Giải bài tập Vật lý 10 bài 36: Sự nở vì nhiệt của vật rắn
Giải bài tập Vật lý 10 bài 36
Giải bài tập Vật lý 10 bài 36: Sự nở vì nhiệt của vật rắn là tài liệu hay dành cho các bạn học sinh lớp 10 tham khảo để học tốt hơn môn Vật lý, tài liệu sẽ giúp các bạn học sinh học tập một cách hiệu quả hơn. Mời các bạn học sinh và thầy cô tham khảo chi tiết và tải về bài viết dưới đây nhé.
- Giải bài tập Vật lý 10 bài 32: Nội năng và sự biến thiên nội năng
- Giải bài tập Vật lý 10 bài 33: Các nguyên lí của nhiệt động lực học
- Giải bài tập Vật lý 10 bài 34: Chất rắn kết tinh. Chất rắn vô định hình
- Giải bài tập Vật lý 10 bài 35: Biến dạng cơ của vật rắn
- Giải bài tập Vật lý 10 bài 37: Các hiện tượng bề mặt của chất lỏng
Giải bài tập Vật lý 10 bài 36: Sự nở vì nhiệt của vật rắn
Bài 1 (trang 197 SGK Vật Lý 10): Phát biểu và viết công thức nở dài của vật rắn.
Lời giải:
Độ nở dài Δl của vật rắn (hình trụ, đồng chất) tỉ lệ thuận với độ tăng nhiệt độ Δt và chiều dài ban đầu lo của vật đó.
Δl = l - lo = αloΔt (công thức nở dài của vật rắn).
Bài 2 (trang 197 SGK Vật Lý 10): Viết công thức xác định quy luật phụ thuộc nhiệt độ của độ dài vật rắn.
Lời giải:
Công thức xác định quy luật phụ thuộc nhiệt độ của độ dài vật rắn:
l = lo(1 + αδt)
Bài 3 (trang 197 SGK Vật Lý 10): Viết công thức xác định quy luật phụ thuộc nhiệt độ của thể tích vật rắn.
Lời giải:
Công thức xác định quy luật phụ thuộc nhiệt độ của thể tích vật rắn:
V = Vo(1 + βΔt) với β = 3α
Bài 4 (trang 197 SGK Vật Lý 10): Tại sao khi đổ nước sôi vào trong cốc thủy tinh thì cốc thủy tinh hay bị nứt vỡ, còn cốc thạch anh không bị nứt vỡ?
A. Vì cốc thạch anh có thành dày hơn
B. Vì cốc thạch anh có đáy dày hơn
C. Vì thạch anh cứng hơn thủy tinh
D. Vì thạch anh có hệ số nở khối nhỏ hơn thủy tinh
Lời giải:
Chọn D.
Bài 5 (trang 197 SGK Vật Lý 10): Một thước thép ở 20o C có độ dài 1000 mm. Khi nhiệt độ tăng đến 40o C, thước thép này dài thêm bao nhiêu?
A. 2,4 mm
B. 3,2 mm
C. 0,242 mm
D. 4,2 mm
Lời giải:
- Chọn C.
- Áp dụng công thức Δl = l - lo = αloΔt, ta được:
Δl = 11.106.1.(40 - 20) = 220.10-6 (m) = 0,22 mm
Bài 6 (trang 197 SGK Vật Lý 10): Khối lượng riêng của sắt ở 800o C bằng bao nhiêu? Biết khối lượng riêng của nó ở 0o C là 7,800.103 kg/m3.
A. 7,900.103 kg/m3
B. 7,599.103 kg/m3
C. 7,857.103 kg/m3
D. 7,485.103 kg/m3
Lời giải:
Chọn B.
Ta có:

Bài 7 (trang 197 SGK Vật Lý 10): Một dây tải điện ở 20oC có độ dài 1 800 m. Hãy xác định độ nở dài của dây tải điện này khi nhiệt độ tăng lên đến 50o C về mùa hè. Cho biết hệ số nở dài của dây tải điện là α = 11,5.10(-6) K(-1).
Lời giải:
t1 = 20o C, l1 = 1800 m
t2 = 50o C
α = 11,5.10-6 (k-1)
Δl = ?
Áp dụng công thức:
Δl = αl1Δt
Δl = 11,5.10-6.1800.(50 - 20) = 0,621 m
Vậy độ nở dài của dây tải điện là Δl = 0,621 (m)
Bài 8 (trang 197 SGK Vật Lý 10): Mỗi thanh ray của đường sắt ở nhiệt độ 15o C có độ dài là 12,5 m. Nếu hai đầu các thanh ray khi đó chỉ đặt cách nhau 4,50 mm, thì các thanh ray này có thể chịu được nhiệt độ lớn nhất bằng bao nhiêu để chúng không bị uốn cong do tác dụng nở vì nhiệt? Cho biết hệ số nở dài của mỗi thanh ray là α = 12. 10-6 (k-1).
Lời giải:
t1 = 15oC
l1 = 12,5 m
Δl = 4,5 mm
α = 11,5.10-6 (k-1)
t = ?
Áp dụng công thức:
Δl = αl1Δt
![]()
Mà Δt = t2 - t1 => t2 = Δt + t1 = 45o
Vậy thanh ray chịu được nhiệt độ lớn nhất để không bị uốn cong là:
tmax = t2 = 45o
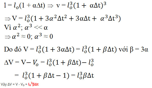
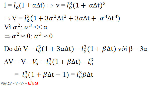
Bài 9 (trang 197 SGK Vật Lý 10): Xét một vật rắn đồng chất, đẳng hướng và có dạng khối lập phương. Hãy chứng minh độ tăng thể tích ΔV của vật rắn này khi bị nung nóng từ nhiệt độ đầu to đến nhiệt độ t được xác định bởi công thức:
ΔV = V - Vo = βVoΔt
Với Vo và V lần lượt là thể tích của vật rắn ở nhiệt độ đầu to và nhiệt độ cuối t, Δt = t - to, β ≈ 3α (α là hệ số nở dài của vật rắn này).
Chú ý: α2 và α3 rất nhỏ so với α.
Lời giải:
- Ở too C cạnh hình lập phương là lo
=> Thể tích khối lập phương là vo= lo3
- Ở to C cạnh hình lập phương là l
=> Thể tích khối lập phương là v = l3
Mặt khác ta có:

Trên đây VnDoc.com vừa gửi tới bạn đọc bài viết Giải bài tập Vật lý 10 bài 36: Sự nở vì nhiệt của vật rắn. Chắc hẳn qua bài viết bạn đọc đã nắm được những ý chính cũng như trau dồi được nội dung kiến thức của bài học rồi đúng không ạ? Hi vọng qua bài viết bạn đọc có thêm nhiều tài liệu để học tập tốt hơn môn Vật lý lớp 10 nhé. Mời các bạn cùng tham khảo thêm các môn Toán lớp 10, Hóa học lớp 10...