Giải Vật lý 10 bài 6: Tính tương đối của chuyển động. Công thức cộng vận tốc
Để giúp các bạn học sinh rèn luyện cách giải nhanh các bài tập Vật lý trong SGK trang 37, 38, VnDoc.com đã tổng hợp bộ câu hỏi bài tập kèm theo đáp án chắc chắn sẽ giúp các bạn học sinh học tập hiệu quả hơn môn Vật lý. Mời các bạn và thầy cô tham khảo chi tiết bài viết dưới đây nhé.
Giải Vật lý 10 bài 6
Bài 1 trang 37 SGK Vật Lý 10
Nêu một ví dụ về tính tương đối của quỹ đạo của chuyển động.
Lời giải:
Trời không có gió, người đứng yên bên đường thấy giọt mưa rơi theo quĩ đạo là đường thẳng, người ngồi trên ô tô đang chuyển động thấy giọt mưa rơi theo phương xiên.
Bài 2 trang 37 SGK Vật Lý 10
Nêu một ví dụ về tính tương đối của vận tốc của chuyển động.
Lời giải:
Ví dụ:
Một người ngồi yên trên một cano. Cano đang chuyển động đối với bờ sông, nên người chuyển động đối với bờ sông.
Một người đứng yên trên mặt đất, nhưng đối với Mặt Trời thì người ấy đang chuyển động…
Bài 3 trang 37 SGK Vật Lý 10
Trình bày công thức cộng vận tốc trong trường hợp các chuyển động cùng phương, cùng chiều ( cùng phương và ngược chiều).
Lời giải:
Cùng phương, cùng chiều (cùng phương, ngược chiều):

Bài 4 trang 37 SGK Vật Lý 10
Chọn câu khẳng định đúng. Đứng ở Trái Đất, ta sẽ thấy
A. Mặt Trời đứng yên, Trái Đất quay quanh Mặt Trời, Mặt Trăng quay quanh Trái Đất.
B. Mặt Trời và Trái Đất đứng yên, Mặt Trăng quay quanh Trái Đất.
C. Mặt Trời đứng yên, Trái Đất và Mặt Trăng quay quanh Mặt Trời
D. Trái Đất đứng yên, Mặt Trời và Mặt Trăng quay quanh Trái Đất.
Lời giải:
Chọn D.
Bài 5 trang 38 SGK Vật Lý 10
Một chiếc thuyền buồm chạy ngước dòng sông, sau 1 giờ đi được 10km. Một khúc gỗ trôi theo dòng sông, sau 1 phút trôi được 100/3 km. Vận tốc của thuyền buồm so với nước bằng bao nhiêu?
A. 8 km/h
B. 10 km/h
C. 12 km/h
D. Một đáp án khác.
Lời giải:
- Chọn C
- Gọi:
Thuyền là số 1
Nước là số 2
Bờ là số 3
Ta có:
Vận tốc của thuyền so với bờ là:

Bài 6 trang 38 SGK Vật Lý 10
Một hành khách ngồi trong toa tàu H, nhìn qua cửa sổ thấy toa tàu N bên cạnh và gạch lát sân ga đều chuyển động như nhau. Hỏi toa tàu nào chạy?
A. Tàu H đứng yên, tàu N chạy.
B. Tàu H chạy, tàu N đứng yên.
C. Cả hai tàu đều chạy.
D. Các câu A, B, C đều không đúng.
Lời giải:
Chọn B.
Tàu H chạy, tàu N đứng yên.
Bài 7 trang 38 SGK Vật Lý 10
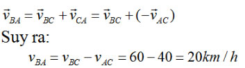
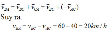
Một ô tô A chạy đều trên một đường thẳng với vận tốc 40 km/h. Một ô tô B đuổi theo ô tô A với vận tốc 60 km/h. Xác định vận tốc của ô tô B đối với ô tô A và của ô tô A đối với ô tô B.
Lời giải:
Gọi vị trí mà ô tô B đuổi kịp ô tô A là vị trí C.
Chọn chiều chuyển động của 2 xe là chiều dương.
Ta có công thức vận tốc dưới dạng vector như sau:

Vậy, vận tốc của ô tô B so với ô tô A là 20km/h. Vận tốc của ô tô A so với ô tô B là -20km/h.
Bài 8 trang 38 SGK Vật Lý 10
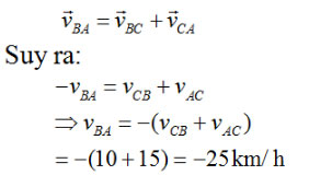
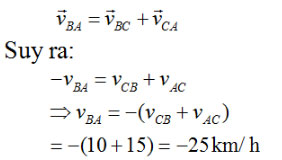
A ngồi trên một toa tàu chuyển động với vận tốc 15 km/h đang rời ga. B ngồi trên một toa tàu khác chuyển động với vận tốc 10 km/h đang vào ga. Hai đường tàu song song với nhau. Tính vận tốc của B đối với A.
Lời giải:
Gọi vị trí mà tàu trở A, B qua nhau là C.
Chọn chiều chuyển động của tàu mà bạn A ngồi là chiều dương quy ước.
Ta có công thức dưới dạng vector như sau:

Vậy vận tốc của B đối với A là -25km/h.
- Giải bài tập Vật lý lớp 10 bài 2: Chuyển động thẳng đều
- Giải bài tập Vật lý 10 bài 3: Chuyển động thẳng biến đổi đều
- Giải bài tập Vật lý 10 bài 4: Sự rơi tự do
- Giải bài tập Vật lý 10 bài 5: Chuyển động tròn đều
Bài tiếp theo: Giải Vật lý 10 bài 7: Sai số của phép đo các đại lượng vật lý
Trên đây VnDoc.com vừa gửi tới bạn đọc bài viết Giải Vật lý 10 bài 6: Tính tương đối của chuyển động. Công thức cộng vận tốc. Mong rằng qua bài viết này bạn đọc có thêm nhiều tài liệu để học tập môn Vật lí lớp 10 nhé. Mời các bạn cùng tham khảo thêm các môn Toán lớp 10, Hóa học lớp 10...
Để giúp bạn đọc có thể giải đáp những thắc mắc trong học tập, VnDoc.com mời bạn đọc cùng đặt câu hỏi tại mục hỏi đáp, chúng tôi sẽ giải đáp câu hỏi và những thắc mắc một cách nhanh và chính xác nhất.