 3 + 4 |
|
6 + 4 - 3 |
5 + 3 + 2 |
Hướng dẫn giải:
- Học sinh dựa vào mẫu để thực hiện các phép cộng, phép trừ có trong đề bài.
- Học sinh quan sát mẫu, thực hiện phép tính lần lượt theo thứ tự trừ trái sang phải.
|
10 - 1 - 4 Mười trừ một bằng chín. Chín trừ bốn bằng năm. Vậy 10 - 1 - 4 = 5 |
7 - 3 + 4 Bảy trừ ba bằng bốn. Bốn cộng bốn bằng tám. Vậy 7 - 3 + 4 = 8 |
|
6 + 4 - 3 Sáu cộng bốn bằng mười. Mười trừ ba bằng bảy. Vậy 6 + 4 - 3 = 7 |
5 + 3 + 2 Năm cộng ba bằng tám. Tám cộng hai bằng mười. Vậy 5 + 3 + 2 = 10 |
Câu 3 trang 69 sách Toán 1 CTST
Số?

Hướng dẫn giải:
Học sinh dựa vào cách tách gộp số để thực hiện các phép tính cộng, phép tính trừ có trong đề bài, sau đó điền số thích hợp vào ô trống.
a)
|
|
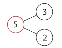
3 + 2 = 5 2 + 3 = 5 5 - 2 = 3 5 - 3 = 2 |
b)
|
|
4 + 1 = 5 1 + 4 = 5 5 - 4 = 1 5 - 1 = 4 |
Hoạt động thực tế (trang 69)
Em có biết 3 + 4 và 4 + 3 đều có kết quả như nhau không?
- Có 3 cái kẹo đỏ và 4 cái kẹo xanh, tất cả có 7 cái kẹo.
- Có 4 cái kẹo xanh và 3 cái kẹo đỏ, tất cả có 7 cái kẹo.
Hướng dẫn:
Học sinh tự đưa ra ví dụ minh họa theo đề bài:
Tham khảo:
2 + 1 và 1 + 2 đều có kết quả như nhau:
- 2 cái bút chì và 1 cái bút mực, tất cả có 3 cái bút.
- 1 cái bút mực và 2 cái bút chì, tất cả có 3 cái bút.
>> Bài tiếp theo: Em làm được những gì?
----------------------------------
Trên đây là lời Giải sách giáo khoa Toán lớp 1 Chân trời sáng tạo: Trừ bằng cách đếm bớt (trang 68, 69). Đồng thời, để củng cố kiến thức, mời các em tham khảo các phiếu bài tập ở Bài tập cuối tuần lớp 1 môn Toán Chân trời sáng tạo

