Giải bài tập Vật lý 10 bài 3: Chuyển động thẳng biến đổi đều
VnDoc.com xin giới thiệu tới bạn đọc tài liệu: Giải bài tập Vật lý 10 bài 3: Chuyển động thẳng biến đổi đều, tài liệu sẽ giúp các bạn học sinh rèn luyện cách giải nhanh bài tập Vật lý lớp 10 trang 22 SGK. Hi vọng đây là tài liệu hữu ích giúp bạn đọc học tập tốt hơn và hiệu quả hơn. Mời các bạn và thầy cô tham khảo chi tiết.
Giải bài tập Vật lý 10 bài 3
- Giải bài tập Vật lý 10 bài 3: Chuyển động thẳng biến đổi đều
- Giải vật lý 10 bài 1 (trang 22 SGK Vật Lý 10)
- Giải vật lý 10 bài 2 (trang 22 SGK Vật Lý 10)
- Giải vật lý 10 bài 3 (trang 22 SGK Vật Lý 10)
- Giải vật lý 10 bài 4 (trang 22 SGK Vật Lý 10)
- Giải vật lý 10 bài 5 (trang 22 SGK Vật Lý 10)
- Giải vật lý 10 bài 6 (trang 22 SGK Vật Lý 10)
- Giải vật lý 10 bài 7 (trang 22 SGK Vật Lý 10)
- Giải vật lý 10 bài 8 (trang 22 SGK Vật Lý 10)
- Giải vật lý 10 bài 9 (trang 22 SGK Vật Lý 10)
- Giải vật lý 10 bài 10 (trang 22 SGK Vật Lý 10)
- Giải vật lý 10 bài 11 (trang 22 SGK Vật Lý 10)
- Giải vật lý 10 bài 12 (trang 22 SGK Vật Lý 10)
- Giải vật lý 10 bài 13 (trang 22 SGK Vật Lý 10)
- Giải vật lý 10 bài 14 (trang 22 SGK Vật Lý 10)
- Giải vật lý 10 bài 15 (trang 22 SGK Vật Lý 10)
- Giải bài tập Vật lý lớp 10 bài 1: Chuyển động cơ
- Giải bài tập Vật lý lớp 10 bài 2: Chuyển động thẳng đều
- Giải bài tập Vật lý 10 bài 4: Sự rơi tự do
Giải bài tập Vật lý 10 bài 3: Chuyển động thẳng biến đổi đều
Giải vật lý 10 bài 1 (trang 22 SGK Vật Lý 10)
Bài 1 (trang 22 SGK Vật Lý 10): Viết công thức tính vận tốc tức thời của một vật chuyển động tại một điểm trên quỹ đạo. Cho biết yêu cầu về độ lớn của các đại lượng trong công thức đó.
Lời giải:
Công thức vận tốc tức thời
\(v\ =\ \frac{\triangle s}{\triangle t}\)
Với
\(\triangle s\) độ dời rất nhỏ trong thời gian rất ngắn
\(\triangle t\)
Giải vật lý 10 bài 2 (trang 22 SGK Vật Lý 10)
Bài 2 (trang 22 SGK Vật Lý 10): Vecto vận tốc tức thời tại một điểm của một chuyển động thẳng đều được xác định:
Lời giải:
- Điểm đặt: đặt vào vật chuyển động
- Hướng: là hướng của chuyển động
- Độ dài: tỉ lệ với độ lớn của vận tốc tức thời theo một tỉ lệ xích quy ước.
Giải vật lý 10 bài 3 (trang 22 SGK Vật Lý 10)
Bài 3 (trang 22 SGK Vật Lý 10): Chuyển động thẳng nhanh dần đều, chậm dần đều là gì?
Lời giải:
+ Chuyển động thẳng nhanh dần đều là chuyển động thẳng có độ lớn của vận tốc tức thời tăng dần theo thời gian.
+ Chuyển động thẳng chậm dần đều là chuyển động thẳng có độ lớn của vận tốc tức thời giảm dần theo thời gian.
Giải vật lý 10 bài 4 (trang 22 SGK Vật Lý 10)
Bài 4 (trang 22 SGK Vật Lý 10): Viết công thức tính vận tốc của chuyển động thẳng nhanh, chậm dần đều. Nói rõ dấu của các loại đại lượng tham gia vào công thức đó.
Lời giải:
Công thức: v = vo + at
+ Dấu của vo: Tùy thuộc vào cách chọn gốc tọa độ. Nếu chuyển động cùng chiều dương với trục tọa độ đã chọn thì vo > 0, và ngược lại.
+ Dấu của gia tốc a:
- Chuyển động thẳng nhanh dần đều thì a cùng dấu với vo.
