Giải bài tập Vật lý 10 bài 9: Tổng hợp và phân tích lực. Điều kiện cân bằng của chất điểm
Giải bài tập Vật lý 10 bài 9
VnDoc.com xin giới thiệu tới bạn đọc tài liệu: Giải bài tập Vật lý 10 bài 9: Tổng hợp và phân tích lực. Điều kiện cân bằng của chất điểm. Bộ tài liệu chắc chắn sẽ giúp các bạn học sinh rèn luyện cách giải nhanh bài tập Vật lý một cách hiệu quả nhất. Mời các bạn và thầy cô cùng tham khảo chi tiết bài viết dưới đây nhé.
Giải bài tập Vật lý 10 bài 9: Tổng hợp và phân tích lực. Điều kiện cân bằng của chất điểm
Bài 1 trang 58 SGK Vật Lý 10
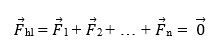
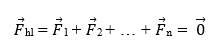
Phát biểu định nghĩa của lực và điều kiện cân bằng của một chất điểm.
Lời giải:
- Định nghĩa lực: Lực là đại lượng vector có độ lớn và hướng. Trong hệ đo lường SI lực có đơn vị là Newton (N) và ký hiệu là F.
- Điều kiện cân bằng của một chất điểm: hợp lực của tất cả các lực đồng thời tác dụng lên vật phải bằng không:

Bài 2 trang 58 SGK Vật Lý 10
Tổng hợp lực là gì? Phát biểu quy tắc hình bình hành.
Lời giải:
Tổng hợp lực: là thay thế nhiều lực tác dụng đồng thời vào một vật bằng một lực có tác dụng giống như các lực ấy. Lực thay thế gọi là lực tổng hợp (hay hợp lực).
Quy tắc hình bình hành: nếu có hệ thức vecto

Bài 3 trang 58 SGK Vật Lý 10
Hợp lực ...

Bài 4 trang 58 SGK Vật Lý 10
Phân tích lực là gì? Nêu cách phân tích một lực thành hai lực thành phần đồng qui theo hai phương cho trước.
Lời giải:
- Phân tích lực (ngược lại với tổng hợp lực) là thay thế một lực bằng hai hay nhiều lực có tác dụng giống hệt như lực đó.
- Phân tích lực cũng tuân theo quy tắc hình bình hành.
- Cách phân tích lực:

Bài 5 trang 58 SGK Vật Lý 10
Cho hai lực đồng quy có độ lớn bằng 9 N và 12 N.
a. Trong số các giá trị sau đây, giá trị nào là độ lớn của hợp lực?
A. 1 N
B. 2 N
C. 15 N
D. 25 N
b. Góc giữa hai lực đồng quy bằng bao nhiêu?
Lời giải:
a. Chọn C
Vì độ lớn của hợp lực thuộc khoảng sau:

Bài 6 trang 58 SGK Vật Lý 10
Cho hai lực đồng quy có cùng độ lớn 10 N.
a. Góc giữa hai lực bằng bao nhiêu thì hợp lực cũng có độ lớn bằng 10 N?
A. 90o;
B. 120o;
C. 60o;
D. 0o
b. Vẽ hình minh họa
Lời giải:
a. Chọn B

Bài 7 trang 58 SGK Vật Lý 10
Phân tích lực

Bài 8 trang 58 SGK Vật Lý 10
Một vật có trọng lượng P = 20 N được treo vào một vòng nhẫn O (coi là chất điểm). Vòng nhẫn được giữ yên bằng hai dây OA và OB (hình 9.11). Biết dây OA nằm ngang và hợp vơi dây OB một góc 1200. Tìm lực căng của hai dây OA và OB.
Lời giải:
Hình vẽ và hình biểu diễn lực:

Bài 9 trang 58 SGK Vật Lý 10
Em hãy đứng vào giữa hai chiếc bàn đặt gần nhau, mỗi tay đặt lên một bàn rồi dùng sức chống tay để nâng người lên khỏi mặt đất. Em hãy làm lại như thế vài lần, mỗi lần đẩy hai bàn tay ra xa nhau một chút. Hãy báo cáo kinh nghiệm mà em thu được.
Lời giải:
Hai bàn càng ra xa, để nâng được người lên khỏi mặt đất, lực chống ở hai bàn tay càng phải lớn hơn. Vì: Với lực chống hai tay không đổi giữa góc hợp lực càng tăng thì hợp lực nhỏ đi, không đủ lớn để nâng người lên được.
Trên đây VnDoc.com vừa gửi tới bạn đọc bài viết Giải bài tập Vật lý 10 bài 9: Tổng hợp và phân tích lực. Điều kiện cân bằng của chất điểm. Mời các bạn cùng tham khảo thêm một số tài liệu học tập được chúng tôi biên soạn và tổng hợp tại các mục sau: Toán lớp 10, Hóa học lớp 10...
- Giải bài tập Vật lý 10 bài 5: Chuyển động tròn đều
- Giải bài tập Vật lý 10 bài 6: Tính tương đối của chuyển động. Công thức cộng vận tốc
- Giải bài tập Vật lý 10 bài 7: Sai số của phép đo các đại lượng vật lý
- Giải bài tập Vật lý 10 bài 8: Thực hành - Khảo sát chuyển động rơi tự do. Xác định gia tốc rơi tự do
- Giải bài tập Vật lý 10 bài 10: Ba định luật Niu-tơn
- Giải bài tập Vật lý 10 bài 11: Lực hấp dẫn. Định luật vạn vật hấp dẫn