Giao diện mới của VnDoc Pro: Dễ sử dụng hơn - chỉ tập trung vào lớp bạn quan tâm. Vui lòng chọn lớp mà bạn quan tâm: Lưu và trải nghiệm
Đóng
Điểm danh hàng ngày
  • Hôm nay +3
  • Ngày 2 +3
  • Ngày 3 +3
  • Ngày 4 +3
  • Ngày 5 +3
  • Ngày 6 +3
  • Ngày 7 +5
Bạn đã điểm danh Hôm nay và nhận 3 điểm!
Nhắn tin Zalo VNDOC để nhận tư vấn mua gói Thành viên hoặc tải tài liệu Hotline hỗ trợ: 0936 120 169

Đề thi tuyển sinh vào lớp 10 môn Toán Sở GD và ĐT Hải Phòng năm 2015

Đóng
Bạn đã dùng hết 1 lần làm bài Trắc nghiệm miễn phí. Mời bạn mua tài khoản VnDoc PRO để tiếp tục! Tìm hiểu thêm
Mô tả thêm:

Đề thi vào lớp 10 môn Toán có đáp án

Mời các bạn học sinh lớp 9 tham gia làm bài test Đề thi tuyển sinh vào lớp 10 môn Toán Sở GD và ĐT Hải Phòng năm 2015 trên trang VnDoc.com để củng cố kiến thức và rèn luyện kĩ năng làm bài môn Toán. Bài thi có cấu trúc gồm 2 phần trắc nghiệm và tự luận với các dạng bài đa dạng. 

  • Thời gian làm: 120 phút
  • Số câu hỏi: 14 câu
  • Số điểm tối đa: 14 điểm
Bắt đầu làm bài
Bạn còn 1 lượt làm bài tập miễn phí. Hãy mua tài khoản VnDoc PRO để học không giới hạn nhé! Bạn đã HẾT lượt làm bài tập miễn phí! Hãy mua tài khoản VnDoc PRO để làm Trắc nghiệm không giới hạn và tải tài liệu nhanh nhé!
Mua ngay Đổi điểm
Trước khi làm bài bạn hãy
  • 1 Ôn tập kiến thức đã nêu trong phần Mô tả thêm
  • 2 Tìm không gian và thiết bị phù hợp để tập trung làm bài
  • 3 Chuẩn bị sẵn dụng cụ cần dùng khi làm bài như bút, nháp, máy tính
  • 4 Căn chỉnh thời gian làm từng câu một cách hợp lý
  • Câu 1: Nhận biết

    I. Trắc nghiệm

    Câu 1:
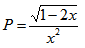
    Điều kiện xác định của biểu thức Đề thi vào lớp 10 môn toánlà:

  • Câu 2: Nhận biết

    Câu 2:

    Hàm số nào sau đây không phải là hàm số bậc nhất?

  • Câu 3: Nhận biết

    Câu 3:

    Hệ phương trình Đề thi vào lớp 10 môn Toáncó nghiệm là cặp số (x; y) bằng:
  • Câu 4: Nhận biết

    Câu 4:

    Nếu x1; x2 là nghiệm của phương trình x2 + x - 1 = 0 thì tổng x12 + x22 bằng:

  • Câu 5: Nhận biết

    Câu 5:

    Tam giác MNP vuông tại M có đường cao AH. Biết MH = 2, NH = 1, x là độ dài cạnh MP, ta có:

  • Câu 6: Nhận biết

    Câu 6:

    Tam giác IJK vuông ở I có IJ = 3a; IK = 4a (a > 0), khi đó ta có cos IKJ bằng:

  • Câu 7: Nhận biết

    Câu 7:

    Cho (O; 5cm). Các điểm A, B thuộc (O; 5cm) sao cho số đo góc OAB = 120o. Số đo độ dài của cung AB (nhỏ) là:

  • Câu 8: Nhận biết

    Câu 8:

    Cho tam giác MNP vuông ở M có MN = 5cm, MP = 3cm. Quay tam giác MNP một vòng quanh cạnh MN được một hình nón có thể tích V1. Quay tam giác MNP một vòng quanh cạnh MP được một hình nón có thể tích V2. Khi đó ta có tỉ số V1/V2 bằng:

  • Câu 9: Nhận biết
    II. Tự luận Câu 1:
    Lập phương trình đường thẳng bậc nhất (d) biết (d) đi qua điểm A(-5; 2005) và B(2; 2019) trên mặt phẳng tọa độ Oxy.
    Trả lời:
    Phương trình đường thẳng (d) là: .............y = 2x + 2015
    Đáp án là:
    II. Tự luận Câu 1:
    Lập phương trình đường thẳng bậc nhất (d) biết (d) đi qua điểm A(-5; 2005) và B(2; 2019) trên mặt phẳng tọa độ Oxy.
    Trả lời:
    Phương trình đường thẳng (d) là: .............y = 2x + 2015
  • Câu 10: Nhận biết
    Câu 2:

    Cho phương trình: x3 - 2(m - 1)x + 2m - 4 = 0 (1) (m là tham số)
    a. Giải phương trình (1) khi m = 2
    Trả lời:
    Tập nghiệm của phương trình là: S = {...........}

    0; 2
    Nhập các giá trị theo thứ tự tăng dần, ngăn cách nhau bởi dấu ;
    Đáp án là:
    Câu 2:

    Cho phương trình: x3 - 2(m - 1)x + 2m - 4 = 0 (1) (m là tham số)
    a. Giải phương trình (1) khi m = 2
    Trả lời:
    Tập nghiệm của phương trình là: S = {...........}

