Chọn đáp án đúng
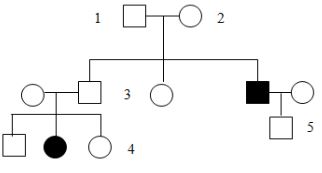
Ở người, bệnh mù màu do đột biến lặn nằm trên nhiễm sắc thể giới tính X gây nên (Xm), gen trội M tương ứng quy định mắt thường. Một cặp vợ chồng sinh được một con trai bình thường và một con gái mù màu. Kiểu gen của cặp vợ chồng này là:
