Giải bài tập Vật lý 10 bài 25: Động năng
Giải bài tập Vật lý 10 bài 25
VnDoc.com xin giới thiệu tới bạn đọc tài liệu: Giải bài tập Vật lý 10 bài 25: Động năng để bạn đọc cùng tham khảo. Bài viết được tổng hợp tài liệu kèm theo đáp án sẽ giúp các bạn học sinh lớp 10 nắm chắc hơn kiến thức bài 25 trang 136 SGK. Mời các bạn học sinh và thầy cô tham khảo chi tiết và tải về bài viết dưới đây nhé.
- Giải bài tập Vật lý 10 bài 21: Chuyển động tịnh tiến của vật rắn. Chuyển động quay của vật rắn quanh một trục cố định
- Giải bài tập Vật lý 10 bài 22: Ngẫu lực
- Giải bài tập Vật lý 10 bài 23: Động lượng. Định luật bảo toàn động lượng
- Giải bài tập Vật lý 10 bài 24: Công và Công suất
- Giải bài tập Vật lý 10 bài 26: Thế năng
Giải bài tập Vật lý 10 bài 25: Động năng
Bài 1 trang 136 SGK Vật Lý 10
Nêu định nghĩa và công thức của động năng
Lời giải:
Động năng: là dạng năng lượng của một vật có được do nó đang chuyển động,
công thức động năng:
\(W_d=\ \frac{1}{2}mv^2\)
Bài 2 trang 136 SGK Vật Lý 10
Khi nào động năng của vật
a. Biến thiên?
b. Tăng lên?
c. Giảm đi?
Lời giải
- Khi lực tác dụng lên vật sinh công dương (A > 0) thì động năng của vật tăng lên (Wđ2 > Wđ1).
- Ngược lại khi lực tác dụng lên vật sinh công âm (A < 0) thì động năng của vật giảm đi (Wđ2< Wđ1).
- Nói chung, khi lực sinh công thì động năng của vật biến thiên.
Bài 3 trang 136 SGK Vật Lý 10
Câu nào sai trong các câu sau?
Động năng của vật không đổi khi vật:
A. Chuyển động thẳng đều
B. Chuyển động với gia tốc không đổi
C. Chuyển động tròn đều
D. Chuyển động cong đều
Lời giải:
Chọn B. chuyển động có gia tốc không đổi là chuyển động thẳng biến đổi đều, vận tốc biến đổi tức động năng cũng biến đổi.
Bài 4 trang 136 SGK Vật Lý 10
Động năng của một vật tăng khi:
A. Gia tốc của vật a >0
B. Vận tốc của vật v >0
C. Các lực tác dụng lên vật sinh công dương
D. Gia tốc của vật tăng
Chọn đáp án đúng
Lời giải:
Chọn C.
Bài 5 trang 136 SGK Vật Lý 10
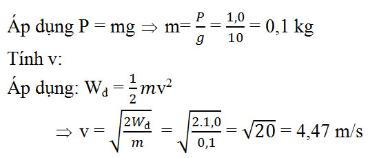
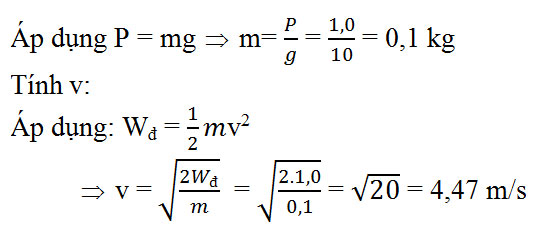
Một vật trọng lượng 1,0 N có động năng 1,0 J. Lấy g = 10 m/s2. Khi đó vận tốc của vật bằng bao nhiêu?
A. 0,45 m/s;
B. 1,0 m/s
C. 1,4 m/s;
D. 4,4 m/s
Lời giải:
- Chọn D
- Giải thích:
Tính m:

Bài 6 trang 136 SGK Vật Lý 10
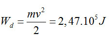
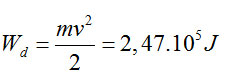
Một ô tô có khối lượng 1000 kg chuyển động với vận tốc 80 km/h. Động năng của ô tô có giá trị nào sau đây?
A. 2,52.104 J;
B. 2,47.105 J
C. 2,42.106 J;
D. 3,20.106 J
Lời giải:
- Chọn B.
Áp dụng công thức tính động năng:

Bài 7 trang 136 SGK Vật Lý 10
Tính động băng của một vận động viên có khối lượng 70 kg chạy đều hết quãng đường 400 m trong thời gian 45s.
Lời giải:

Bài 8 trang 136 SGK Vật Lý 10
Một vật khối lượng m = 2kg đang nằm yên trên một mặt phẳng ngang không ma sát. Dưới tác dụng cả lực nằm ngang 5N, vật chuyển động và đi được 10m. Tính vận tốc của vật ở cuối chuyển dời ấy.
Lời giải:
Gọi v2 là vận tốc cuối, v1 là vận tốc ban đầu
Từ công thức:

Vậy vận tốc cuối chuyển dời của vật là 7,1 m/s.
VnDoc.com vừa gửi tới bạn đọc bài viết Giải bài tập Vật lý 10 bài 25: Động năng. Chắc hẳn qua bài viết bạn đọc đã nắm được những ý chính cũng như trau dồi được nội dung kiến thức của bài học rồi đúng không ạ? Bài viết cho chúng ta thấy được lời giải của các bài tập trong sách giáo khoa môn Vật lý lớp 10 bài 25 về Động Năng. Hi vọng qua bài viết bạn đọc có thể học tập tốt hơn môn Vật lý lớp 10 nhé. Để giúp bạn đọc có thêm nhiều tài liệu học tập hơn nữa, VnDoc.com mời bạn đọc cùng tham khảo thêm một số tài liệu học tập các môn được chúng tôi biên soạn và tổng hợp tại các mục sau: Toán lớp 10, Hóa học lớp 10...