Giao diện mới của VnDoc Pro: Dễ sử dụng hơn - chỉ tập trung vào lớp bạn quan tâm. Vui lòng chọn lớp mà bạn quan tâm: Lưu và trải nghiệm
Đóng
Điểm danh hàng ngày
  • Hôm nay +3
  • Ngày 2 +3
  • Ngày 3 +3
  • Ngày 4 +3
  • Ngày 5 +3
  • Ngày 6 +3
  • Ngày 7 +5
Bạn đã điểm danh Hôm nay và nhận 3 điểm!
Nhắn tin Zalo VNDOC để nhận tư vấn mua gói Thành viên hoặc tải tài liệu Hotline hỗ trợ: 0936 120 169

Đề thi thử vào lớp 10 môn Toán năm 2015 - 2016 Phòng GD và ĐT Giao Thủy, Nam Định

Đóng
Bạn đã dùng hết 1 lần làm bài Trắc nghiệm miễn phí. Mời bạn mua tài khoản VnDoc PRO để tiếp tục! Tìm hiểu thêm
Mô tả thêm:

Đề thi tuyển sinh vào lớp 10 môn Toán 

Nhằm giúp các bạn học sinh lớp 9 củng cố và nắm vững kiến thức môn Toán trước khi bước vào kì thi tuyển sinh THPT năm 2016, VnDoc xin chia sẻ bài test Đề thi thử vào lớp 10 môn Toán năm 2015 - 2016 Phòng GD và ĐT Giao Thủy, Nam Định. Tham gia làm bài để làm quen với các dạng câu hỏi, đồng thời rèn luyện kĩ  năng làm bài nhanh và chính xác nhé! 

  • Thời gian làm: 120 phút
  • Số câu hỏi: 14 câu
  • Số điểm tối đa: 14 điểm
Bắt đầu làm bài
Bạn còn 1 lượt làm bài tập miễn phí. Hãy mua tài khoản VnDoc PRO để học không giới hạn nhé! Bạn đã HẾT lượt làm bài tập miễn phí! Hãy mua tài khoản VnDoc PRO để làm Trắc nghiệm không giới hạn và tải tài liệu nhanh nhé!
Mua ngay Đổi điểm
Trước khi làm bài bạn hãy
  • 1 Ôn tập kiến thức đã nêu trong phần Mô tả thêm
  • 2 Tìm không gian và thiết bị phù hợp để tập trung làm bài
  • 3 Chuẩn bị sẵn dụng cụ cần dùng khi làm bài như bút, nháp, máy tính
  • 4 Căn chỉnh thời gian làm từng câu một cách hợp lý
  • Câu 1: Nhận biết

    Phần I. Trắc nghiệm

    Câu 1.
    Điều kiện để biểu thức Đề thi thử vào lớp 10 môn Toáncó nghĩa là:

  • Câu 2: Nhận biết

    Câu 2:

    Phương trình x2 - 3x - 2014m = 0 có hai nghiệm trái dấu khi và chỉ khi:
  • Câu 3: Nhận biết

    Câu 3:

    Gọi x1; x2 là nghiệm của phương trình x2 - 2x - 1 = 0. Giá trị của x12 + x22 bằng:
  • Câu 4: Nhận biết

    Câu 4:

    Trong mặt phẳng Oxy, parabol: y = -2x2 có điểm chung với đường thẳng nào?
  • Câu 5: Nhận biết

    Câu 5:

    Đường thẳng (d): y = 2x - 6 cắt trục tung tại điểm:
  • Câu 6: Nhận biết

    Câu 6:

    Khi cắt hình trụ bởi một mặt phẳng vuông góc với trục hình trụ thì mặt cắt là hình gì?
  • Câu 7: Nhận biết

    Câu 7:

    Một hình nón có đường sinh l = 5dm và bán kính đường tròn đáy là r = 3dm. Chiều cao hình nón bằng:
  • Câu 8: Nhận biết

    Câu 8:

    Một hình cầu có diện tích mặt cầu làthì thể tích của hình cầu đó bằng:
  • Câu 9: Nhận biết
    Phần II: Tự luận Câu 1:
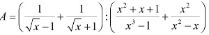
    Cho biểu thức: Đề thi thử vào lớp 10 môn Toán  với x > 0 và x ≠ 1.
    a. Rút gọn A 
    b. Chứng minh với x = 3 - 2√2 thì A = √2/2A = 2√x/(x + 1)
    Đáp án là:
    Phần II: Tự luận Câu 1:
    Cho biểu thức: Đề thi thử vào lớp 10 môn Toán  với x > 0 và x ≠ 1.
    a. Rút gọn A 
    b. Chứng minh với x = 3 - 2√2 thì A = √2/2A = 2√x/(x + 1)
  • Câu 10: Nhận biết
    Câu 2: Cho phương trình: x2 - 2mx + m2 - 2m + 3 = 0 (1), với m là tham số.
    1) Giải phương trình (1) với m = 3.Phương trình có 2 nghiệm x1 = 3 + √3; x2 = 3 - √3
    Đáp án là:
    Câu 2: Cho phương trình: x2 - 2mx + m2 - 2m + 3 = 0 (1), với m là tham số.
    1) Giải phương trình (1) với m = 3.Phương trình có 2 nghiệm x1 = 3 + √3; x2 = 3 - √3
  • Câu 11: Nhận biết
    2) Tìm tất cả các giá trị của m để (1) có hai nghiệm x1; x2 thỏa mãn: 2(x12 + x22) = 5(x1 + x2).
    Trả lời: Giá trị m cần tìm là: m = .......
    m = 2||2
    Đáp án là:
    2) Tìm tất cả các giá trị của m để (1) có hai nghiệm x1; x2 thỏa mãn: 2(x12 + x22) = 5(x1 + x2).
    Trả lời: Giá trị m cần tìm là: m = .......
    m = 2||2
  • Câu 12: Nhận biết
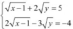
    Câu 3: Giải hệ phương trình: Đề thi thử vào lớp 10 môn Toán
    Trả lời:
    Hệ phương trình có nghiệm là: (x; y) = (....; .....)2; 4
    Dùng dấu ";" để ngăn cách giữa giá trị x và y
    Đáp án là:
    Câu 3: Giải hệ phương trình: Đề thi thử vào lớp 10 môn Toán
    Trả lời:
    Hệ phương trình có nghiệm là: (x; y) = (....; .....)2; 4
  • Câu 13: Nhận biết
    Câu 4: Cho ba điểm A,B,C phân biệt thẳng hàng theo thứ tự đó. Vẽ đường tròn tâm O bất kỳ đi qua hai điểm B, C (O không thuộc BC). Gọi E, F là các tiếp điểm của các tiếp tuyến kẻ từ A tới đường tròn (O) . Gọi M là trung điểm BC.
    1) Chứng minh các điểm A, E, O, M, F cùng nằm trên một đường tròn.
    2) Gọi H là giao điểm của hai đường thẳng AO và EF. Chứng minh AH. AO = AB. AC
    3) Gọi K là giao điểm của FE và BC. Chứng minh AK/AB + AK/AC = 2.
    Đáp án là:
    Câu 4: Cho ba điểm A,B,C phân biệt thẳng hàng theo thứ tự đó. Vẽ đường tròn tâm O bất kỳ đi qua hai điểm B, C (O không thuộc BC). Gọi E, F là các tiếp điểm của các tiếp tuyến kẻ từ A tới đường tròn (O) . Gọi M là trung điểm BC.
    1) Chứng minh các điểm A, E, O, M, F cùng nằm trên một đường tròn.
    2) Gọi H là giao điểm của hai đường thẳng AO và EF. Chứng minh AH. AO = AB. AC
    3) Gọi K là giao điểm của FE và BC. Chứng minh AK/AB + AK/AC = 2.
  • Câu 14: Nhận biết
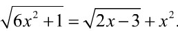
    Câu 5: Giải phương trình: Đề thi thử vào lớp 10 môn Toán
    Trả lời:
    Phương trình có nghiệm là: x = ..........2
    Đáp án là:
    Câu 5: Giải phương trình: Đề thi thử vào lớp 10 môn Toán
    Trả lời:
    Phương trình có nghiệm là: x = ..........2

Chúc mừng Bạn đã hoàn thành bài!

Đề thi thử vào lớp 10 môn Toán năm 2015 - 2016 Phòng GD và ĐT Giao Thủy, Nam Định Kết quả
  • Thời gian làm bài: 00:00:00
  • Số câu đã làm: 0
  • Điểm tạm tính: 0
  • Điểm thưởng: 0

Đấu trường Đề thi thử vào lớp 10 môn Toán năm 2015 - 2016 Phòng GD và ĐT Giao Thủy, Nam Định

Đang tìm đối thủ...

Đang tải...

Xác thực tài khoản!

Theo Nghị định 147/2024/ND-CP, bạn cần xác thực tài khoản trước khi sử dụng tính năng này. Chúng tôi sẽ gửi mã xác thực qua SMS hoặc Zalo tới số điện thoại mà bạn nhập dưới đây:

Số điện thoại chưa đúng định dạng!
Số điện thoại này đã được xác thực!
Bạn có thể dùng Sđt này đăng nhập tại đây!
Lỗi gửi SMS, liên hệ Admin
Sắp xếp theo