Trắc nghiệm Vật lý 10 chương 7: Độ ẩm của không khí
Vật lý lớp 10: Độ ẩm của không khí
Vật lý 10 chương 7: Độ ẩm của không khí là tài liệu hữu ích dành cho các bạn học sinh lớp 10 tham khảo để học tốt hơn môn Vật lý, tài liệu kèm theo đáp án giúp các bạn học sinh giải bài tập Vật lý 10 một cách hiệu quả hơn. Mời các bạn học sinh và thầy cô tham khảo.
Trắc nghiệm Vật lý 10: Ôn tập cuối chương 6
Trắc nghiệm Vật lý 10 chương 7: Chất rắn kết tinh và chất rắn vô định hình
Trắc nghiệm Vật lý 10 chương 7: Các hiện tượng bề mặt của chất lỏng
Trắc nghiệm Vật lý 10 chương 7: Độ ẩm của không khí
Câu 1: Ở nhiệt độ 30oC, độ ẩm tuyệt đối và độ ẩm cực đại của không khí lần lượt là 24,24 g/m3 và 30,3 g/m3. Độ ẩm tương đối của không khí khi đó là?
A. 80%.
B. 85%.
C. 90%.
D. 95%.
Câu 2: Ở nhiệt độ 20oC, khối lương riêng của hơi nước bão hòa là 17,3 g/m3. Biết độ ẩm tương đối cảu không khí là 90%. Độ ẩm tuyệt đối của không khí khi đó là?
A. 86,50 g/m3.
B. 52,02 g/m3.
C. 15,57 g/m3.
D. 17,55 g/m3.
Câu 3: Khối lượng riêng của hơi nước bão hòa ở 20oC và 30oC lần lượt là 17 g/m3 và 30 g/m3. Gọi a1, f1 là độ ẩm tuyệt đối, độ ẩm tương đối của không khí ở 20oC; a2, f2 là độ ẩm tuyệt đối, độ ẩm tương đối của không khí ở 30oC . Biết 3a1 = 2a2. Tỉ số f2/f1 bằng?
A. 20:17.
B. 17:20.
C. 30:17.
D. 17:30.
Câu 4: Ở 20oC, khối lượng riêng của hơi nước bão hòa là 17,3 g/m3, độ ẩm tương đối là 80%, độ ẩm tuyệt đối là a1. Ở 30oC, khối lượng riêng của hơi nước bão hòa là 30,3 g/m3, độ ẩm tương đối là 75%, độ ẩm tuyệt đối là a2. Hiệu (a1 – a2) bằng?
A. 11,265 g.
B. 8,885 g.
C. – 11,265 g.
D. – 8,885 g.
Câu 5: Không khí ẩm là không khí?
A. Có độ ẩm cực đại lớn.
B. Có độ ẩm tuyệt đói lớn.
C. Có độ ẩm tỉ đối lớn.
D. Áp suất riêng của hơi nước lớn.
Câu 6: Không khí trong một căn phòng có nhiệt độ 25oC và độ ẩm tỉ đối của không khí là 75%. Khối lượng riêng của hơi nước bão hòa ở 25oC là 23 g/m3. Cho biết không khí trong phòng có thể tích là 100 m3. Khối lượng hơi nước có trong căn phòng là?
A. 17,25 g.
B. 1,725 g.
C. 17,25 kg.
D. 1,725 kg
Câu 7: Ở 20oC, áp suất của hơi nước bão hòa là 17,5 mmHg. Không khí ẩm có độ ẩm tỉ đối là 80%, áp suất riêng phần của hơi nước có trong không khí ẩm này là?
A. 15 mmHg.
B. 14 mmHg.
C. 16 mmHg.
D. 17 mmHg.
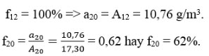
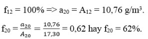
Câu 8: Lúc đầu không khí trong phòng có nhiệt độ 20oC. Sau khi chạy máy điều hòa, nhiệt độ không khí trong căn phòng giảm xuống còn 12oC và thấy hơi nước bắt đầu tụ lại thành sương. Khối lượng riêng của hơi nước bão hòa ở 12oC là 10,76 g.m3; ở 20oC là 17,30 g/m3. Độ ẩm tỉ đối của không khí trong phòng ở 20oC là?
A. 62%.
B. 72%.
C. 65%.
D. 75%.
Câu 9: Một căn phòng có thể tích 40 m3. Lúc đầu không khí trong phòng có độ ẩm 40%. Người ta cho nước bay hơi để tăng độ ẩm trong phòng lên tới 60%. Coi nhiệt độ bằng 20oC và không đổi, khối lượng riêng của hơi nước bão hòa ở 20oC là 17,3 g/m3. Khối lượng nước đã bay hơi là?
A. 143,8 g.
B. 148,3 g.
C. 183,4 g.
D. 138,4 g.
Câu 10: Ban ngày, nhiệt độ không khí là 30oC, độ ẩm của không khí đo được là 76%. Vào ban đêm nhiệt độ của không khí bằng bao nhiêu thì sẽ có sương mù? Cho biết khối lượng riêng của hơi nước bão hòa theo nhiệt độ là?
| toC | 20 | 23 | 25 | 27 | 28 | 30 |
| ρ(g/m3) | 17,30 | 20,60 | 23,00 | 25,81 | 27,20 | 30,29 |
A. 25oC.
B. 20oC.
C. 23oC.
D. 28oC.
Hướng dẫn giải và đáp án trắc nghiệm Vật lý 10 chương 7
| Câu | 1 | 2 | 3 | 4 | 5 | 6 | 7 | 8 | 9 | 10 |
| Đáp án | A | C | B | D | C | D | B | A | D | A |
Câu 1: A

Câu 4: D
a1 – a2 = f1A1 – f2A2 = 0,8.17,3 – 0,75.30,3 = - 8,885 g.
Câu 6: D
a = fA = 0,75.23 = 17,25 g/m3.
M = aV = 17,25.100 = 1725 g = 1,725 kg.
Câu 7: B
p = f.pbh = 0,8.17,5 = 14 mmHg.
Câu 8: A
Ở 12℃ hơi nước bắt đầu tụ thành sương nên hơi nước đạt trạng thái bão hòa

Câu 9: D
m = (a2 – a1)V = (f2 – f1)AV = (0,6 -0,4).17,3.40 = 138,4 g.
Câu 10: A
AX = a30 = A30.f = 30,29.0,75 ≈ 23 g/m3.
Vậy nhìn vảo bảng tương ứng với t = 25℃