- Chuyển động thẳng chậm dần đều thì a trái dấu với vo.
Giải vật lý 10 bài 5 (trang 22 SGK Vật Lý 10)
Bài 5 (trang 22 SGK Vật Lý 10): Gia tốc của chuyển động thẳng nhanh, chậm dần đều có đặc điểm gì? Gia tốc được đo bằng đơn vị nào? Chiều của vector gia tốc của các chuyển động này có đặc điểm gì?
Lời giải:
+ Gia tốc là đại lượng đặc trưng cho chuyển động thẳng nhanh, chậm dần đều. Gia tốc là đại lượng vector có điểm đặt, phương, chiều và độ lớn.
+ Gia tốc được đo bằng đơn vị: m/s2.
+ Đặc điểm của chiều của vector gia tốc:
av > 0 ⇒ Chuyển động thẳng nhanh dần đều.
av < 0 ⇒ Chuyển động thẳng chậm dần đều.
Giải vật lý 10 bài 6 (trang 22 SGK Vật Lý 10)
Bài 6 (trang 22 SGK Vật Lý 10) : Viết công thức tính quãng đường đi được của chuyển động thẳng nhanh, chậm dần đều. Nói rõ dấu của các đại lượng tham gia vào công thức đó. Quãng đường đi được trong các chuyển động này phụ thuộc vào thời gian theo hàm số dạng gì?
Lời giải:
Công thức tính quãng đường đi:
\(S=\ v_0t+\frac{at^2}{2}\)
+ Chuyển động theo chiều (+) thì vo > 0.
+ Nhanh dần đều: a.v > 0 tức a cùng dấu với vo và v.
+ Chậm dần đều: a.v < 0 tức a trái dấu với vo và v.
Nhận xét: Quãng đường đi được trong các chuyển động thẳng biến đổi đều phụ thuộc vào thời gian theo hàm số bậc hai.
Giải vật lý 10 bài 7 (trang 22 SGK Vật Lý 10)
Bài 7 (trang 22 SGK Vật Lý 10): Viết phương trình chuyển động của chuyển động thẳng nhanh, chậm dần đều.
Lời giải:
Phương trình chuyển động cảu chuyển động thẳng nhanh, chậm dần đều:
\(x\ =\ x_o+v_ot\ +\frac{at^2}{2}\)
Với xo: tọa độ ban đầu của vật
Giải vật lý 10 bài 8 (trang 22 SGK Vật Lý 10)
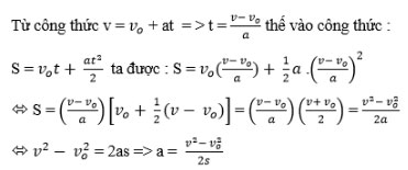
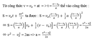
Bài 8 (trang 22 SGK Vật Lý 10): Thiết lập công thức tính gia tốc của chuyển động thẳng biến đổi đều theo vận tốc và quãng đường đi được.
Lời giải:

Giải vật lý 10 bài 9 (trang 22 SGK Vật Lý 10)
Bài 9 (trang 22 SGK Vật Lý 10): Câu nào đúng?
A. Gia tốc của chuyển động thẳng nhanh dần đều bao giờ cũng lớn hơn gia tốc của chuyển động thẳng chậm dần đều.
B. Chuyển động thẳng nhanh dần đều có gia tốc lớn thì có vận tốc lớn.
C. Chuyển động thẳng biến đổi đều có gia tốc tăng, giảm đều theo thời gian.
D. Gia tốc trong chuyển động thẳng nhanh dần đều có phương, chiều và độ lớn không đổi.
Lời giải:
Chọn C.
Vì gia tốc là đại lượng đặc trưng cơ bản mô tả cho chuyển động.
Giải vật lý 10 bài 10 (trang 22 SGK Vật Lý 10)
Bài 10 (trang 22 SGK Vật Lý 10): Trong công thức tính vận tốc của chuyển động thẳng nhanh dần đều v = vo= at thì
A. v luôn luôn dương.
B. a luôn luôn dương.
C. a luôn luôn cùng dấu với v.
D. a luôn luôn ngược dấu với v.
Lời giải:
Chọn C.
a luôn luôn cùng chiều với v tức a.v > 0. Trong chậm dần đều a.v < 0.
Giải vật lý 10 bài 11 (trang 22 SGK Vật Lý 10)
Bài 11 (trang 22 SGK Vật Lý 10): Công thức nào dưới đây là công thức liên hệ giữa vận tốc, gia tốc và quãng đường đi được của chuyển động thẳng nhanh dần đều?
A.
