Giải bài tập Vật lý 10 bài 10: Ba định luật Niu-tơn
Giải bài tập Vật lý 10 bài 10
- Bài 1 trang 64 SGK Vật Lý 10
- Bài 2 trang 64 SGK Vật Lý 10
- Bài 3 trang 64 SGK Vật Lý 10
- Bài 4 trang 64 SGK Vật Lý 10
- Bài 5 trang 64 SGK Vật Lý 10
- Bài 6 trang 64 SGK Vật Lý 10
- Bài 7 trang 65 SGK Vật Lý 10
- Bài 8 trang 65 SGK Vật Lý 10
- Bài 9 trang 65 SGK Vật Lý 10
- Bài 10 trang 65 SGK Vật Lý 10
- Bài 11 trang 65 SGK Vật Lý 10
- Bài 12 trang 65 SGK Vật Lý 10
- Bài 13 trang 65 SGK Vật Lý 10
- Bài 14 trang 65 SGK Vật Lý 10
- Bài 15 trang 65 SGK Vật Lý 10
Giải bài tập Vật lý 10 bài 10: Ba định luật Niu-tơn là tài liệu hay đã được VnDoc.com tổng hợp để phục vụ các em học sinh học tập một cách hiệu quả hơn môn Vật lý lớp 10 bài 10. Mong rằng đây là tài liệu hữu ích giúp bạn đọc có thể học tập tốt hơn. Mời các bạn học sinh và thầy cô cùng tham khảo chi tiết bài viết dưới đây nhé.
Giải bài tập Vật lý 10 bài 10: Ba định luật Niu-tơn
Bài 1 trang 64 SGK Vật Lý 10
Phát biểu định luật I Niu – Tơn. Quán tính là gì?
Lời giải:
- Định luật I Niu - Tơn: Nếu mỗi vật không chịu tác dụng của lực nào hoặc chịu tác dụng của các lực có hợp lực bằng không, thì vật đang đứng yên sẽ tiếp tục đứng yên, đang chuyển động sẽ tiếp tục chuyển động thẳng đều.
Quán tính: là tính chất của mọi vật có xu hướng bảo toàn vận tốc cả về hướng và độ lớn.
Bài 2 trang 64 SGK Vật Lý 10
Phát biểu và viết hệ thức của định luật II Niu – tơn.
Lời giải:
Định luật II Niu – Tơn: Gia tốc của vật cùng hướng với lực tác dụng lên vật. Độ lớn của gia tốc tỉ lệ thuận với độ lớn của lực và tỉ lệ nghịch với khối lượng của vật.

Bài 3 trang 64 SGK Vật Lý 10
Nêu định luật và các tính chất của khối lượng.
Lời giải:
Tính chất của khối lượng:
- Khối lượng là một đại lượng vô hướng, dương và không đổi đối với mỗi vật.
- Khối lượng có tính chất cộng.
Bài 4 trang 64 SGK Vật Lý 10
Trọng lượng của một vật là gì? Viết công thức của trọng lực tác dụng lên một vật.
Lời giải:
Trọng lượng của một vật là lực hút của Trái Đất tác dụng vào vật, gây cho vật gia tốc rơi tự do.Độ lớn của trọng lực tác dụng lên một vật gọi là trọng lượng của vật.
Công thức của trọng lực tác dụng lên một vật:

Bài 5 trang 64 SGK Vật Lý 10
Phát biểu và viết hệ thức của định luật III Niu – Tơn.
Lời giải:
Định luật III Niu - Tơn: Trong mọi trường hợp, khi vật A tác dụng lên vật B một lực, thì vật B cũng tác dụng lên vật A một lực. Hai lực này có cùng giá, cùng độ lớn, ngược chiều nhưng đặt vào hai vật khác nhau:
\(F_{AB\ =\ -\ F_{AB}}\)
- Một trong hai lực trên gọi là lực tác dụng, thì lực kia gọi là phản lực.
- Lực và phản lực là hai lực trực đối không cân bằng.
Bài 6 trang 64 SGK Vật Lý 10
Nêu những đặc điểm của cặp "lực và phản lực" trong tương tác giữa hai vật.
Lời giải:
Đặc điểm của cặp "lực và phản lực" trong tương tác giữa hai vật là:
- Lực và phản lực là hai lực trực đối không cân bằng.
- Lực và phản lực luôn xuất hiện (hoặc mất đi) đồng thời.
- Lực và phản lực có cùng giá, cùng độ lớn nhưng ngược chiều, gọi là hai lực trực đối.
- Lực và phản lực không phải là hai lực cân bằng vì chúng đặt vào hai vật khác nhau.
Bài 7 trang 65 SGK Vật Lý 10
Một vật đang chuyển động với vận tốc 3 m/s. Nếu bỗng nhiên các lực tác dụng lên nó bị mất đi thì:
A. Vật dừng lại ngay
B. Vật đổi hướng chuyển động
C. Vật tiếp tục chuyển động chậm dần rồi mới dừng lại
D. Vật tiếp tục chuyển động theo hướng cũ với vận tốc 3 m/s.
Chọn đáp án đúng.
Lời giải:

