Trắc nghiệm Vật lý 10: Ôn tập cuối chương 7
Vật lý lớp 10: Ôn tập cuối chương 7
VnDoc.com xin giới thiệu tới bạn đọc tài liệu: Trắc nghiệm Vật lý 10: Ôn tập cuối chương 7, bộ tài liệu kèm theo đáp án và lời giải chi tiết sẽ là giúp các bạn học sinh ôn luyện giải bài tập Vật lý 10 một cách hiệu quả hơn. Mời các bạn học sinh và thầy cô tham khảo.
Trắc nghiệm Vật lý 10 chương 7: Chất rắn kết tinh và chất rắn vô định hình
Trắc nghiệm Vật lý 10 chương 7: Các hiện tượng bề mặt của chất lỏng
Trắc nghiệm Vật lý 10 chương 7: Sự chuyển thể của các chất
Trắc nghiệm Vật lý 10: Ôn tập cuối chương 7
Câu 1: Thanh ray dài 10m được lắp lên đường sắt ở nhiệt độ 20oC. Cho hệ số nở dài của thép là 15.10-6K-1. Để đảm bảo thanh dãn nở tự do khi nhiệt độ của thanh có thể lên tới nhiệt độ 40oC, phải để hở một khe ở đầu thanh có độ rộng là?
A. 1,5 mm.
B. 3,0 mm.
C. 2,0 mm.
D. 2,5 mm.
Câu 2: Một bình thủy tinh chứa đầy 50 cm3 thủy ngân ở nhiệt độ 18oC. Cho hệ số nở dài của thủy tinh là α=9.10-6K-1, hệ số nở khối của thủy ngân là β=18.-5K-1. Khi tăng nhiệt độ lên 28oC thì lượng thủy ngân tràn ra khỏi bình có thể tích là?
A. 0,153 cm3.
B. 0,171 cm3.
C. 0,291 cm3.
D. 0,214 cm3.
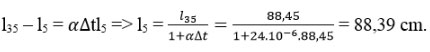
Câu 3: Một chiếc thước bằng nhôm có các độ chia đúng ở 5oC. Dùng thước này đo một chiều dài ở 35oC. Kết quả đọc được là 88,45 cm. Biết hệ số nở dài của nhôm là 24.10-6K-1. Chiều dài đo được có giá trị đúng là?
A. 88,48 cm.
B. 88,51 cm.
C. 88,39 cm.
D. 48,42 cm.
Câu 4: Ở 30oC, một quả cầu thép có đường kính 6 cm và không lọt qua một lỗ tròn khoét trên một tấm đồng thau vì đường kính của lỗ nhỏ hơn 0,01 mm. Cho hệ số nở dài của thép và đồng thau lần lượt là 12.10-6K-1 và 19.10-6K-1. Để quả cầu lọt qua lỗ tròn cần đưa quả cầu và tấm đồng thau tới cùng nhiệt độ bằng?
A. 54,8oC.
B. 58,3oC.
C. 53,8oC.
D. 58,4oC.
Câu 5: Một quả cầu nhỏ có bán kính 0,1 mm có mặt ngoài hoàn toàn không bị nước dính ướt. Khi đặt quả cầu lên mặt nước thì thấy quả cầu không bị chìm. Biết hệ số căng bề mặt của nước là 0,073 N.m. Trọng lượng của quả cầu không lớn hơn?
A. 65.10-6 N.
B. 56.10-6 N.
C. 64.10-6 N.
D. 46.10-6 N.
Câu 6: Một chiếc vòng nhôm đặt nằm ngang tiếp xúc với mặt nước, Vòng nhôm cso đường kính trong 50 mm, đường kính ngoài 52 mm và cao 50 mm. Nước dính ướt hoàn toàn nhôm. Cho biết khối lượng riêng của nhôm là 2800 kg/m3; hệ số căng bề mặt của nước là 73.10-3N/m. Lấy g = 9,8 m/s2. Để nhấc vòng nhôm lên khỏi mặt nươc thì cần một lực kéo lên không nhỏ hơn?
A. 232.10-3N.
B. 224.10-3N.
C. 243.10-3N.
D. 204.10-3N.
Câu 7: Một ống mao dẫn dài và mỏng có hai đầu đều hở được cắm thẳng đứng xuống nước sao cho toàn bộ chiều dài ống ngập trong nước. Dùng tay bịt đầu dưới của ống và nhấc ống thẳng đứng lên ra khỏi nước. Sau đó buông nhẹ tay để đầu duwois của ống lại hở. Cho đường kính trong của ống là 2,0 mm; khối lượng riêng của nước là 1000kg/m3 và hệ số căng bề mặt của nước là 72,5.10-3N/m, lấy g = 9,8 m/s2. Nước dính ướt hoàn toàn thành trong của ống. Chiều cao của cột nước còn lại trong ống là?
A. 29,6 mm.
B. 26,9 mm.
C. 39,6 mm.
D. 36,9 mm.
Câu 8: Một thanh đồng và một thanh thép có chiều dài là lđồng và lthép ở 0oC. Biết rằng ở bất kì nhiệt độ nào thanh thép cũng dài hơn thanh đồng 25 mm. Cho hệ số nở dài của thép là 12.10-6K-1và của đồng là 18.10-6K-1. Chiều dài cảu thanh đồng ở 0oC là?
A. 100 mm.
B. 75 mm.
C. 50 mm.
D. 80 mm.
Câu 9: Nhiệt lượng cần thiết để làm một thỏi nhôm ở nhiệt đô 20oC nóng chảy hoàn toàn là 190,288 kJ. Cho biết nhôm có nhiệt độ nóng chả ở 658oC, nhiệt nóng chảy riêng là 3,9.105J/kg và nhiệt dung riêng là 880 J/kg.K. Khối lượng của thỏi nhôm là?
A. 50 g.
B. 0,34 kg.
C. 50 kg.
D. 5 kg.
Câu 10: Một đám mây có thể tích 2,0.1010 m3 chứa hơi nước bão hòa trong khí quyển ở 20oC. Khi nhiệt độ đám mây giảm xuống tới 10oC, hơi nước trong đám mây ngưng tụ thành mưa. Cho khối lượng riêng của hơi nước bão hòa ở 10oC là 9,4 g.m3 và ở 20oC là 17,3 g.m3. Khối lượng nước mưa rơi xuống là?
A. 158.106 tấn.
B. 138.103 tấn.
C. 128.103 tấn.
D. 148.103 tấn.
Hướng dẫn giải và đáp án trắc nghiệm Vật lý 10
| Câu | 1 | 2 | 3 | 4 | 5 | 6 | 7 | 8 | 9 | 10 |
| Đáp án | B | A | C | C | D | C | A | C | B | A |
Câu 1: B
x ≥ Δl; Δl=loαΔt = 10.15.10-6.20 = 0,003 m = 3 mm.
Câu 2: A
Độ tăng thể tích cảu thủy ngân: ΔV2 = βΔtV.
Độ tăng dung tích của bình: ΔV1 = 3αΔtV
Lượng thủy ngân tràn ra ngoài:
ΔV=ΔV2-ΔV1=(β-3α).V = 0,153 cm3.
Câu 3: C
Sai số do sự nở dài của thước:

Câu 4: C
Đườngk ính quả cầu ở t℃: r = ro[1 + α1(t – to)]
Đường kính lỗ tròn ở t℃: r’ = (ro + Δr)[1 + α2(t – to)]
Để quả cầu lọt qua lỗ thì r = r’.

Câu 5: D
Do quả cầu không bị chìm thì P < Fc (Bỏ qua lực Ác-si-mét do quả cầu nhỏ).
Fc = σ.2π.r = 46.10-6 N.
Câu 6: C
Trọng lượng của vòng nhôm:
\(P=DgV=DgH\frac{\pi}{4}\left(d_{2^{ }}^2-d_2^2\right)\)
Lực căng ở mặt ngoài và mặt trong của vòng nhôm: F = σπ(d2 – d1), do dính ướt nên lực căng cùng hướng trọng lực.
Lực kéo cần thiết: F = P + Fc = 243.10-3 N.

Câu 9: B
Nhiệt lượng cần thiết để lượng nhôm nóng chảy hoàn toàn: Q1 = λm.
Nhiệt lượng mà lượng nhôm nhận được để tăng từ 20℃ đến 659℃ là:
Q2=mcΔt.
Tổng nhiệt lượng cần truyền cho khối nhôm là: Q =Q1 + Q2 = m(λ+cΔt)
![]()
Câu 10: A
Lượng nước mưa bằng độ giảm lượng hơi nước trong đám mây:
m = (A20 – A10)V = (17,3 – 9,4).2,0.1010 = 158.109s kg.