\(v+v_o=\ \sqrt{2as}\)
B.
\(v^2-v_o^2\ =\ 2as\)
C.
\(v^{^{\ }}-v_o^{ }=\sqrt{2as}\)
D.
\(v^2+\ v_o^2\ =\ 2as\)
Lời giải:
Chọn D.
Giải vật lý 10 bài 12 (trang 22 SGK Vật Lý 10)
Bài 12 (trang 22 SGK Vật Lý 10): Một đoàn tàu rời ga chuyển động thẳng nhanh dần đều. Sau 1 phút tàu đạt tốc độ 40 km/h.
a) Tính gia tốc của đoàn tàu .
b) Tính quãng đường mà tàu đi được trong 1 phút.
c) Nếu tiếp tục tăng tốc như vậy thì sau bao lâu nữa tàu sẽ đạt tốc độ 60 km/h.
Lời giải:

Giải vật lý 10 bài 13 (trang 22 SGK Vật Lý 10)
Bài 13 (trang 22 SGK Vật Lý 10): Một ô tô đang chạy thẳng đều với tốc độ 40 km/h bỗng tăng chuyển động nhanh dần đều. Tính gia tốc của xe, biết rằng sau khi chạy được quãng đường 1 km thì ô tô đạt tốc độ 60 km/h.
Lời giải:
vo = 36 km/h = 10 m/s
s = 20m
v = 60km/h
áp dụng công thức liên hệ gia tốc, vận tốc và quãng đường
\(v^2-v_o^2\ =\ 2as\)
\(a\ =\ \frac{60^2-40^2\ }{2.1}=\ 1000km\left(h^{^2}\right)\)
a = 0,077 m/s2
Giải vật lý 10 bài 14 (trang 22 SGK Vật Lý 10)
Bài 14 (trang 22 SGK Vật Lý 10): Một đoàn tàu đang chạy với tốc độ 40 km/h thì hãm phanh, chuyển động thẳng chậm dần đều để vào ga. Sau 2 phút thì tàu dừng lại ở sân ga.
a) Tính gia tốc của đoàn tàu.
b) Tính quãng đường mà tàu đi được trong thời gian hãm phanh.
Lời giải:
a) Tính gia tốc của đoàn tàu.
b) Tính quãng đường mà tàu đi được trong thời gian hãm phanh.
Lời giải:

Giải vật lý 10 bài 15 (trang 22 SGK Vật Lý 10)
Bài 15 (trang 22 SGK Vật Lý 10): Một xe máy đang đi với tốc độ 36 km/h bỗng người lái xe thấy có một cái hố trước mặt, cách xe 20 m. Người ấy phanh gấp và xe đến sát miệng hố thì dừng lại.
a) Tính gia tốc của xe.
b) Tính thời gian hãm phanh.
Lời giải:
Từ đề bài, ta có:
vo = 36 km/h = 10 m/s
s = 20 m
v = 0 m/s thì vật dừng.

Giải bài tập Vật lý 10 bài 3: Chuyển động thẳng biến đổi đều trên đây được VnDoc hướng dẫn trên đây kèm lời giải chi tiết cho các bạn đánh giá so sánh. Bài viết giúp bạn đọc rèn luyện được cách tính gia tốc của xe, cách tích thời gian xe dừng, cách tính thời gian xe đi được trong khoảng thời gian hãm phanh, cách tính thời gian xe đi được trong một khoảng thời gian nhất định... hy vọng tài liệu này sẽ giúp ích cho các bạn học tốt môn Vật lý lớp 10 này. Mời các bạn cùng tham khảo
- Bài tập Vật lý lớp 10: Chuyển động thẳng biến đổi đều
- Giải bài tập Vật lý lớp 10 bài 2: Chuyển động thẳng đều
- Giải bài tập Vật lý 10 bài 3: Chuyển động thẳng biến đổi đều
- Giải bài tập Vật lý lớp 10 bài 1: Chuyển động cơ
.............................................
Trên đây VnDoc đã giới thiệu tới các bạn Giải bài tập Vật lý 10 bài 3: Chuyển động thẳng biến đổi đều. Chắc hẳn qua bài viết bạn đọc đã nắm được những nội dung chính của bài học rồi đúng không ạ. Mong rằng qua bài viết này bạn đọc có thêm nhiều tài liệu để học tập. Để có kết quả cao hơn trong học tập, VnDoc xin giới thiệu tới các bạn học sinh một số tài liệu Giải bài tập Toán 10, Giải bài tập Vật Lí 10, Giải bài tập Sinh học 10, Giải bài tập Hóa học 10, Tài liệu học tập lớp 10 mà VnDoc tổng hợp và đăng tải.