Bài 8 trang 65 SGK Vật Lý 10
Câu nào đúng?
A. Nếu không chịu lực nào tác dụng thì mọi vật phải đứng yên .
B. Khi không còn lực nào tác dụng lên vật nữa, thì vật đang chuyển động sẽ lập tức dừng lại.
C. Vật chuyển động được là nhờ có lực tác dụng lên nó.
D. Khi thấy vận tốc của vật thay đổi chắc chắn là đã có lực tác dụng lên vật.
Lời giải:
Chọn D.
Bài 9 trang 65 SGK Vật Lý 10
Một vật đang nằm yên trên mặt bàn nằm ngang. Tại sao có thể khẳng định rằng bàn đã tác dụng một lực lên nó?
Lời giải:
Bàn tác dụng lên vật một lực cân bằng với trọng lực tác dụng lên vật làm cho hợp lực tác dụng lên vật bằng không, vật nằm yên.
Bài 10 trang 65 SGK Vật Lý 10
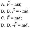
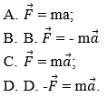
Trong các cách viết hệ thức của định luật II Niu - tơn sau đây, cách viết nào đúng?

Lời giải:
Chọn C.
Bài 11 trang 65 SGK Vật Lý 10
Một vật có khối lượng 8,0 kg trượt xuống một mặt phẳng nghiêng nhẵn với gia tốc 2,0 m/s2. Lực gây ra gia tốc này bằng bao nhiêu? So sánh độ lớn của lực này với trọng lượng của vật. Lấy g = 10 m/s2.
A. 1,6 N, nhỏ hơn
B. 16 N, nhỏ hơn
C. 160 N, lớn hơn
D. 4 N, lớn hơn.
Lời giải:
- Chọn B
- Chọn chiều dương là chiều chuyển động của vật.
Áp dụng định luật II Newton ta có:

=> Lực F nhỏ hơn trọng lực P.
Bài 12 trang 65 SGK Vật Lý 10
Một quả bóng, khối lượng 0,50 kg đang nằm yên trên mặt đất. Một cầu thủ đá bóng với một lực 250 N. Thời gian chân tác dụng vào bóng là 0,020 s. Quả bóng bay đi với tốc độ.
A. 0,01 m/s
B. 0,1 m/s
C. 2,5 m/s
D. 10 m/s.
Lời giải:
Chọn D
Áp dụng định luật II Niu-tơn ta có:

Bài 13 trang 65 SGK Vật Lý 10
Trong một tai nạn giao thông, một ô tô tải đâm vào một ô tô con đang chạy ngược chiều. Ô tô nào chịu lực lớn hơn? Ô tô nào nhận được gia tốc lớn hơn? Hãy giải thích.
Lời giải:
Nhiều bạn có thể nghĩ là ô tô con chịu lực lớn hơn. Nhưng thực tế thì hai xe đều chịu tác động lực giống nhau (theo định luật II Newton).
Ô tô nhỏ nhận được gia tốc lớn hơn vì gia tốc tỉ lệ thuận với lực tác dụng và tỉ lệ nghịch với khối lượng.
Bài 14 trang 65 SGK Vật Lý 10
Để xách một túi đựng thức ăn, một người tác dụng vào túi một lực bằng 40 N hướng lên trên. Hãy miêu tả "phản lực" (theo định luật III) bằng cách chỉ ra.
a. Độ lớn của phản lực.
b. Hướng của phản lực.
c. Phản lực tác dụng lên vật nào?
d. Vật nào gây ra phản lực này?
Lời giải:
a. Theo định luật III Newton
=> F21 = F12 = 40N
=> Độ lớn của phản lực là 40 N
b. Hướng xuống dưới (ngược với chiều người tác dụng).
c. Tác dụng vào tay người.
d. Túi đựng thức ăn.
Bài 15 trang 65 SGK Vật Lý 10
Hãy chỉ ra căp "lực và phản lực" trong các tình huống sau:
a. Ô tô đâm vào thanh chắn đường;
b. Thủ môn bắt bóng;
c. Gió đập vào cánh cửa.
Lời giải:
a. Lực mà ô tô tác dụng (đâm) vào thanh chắn, theo định luật III Niu-tơn, thanh chắn phản lại một lực tác dụng vào ô tô.
b. Lực mà thủ môn tác dụng vào quả bóng và phản lực của quả bóng tác dụng vào tay thủ môn.
c. Lực của gió tác dụng vào cánh cửa và phản lực của cánh cửa tác dụng vào gió.
VnDoc.com vừa gửi tới bạn đọc bài viết Giải bài tập Vật lý 10 bài 10: Ba định luật Niu-tơn, mời các bạn cùng tham khảo thêm một số tài liệu được chúng tôi biên soạn và tổng hợp tại các mục Toán lớp 10, Ngữ văn lớp 10...
- Giải bài tập Vật lý 10 bài 5: Chuyển động tròn đều
- Giải bài tập Vật lý 10 bài 6: Tính tương đối của chuyển động. Công thức cộng vận tốc
- Giải bài tập Vật lý 10 bài 8: Thực hành - Khảo sát chuyển động rơi tự do. Xác định gia tốc rơi tự do
- Giải bài tập Vật lý 10 bài 9: Tổng hợp và phân tích lực. Điều kiện cân bằng của chất điểm
- Giải bài tập Vật lý 10 bài 11: Lực hấp dẫn. Định luật vạn vật hấp dẫn
- Giải bài tập Vật lý 10 bài 12: Lực đàn hồi của lò xo. Định luật Húc