    0; 2
  • Câu 11: Nhận biết
    b. Tìm giá trị nhỏ nhất của biểu thức P = x12 + x22 với x1; x2 là nghiệm của phương trình (1)
    Trả lời:
    Giá trị nhỏ nhất của P là: P = ................3
    Đáp án là:
    b. Tìm giá trị nhỏ nhất của biểu thức P = x12 + x22 với x1; x2 là nghiệm của phương trình (1)
    Trả lời:
    Giá trị nhỏ nhất của P là: P = ................3


    Ta có Δ' = (m - 2)2 + 1 > 0 với mọi m nên phương trình (1) luôn có 2 nghiệm phân biệt với mọi m.
    Áp dụng hệ thức Viet ta có: x1 + x2 = 2(m - 1); x1x2 = 2m - 4
    Lại có P = x12 + x22  = (x1 + x2)2 - 2x1x2
    Do đó P = (2m - 3)2 + 3 ≥ 3 với mọi m
    Suy ra GTNN của P bằng 3 đạt được khi (2m - 3)2 = 0 => m = 3/2

  • Câu 12: Nhận biết
    Câu 3: Giải bài toán bằng cách lập phương trình Một ca nô chạy xuôi dòng sông từ A đến B rồi lại chạy ngược dòng từ B về A hết tất cả 7 giờ 30 phút. Tính vận tốc thực của ca nô biết quãng sông AB dài 54km và vận tốc của dòng nước là 3km/h.15
    Đáp án là:
    Câu 3: Giải bài toán bằng cách lập phương trình Một ca nô chạy xuôi dòng sông từ A đến B rồi lại chạy ngược dòng từ B về A hết tất cả 7 giờ 30 phút. Tính vận tốc thực của ca nô biết quãng sông AB dài 54km và vận tốc của dòng nước là 3km/h.15

    Gọi vận tốc thực của ca nô là x (km/h) (x > 3)
    Vận tốc của ca nô khi xuôi dòng từ A đến B là (x + 3) (km/h)
    Vận tốc của ca nô khi ngược dòng từ B về A là (x - 3) (km/h)
    Thời gian ca nô đi từ A đến B là 54/(x + 3) (giờ)
    Thời gian ca nô đi từ B về A là 54/(x - 3) (giờ)
    Theo bài ra ta có phương trình; 54/(x + 3) + 54/(x - 3) = 15/2 (1)
    Giải pt (1) ta có x = -3/5 (loại) hoặc x = 15 (thỏa mãn đk)
    Vậy vận tốc thực của ca nô là 15km/h

  • Câu 13: Nhận biết
    Câu 4:

    Cho đường tròn (O) cố định và tam giác ABC có ba góc nhọn nội tiếp đường tròn (O), các đường cao BD và CE cắt nhau tại H và căt đường tròn (O) lần lượt ở D'; E'.
    1. Chứng minh tứ giác BEDC là tứ giác nội tiếp và DE // D'E'.
    2. Chứng minh OA vuông góc với DE.
    3. Cho điểm B và C cố định. Chứng minh rằng khi A di động trên cung lớn BC sao cho tam giác ABC là tam giác nhọn thì bán kính đường tròn ngoại tiếp tam giác ADE không đổi.

    Đáp án là:
    Câu 4:

    Cho đường tròn (O) cố định và tam giác ABC có ba góc nhọn nội tiếp đường tròn (O), các đường cao BD và CE cắt nhau tại H và căt đường tròn (O) lần lượt ở D'; E'.
    1. Chứng minh tứ giác BEDC là tứ giác nội tiếp và DE // D'E'.
    2. Chứng minh OA vuông góc với DE.
    3. Cho điểm B và C cố định. Chứng minh rằng khi A di động trên cung lớn BC sao cho tam giác ABC là tam giác nhọn thì bán kính đường tròn ngoại tiếp tam giác ADE không đổi.

  • Câu 14: Nhận biết
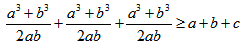
    Câu 5: Cho a, b, c là ba số dương chứng minh rằng:
    Đề thi vào lớp 10 môn toán
    Dấu đẳng thức xảy ra khi nào?
    Trả lời:
    Dấu đẳng thức xảy ra khi: ...............a = b = c
    Đáp án là:
    Câu 5: Cho a, b, c là ba số dương chứng minh rằng:
    Đề thi vào lớp 10 môn toán
    Dấu đẳng thức xảy ra khi nào?
    Trả lời:
    Dấu đẳng thức xảy ra khi: ...............a = b = c
    Đề thi vào lớp 10 môn toán

Chúc mừng Bạn đã hoàn thành bài!

Đề thi tuyển sinh vào lớp 10 môn Toán Sở GD và ĐT Hải Phòng năm 2015 Kết quả
  • Thời gian làm bài: 00:00:00
  • Số câu đã làm: 0
  • Điểm tạm tính: 0
  • Điểm thưởng: 0

Đấu trường Đề thi tuyển sinh vào lớp 10 môn Toán Sở GD và ĐT Hải Phòng năm 2015

Đang tìm đối thủ...

Đang tải...

Xác thực tài khoản!

Theo Nghị định 147/2024/ND-CP, bạn cần xác thực tài khoản trước khi sử dụng tính năng này. Chúng tôi sẽ gửi mã xác thực qua SMS hoặc Zalo tới số điện thoại mà bạn nhập dưới đây:

Số điện thoại chưa đúng định dạng!
Số điện thoại này đã được xác thực!
Bạn có thể dùng Sđt này đăng nhập tại đây!
Lỗi gửi SMS, liên hệ Admin
Sắp xếp theo