Lý thuyết và bài tập sóng cơ - sóng âm
Lý thuyết và bài tập sóng cơ - sóng âm
Lý thuyết và bài tập sóng cơ - sóng âm là tài liệu ôn tập môn Lý lớp 12 nâng cao, giúp các bạn ghi nhớ kiến thức về sóng cơ và sóng âm, đồng thời luyện tập các dạng bài cơ bản của sóng cơ, sóng âm. Mời quý thầy cô và các bạn cùng tham khảo.
- Bài tập Vật lý lớp 12 chương 1: Dao động cơ
- Luyện thi đại học môn vật lý - chuyên đề: Sóng
- Bài tập trắc nghiệm sóng cơ
A. TÓM TẮT LÝ THUYẾT
1. Sóng cơ và sự truyền sóng cơ.
* Sóng cơ: Sóng cơ là dao động cơ lan truyền trong môi trường vật chất.
- Sóng ngang là sóng trong đó các phần tử của môi trường dao động theo phương vuông góc với phương truyền sóng.
- Trừ trường hợp sóng mặt nước, sóng ngang chỉ truyền được trong chất rắn.
- Sóng dọc là sóng trong đó các phần tử của môi trường dao động theo phương trùng với phương truyền sóng.
- Sóng dọc truyền được cả trong chất khí, chất lỏng và chất rắn.
- Sóng cơ không truyền được trong chân không.
- Bước sóng λ: là khoảng cách giữa hai điểm gần nhau nhất trên phương truyền sóng dao động cùng pha.
- Bước sóng cũng là quãng đường sóng lan truyền trong một chu kỳ:
. - Khoảng cách giữa hai điểm gần nhau nhất trên phương truyền sóng mà dao động ngược pha là λ/2.
- Năng lượng sóng: sóng truyền dao động cho các phần tử của môi trường, nghĩa là truyền cho chúng năng lượng. Quá trình truyền sóng là quá trình truyền năng lượng.
* Phương trình sóng
Nếu phương trình sóng tại nguồn O là uO = AOcos(ωt + φ) thì phương trình sóng tại M trên phương truyền sóng là: ![]()
Nếu bỏ qua mất mát năng lượng trong quá trình truyền sóng thì biên độ sóng tại O và tại M bằng nhau (AO = AM = A).
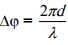
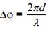
Độ lệch pha của hai dao động giữa hai điểm cách nhau một khoảng d trên phương truyền sóng:
.
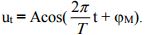
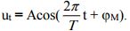
* Tính tuần hoàn của sóng
Tại một điểm M xác định trong môi trường: uM là một hàm biến thiên điều hòa theo thời gian t với chu kỳ T: ![]()
Tại một thời điểm t xác định: uM là một hàm biến thiên điều hòa trong không gian theo biến x với chu kỳ λ: ![]()
2. Giao thoa sóng.
- Điều kiện cần và đủ để hai sóng giao thoa được với nhau là hai sóng đó phải là hai sóng kết hợp, xuất phát từ hai nguồn dao động cùng phương, cùng tần số và có độ lệch pha không đổi theo thời gian. Hai nguồn kết hợp có cùng pha là hai nguồn đồng bộ.
- Hai sóng do hai nguồn kết hợp phát ra là hai sóng kết hợp.
- Hiện tượng giao thoa là hiện tượng hai sóng kết hợp khi gặp nhau thì có những điểm, ở đó chúng luôn luôn tăng cường lẫn nhau; có những điểm ở đó chúng luôn luôn triệt tiêu nhau.
- Nếu tại hai nguồn S1 và S2 cùng phát ra hai sóng giống hệt nhau: u1 = u2 = Acosωt và nếu bỏ qua mất mát năng lượng khi sóng truyền đi thì thì sóng tại M (với S1M = d1; S2M = d2) là tổng hợp hai sóng từ S1 và S2 truyền tới sẽ có phương trình là:

- Cực đại giao thoa nằm tại các điểm có hiệu đường đi của hai sóng tới đó bằng một số nguyên lần bước sóng: d2 – d1 = kλ; (k ∈ Z)
- Cực tiểu giao thoa nằm tại các điểm có hiệu đường đi của hai sóng tới đó bằng một số nguyên lẻ nữa bước sóng: d2 – d1 = (k + 1/2)λ; (k ∈ Z).
