Giải bài tập Vật lý 10 bài 11: Lực hấp dẫn. Định luật vạn vật hấp dẫn
Giải bài tập Vật lý 10 bài 11
VnDoc.com xin giới thiệu tới bạn đọc tài liệu: Giải bài tập Vật lý 10 bài 11: Lực hấp dẫn. Định luật vạn vật hấp dẫn. Tài liệu sẽ giúp các bạn học sinh rèn luyện cách giải nhanh các bài tập Vật lý một cách hiệu quả nhất. Mời các bạn và thầy cô tham khảo chi tiết bài viết dưới đây nhé.
Giải bài tập Vật lý 10 bài 11: Lực hấp dẫn. Định luật vạn vật hấp dẫn
Bài 1 trang 69 SGK Vật Lý 10
Phát biểu định luật vạn vật hấp dẫn và viết hệ thức của lực hấp dẫn.
Lời giải:
Định luật vạn vật hấp dấn: Lực hấp dẫn giữa hai chất điểm bất kì tỉ lệ thuận với tích hai khổi lượng của chúng và tỉ lệ nghịch với bình phương khoảng cách giữa chúng:

Bài 2 trang 69 SGK Vật Lý 10
Nêu định nghĩa trọng tâm của vật.
Lời giải:
Trọng tâm của một vật là điểm đặt của trọng lực của vật đó.
Bài 3 trang 69 SGK Vật Lý 10Tại sao gia tốc rơi tự do và trọng lượng của vật càng lên cao thì càng giảm.
Lời giải:
Công thức gia tốc rơi tự do:
\(g\ =\ \frac{GM}{\left(R\ +h\right)^2}\)
Từ công thức trên ra thấy h tỉ lệ nghịch với g nên càng lên cao (h tăng) thì g càng giảm.
Trọng lượng của vật:
P = G =
\(\frac{mM}{\left(R+h\right)^2}\)
Từ công thức trên ra thấy h tỉ lệ nghịch với P nên càng lên cao (h tăng) thì P càng giảm.
Bài 4 trang 69 SGK Vật Lý 10
Một vật khối lượng 1 kg, ở trên mặt đất có trọng lượng 10 N. Khi chuyển vật tới một điểm cách tâm Trái Đất 2R (R là bán kính Trái Đất) thì nó có trọng lượng bằng bao nhiêu?
A. 1 N
B. 2,5 N
C. 5 N
D. 10 N
Lời giải:
Chọn B.

Bài 5 trang 70 SGK Vật Lý 10
Hai tàu thủy, mỗi chiếc có khối lượng 50 000 tấn ở cách nhau 1 km. Lấy g=10 m/s2. So sánh lực hấp dẫn giữa chúng với trọng lượng của một quả cân có khối lượng 20 g.
A. Lớn hơn
B. Bằng nhau
C. Nhỏ hơn
D. Chưa thể biết
Lời giải:
Chọn C.
Lực hấp dẫn giữa 2 chiếc tàu thủy:

Vậy F < P
Bài 6 trang 70 SGK Vật Lý 10
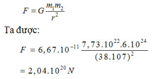
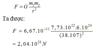
Trái Đất hút Mặt Trăng với một lực bằng bao nhiêu? Cho biết khoảng cách giữa Mặt Trăng và Trái Đất là R = 38.107 m, khối lượng của Mặt Trăng m = 7,37.1022 kg, khối lượng của Trái Đất M = 6,0.1024 kg. Kích thước của Trái Đất và Mặt Trăng là rất nhỏ so với khoảng cách giữa chúng.
Lời giải:
Áp dụng công thức:

Bài 7 trang 70 SGK Vật Lý 10
Tính trọng lượng của một nhà du hành vũ trụ có khối lượng 75 kg khi người đó ở
a. Trên Trái Đất (lấy g = 9,80 m/s2)
b. Trên Mặt Trăng (lấy gmt = 1,70 m/s2)
c. Trên Kim Tinh (lấy gkt = 8,7 m/s2).
Lời giải:
a. Trọng lượng của nhà du hành ở trên Trái Đất là:
P = mg = 75.9,8 = 735 (N)
b. Trọng lượng của nhà du hành ở trên Mặt Trăng là:
Pmt = mgmt = 75.1,70 = 127,5 (N)
c. Trọng lượng của nhà du hành ở trên Kim Tinh là:
Pkt = mgkt = 75.8,7 = 652,5 (N)
Trên đây VnDoc.com vừa gửi tới bạn đọc bài viết Giải bài tập Vật lý 10 bài 11: Lực hấp dẫn. Định luật vạn vật hấp dẫn. Mời các bạn cùng tham khảo thêm một số tài liệu các môn: Toán lớp 10, Hóa học lớp 10...
- Giải bài tập Vật lý 10 bài 7: Sai số của phép đo các đại lượng vật lý
- Giải bài tập Vật lý 10 bài 8: Thực hành - Khảo sát chuyển động rơi tự do. Xác định gia tốc rơi tự do
- Giải bài tập Vật lý 10 bài 9: Tổng hợp và phân tích lực. Điều kiện cân bằng của chất điểm
- Giải bài tập Vật lý 10 bài 10: Ba định luật Niu-tơn
- Giải bài tập Vật lý 10 bài 12: Lực đàn hồi của lò xo. Định luật Húc