Giao diện mới của VnDoc Pro: Dễ sử dụng hơn - chỉ tập trung vào lớp bạn quan tâm. Vui lòng chọn lớp mà bạn quan tâm: Lưu và trải nghiệm
Đóng
Điểm danh hàng ngày
  • Hôm nay +3
  • Ngày 2 +3
  • Ngày 3 +3
  • Ngày 4 +3
  • Ngày 5 +3
  • Ngày 6 +3
  • Ngày 7 +5
Bạn đã điểm danh Hôm nay và nhận 3 điểm!
Nhắn tin Zalo VNDOC để nhận tư vấn mua gói Thành viên hoặc tải tài liệu Hotline hỗ trợ: 0936 120 169

Đề thi thử vào lớp 10 môn Toán Sở GD và ĐT Yên Lãng, Hải Phòng năm 2015

Đóng
Bạn đã dùng hết 1 lần làm bài Trắc nghiệm miễn phí. Mời bạn mua tài khoản VnDoc PRO để tiếp tục! Tìm hiểu thêm
Mô tả thêm:

Đề thi tuyển sinh vào lớp 10 môn Toán có đáp án

Để rèn luyện và làm quen với nhiều dạng đề cũng như câu hỏi, chuẩn bị cho kì thi tuyển sinh vào lớp 10 năm 2016 sắp tới mời các bạn tham khảo bài test Đề thi thử vào lớp 10 môn Toán Sở GD và ĐT Yên Lãng, Hải Phòng năm 2015 trên trang VnDoc.com. Bài test gồm 2 phần tự luận và trắc nghiệm cùng với phần đáp án đi kèm sẽ giúp các bạn hệ thống và củng cố lại kiến thức. Chúc các bạn ôn tập tốt!

  • Thời gian làm: 120 phút
  • Số câu hỏi: 15 câu
  • Số điểm tối đa: 15 điểm
Bắt đầu làm bài
Bạn còn 1 lượt làm bài tập miễn phí. Hãy mua tài khoản VnDoc PRO để học không giới hạn nhé! Bạn đã HẾT lượt làm bài tập miễn phí! Hãy mua tài khoản VnDoc PRO để làm Trắc nghiệm không giới hạn và tải tài liệu nhanh nhé!
Mua ngay Đổi điểm
Trước khi làm bài bạn hãy
  • 1 Ôn tập kiến thức đã nêu trong phần Mô tả thêm
  • 2 Tìm không gian và thiết bị phù hợp để tập trung làm bài
  • 3 Chuẩn bị sẵn dụng cụ cần dùng khi làm bài như bút, nháp, máy tính
  • 4 Căn chỉnh thời gian làm từng câu một cách hợp lý
  • Câu 1: Nhận biết

    I. Trắc nghiệm

    Câu 1:
    Điều kiện để biểu thức √(4x - 3) có nghĩa là:

  • Câu 2: Nhận biết

    Câu 2:

    Trong mặt phẳng tọa độ Oxy, đường thẳng y = 5x + m (d) đi qua điểm M(1; -2) thì m = ?

  • Câu 3: Nhận biết

    Câu 3:

    Phương trình nào sau đây có nghiệp kép?

  • Câu 4: Nhận biết

    Câu 4:

    Hai số -5 và 3 là nghiệm của phương trình nào sau đây?

  • Câu 5: Nhận biết

    Câu 5:

    Trong tam giác ABC vuông tại A, AH là đường cao, AB = 8cm, BH = 4cm. Độ dài cạnh BC = ........

  • Câu 6: Nhận biết

    Câu 6:

    Cho tam giác ABC có góc BAC bằng 70o, nội tiếp đường tròn (O), số đó của góc AOB bằng:

  • Câu 7: Nhận biết

    Câu 7:

    Cho tam giác ABC vuông tại A, góc ABC bằng 30o, độ dài cạnh AB bằng:

  • Câu 8: Nhận biết

    Câu 8:

    Một hình trụ có chiều cao bằng hai lần đường kính đáy, nếu đường kính đáy bằng 4cm thì thể tích hình trụ bằng:

  • Câu 9: Nhận biết
    II. Tự luận Câu 1:
    1. Rút gọn biểu thức:  Đề thi thử vào lớp 10 môn Toán
    Trả lời: N = ............1/2
    Đáp án là:
    II. Tự luận Câu 1:
    1. Rút gọn biểu thức:  Đề thi thử vào lớp 10 môn Toán
    Trả lời: N = ............1/2
  • Câu 10: Nhận biết
    2. Cho Parabol y = x2 (P) và đường thẳng y = 2x - m (d). Tìm các giá trị của m sao cho (P) và (d) cắt nhau tại hai điểm phân biệt.
    Trả lời:
    Giá trị m thỏa mãn là: .............m < 1
    Đáp án là:
    2. Cho Parabol y = x2 (P) và đường thẳng y = 2x - m (d). Tìm các giá trị của m sao cho (P) và (d) cắt nhau tại hai điểm phân biệt.
    Trả lời:
    Giá trị m thỏa mãn là: .............m < 1
  • Câu 11: Nhận biết
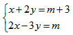
    Câu 2: 1. Cho hệ phương trình: Đề thi thử vào lớp 10 môn Toán(I)
    a. Giải hệ (I) khi m = 1.
    Trả lời:
    Nghiệm của hệ pt khi m = 1 là: (x; y) = (.........)