- Tại điểm cách đều hai nguồn sẽ có cực đại nếu sóng từ hai nguồn phát ra cùng pha, có cực tiểu nếu sóng từ hai nguồn phát ra ngược pha nhau.
- Trên đoạn thẳng S1S2 nối hai nguồn, khoảng cách giữa hai cực đại hoặc hai cực tiểu liên tiếp (gọi là khoảng vân i) là: i = λ/2.
- Hiện tượng giao thoa là một hiện tượng đặc trưng của sóng, tức là mọi quá trình sóng đều có thể gây ra hiện tượng giao thoa. Ngược lại, quá trình vật lí nào gây được hiện tượng giao thoa cũng tất yếu là một quá trình sóng.
- Một hiện tượng đặc trưng nữa của sóng là hiện tượng nhiễu xạ. Đó là hiện tượng sóng khi gặp vật cản thì sóng đi lệch khỏi phương truyền thẳng và đi vòng ra phía sau vật cản.
3. Sóng dừng.
- Sự phản xạ sóng: Khi sóng truyền đi nếu gặp vật cản thì nó có thể bị phản xạ. Sóng phản xạ cùng tần số và cùng bước sóng với sóng tới.
- Nếu đầu phản xạ cố định thì sóng phản xạ ngược pha với sóng tới.
- Nếu vật cản tự do thì sóng phản xạ cùng pha với sóng tới.
- Sóng dừng
- Sóng tới và sóng phản xạ nếu truyền theo cùng một phương, thì có thể giao thoa với nhau, và tạo ra một hệ sóng dừng.
- Trong sóng dừng có một số điểm luôn luôn đứng yên gọi là nút, và một số điểm luôn luôn dao động với biên độ cực đại gọi là bụng. Khoảng cách giữa hai nút liên tiếp hoặc hai bụng liên tiếp bằng nữa bước sóng.
- Để có sóng dừng trên sợi dây với hai nút ở hai đầu (hai đầu cố định) thì chiều dài của dây phải bằng một số nguyên nữa bước sóng.
- Để có sóng dừng trên sợi dây với một đầu là nút một đầu là bụng (một đầu cố định, một đầu tự do) thì chiều dài của sợi dây phải bằng một số nguyên lẻ một phần tư bước sóng
4. Sóng âm.
* Đặc trưng vật lí của âm
- Sóng âm là những sóng cơ học dọc truyền trong các môi trường khí, lỏng, rắn.
- Nguồn âm là các vật dao động phát ra âm.
- Tần số dao động của nguồn cũng là tần số của sóng âm.
- Âm nghe được (âm thanh) có tần số từ 16 Hz đến 20000 Hz.
- Âm có tần số dưới 16 Hz gọi hạ âm.
- Âm có tần số trên 20000 Hz gọi là siêu âm.
- Nhạc âm là âm có tần số xác định, tạp âm là âm không có một tần số xác định.
- Âm không truyền được trong chân không.
- Trong một môi trường, âm truyền với một tốc độ xác định. Vận tốc truyền âm phụ thuộc vào tính đàn hồi, mật độ của môi trường và nhiệt độ của môi trường. Khi âm truyền từ môi trường này sang môi trường khác thì vận tốc truyền âm thay đổi, bước sóng của sóng âm thay đổi còn tần số của âm thì không thay đổi.
- Âm hầu như không truyền được qua các chất xốp như bông, len, ..., những chất đó được gọi là chất cách âm.
(Còn tiếp)
Trên đây VnDoc.com vừa giới thiệu tới các bạn Lý thuyết và bài tập sóng cơ - sóng âm, mời các bạn cùng tham khảo thêm các môn Toán 12, Ngữ văn 12, tiếng Anh 12, đề thi học kì 1 lớp 12, đề thi học kì 2 lớp 12...