    2; 1
    Dùng dấu ";" để ngăn cách x và y.
    Đáp án là:
    Câu 2: 1. Cho hệ phương trình: Đề thi thử vào lớp 10 môn Toán(I)
    a. Giải hệ (I) khi m = 1.
    Trả lời:
    Nghiệm của hệ pt khi m = 1 là: (x; y) = (.........)

    2; 1
  • Câu 12: Nhận biết
    b. Tìm m để hệ (I) có nghiệm duy nhất (x; y) thỏa mãn x + y = -3. Trả lời:
    Giá trị m thỏa mãn là: m = .............-6
    Đáp án là:
    b. Tìm m để hệ (I) có nghiệm duy nhất (x; y) thỏa mãn x + y = -3. Trả lời:
    Giá trị m thỏa mãn là: m = .............-6
  • Câu 13: Nhận biết
    2.

    Cho phương trình x2 + 2x - m = 0 (1) (x là ẩn, m là tham số)
    a. Giải phương trình với m = -1
    Trả lời: Phương trình có nghiệm là: x = ........

    -1
    Đáp án là:
    2.

    Cho phương trình x2 + 2x - m = 0 (1) (x là ẩn, m là tham số)
    a. Giải phương trình với m = -1
    Trả lời: Phương trình có nghiệm là: x = ........

    -1
  • Câu 14: Nhận biết
    b.

    Gọi x1; x2 là hai nghiệm (có thể bằng nhau) ủa phương trình (1). Tìm giá trị nhỏ nhất của biểu thức P = x14 + x24 theo m.
    Trả lời:
    Giá trị nhỏ nhất của P là: P = ............

    2
    Đáp án là:
    b.

    Gọi x1; x2 là hai nghiệm (có thể bằng nhau) ủa phương trình (1). Tìm giá trị nhỏ nhất của biểu thức P = x14 + x24 theo m.
    Trả lời:
    Giá trị nhỏ nhất của P là: P = ............

    2

    Với m ≥ -1 thì pt (1) có nghiệm.
    Theo định lý Vi-et ta có: x1 + x2 = -2; x1x2 = -m
    Do đó P = x14 + x24 = 2m2 + 16m + 16
    Vì m ≥ -1 => m + 1 ≥ 0 => P = 2m2 + 16m + 16 = 2(m2 + 2m + 1) + 12m + 14 = 2(m + 1)2 + 12(m + 1) + 2 ≥ 2
    Vậy P đạt GTNN = 2 khi và chỉ khi m + 1 = 0 => m = -1 

  • Câu 15: Nhận biết
    Câu 3:

    Cho điểm M nằm ngoài đường tròn (O). Vẽ các tiếp tuyến MA, MB (A, B là các tiếp điểm) và cát tuyến MCD không đi qua O (C nằm giữa M và D) với đường tròn (O).
    1. Chứng minh tứ giác MAOB nội tiếp
    2. Chứng minh MC.MD = MA2
    3. Đường thẳng MO cắt AB tại H và cắt (O) tại I, K (I nằm giữa M và K). Chứng minh.
    4. Chứng minh CK là phân giác của góc DCH.

    Đáp án là:
    Câu 3:

    Cho điểm M nằm ngoài đường tròn (O). Vẽ các tiếp tuyến MA, MB (A, B là các tiếp điểm) và cát tuyến MCD không đi qua O (C nằm giữa M và D) với đường tròn (O).
    1. Chứng minh tứ giác MAOB nội tiếp
    2. Chứng minh MC.MD = MA2
    3. Đường thẳng MO cắt AB tại H và cắt (O) tại I, K (I nằm giữa M và K). Chứng minh.
    4. Chứng minh CK là phân giác của góc DCH.

Chúc mừng Bạn đã hoàn thành bài!

Đề thi thử vào lớp 10 môn Toán Sở GD và ĐT Yên Lãng, Hải Phòng năm 2015 Kết quả
  • Thời gian làm bài: 00:00:00
  • Số câu đã làm: 0
  • Điểm tạm tính: 0
  • Điểm thưởng: 0

Đấu trường Đề thi thử vào lớp 10 môn Toán Sở GD và ĐT Yên Lãng, Hải Phòng năm 2015

Đang tìm đối thủ...

Đang tải...

Xác thực tài khoản!

Theo Nghị định 147/2024/ND-CP, bạn cần xác thực tài khoản trước khi sử dụng tính năng này. Chúng tôi sẽ gửi mã xác thực qua SMS hoặc Zalo tới số điện thoại mà bạn nhập dưới đây:

Số điện thoại chưa đúng định dạng!
Số điện thoại này đã được xác thực!
Bạn có thể dùng Sđt này đăng nhập tại đây!
Lỗi gửi SMS, liên hệ Admin
Sắp xếp theo