Trắc nghiệm Vật lý 10 chương 4: Cơ năng
Bài tập trắc nghiệm Vật lý 10 chương 4
VnDoc.com xin giới thiệu tới bạn đọc tài liệu: Trắc nghiệm Vật lý 10 chương 4: Cơ năng, bộ tài liệu gồm 15 câu hỏi trắc nghiệm kèm theo lời giải chi tiết sẽ giúp các bạn học sinh rèn luyện cách giải bài tập Vật lý 10 hiệu quả hơn. Mời các bạn học sinh và thầy cô tham khảo.
Trắc nghiệm Vật lý 10: Ôn tập cuối chương 3
Đề kiểm tra học kì 1 Vật Lí 10 (đề số 1)
Trắc nghiệm Vật lý 10 chương 4: Định luật bảo toàn động lượng
Trắc nghiệm Vật lý 10 chương 4: Động năng
Trắc nghiệm Vật lý 10 chương 4: Cơ năng
Câu 1: Một vật được thả rơi tự do, trong quá trình rơi
A. Động năng của vật không đổi.
B. Thế năng của vật không đổi.
C. Tổng động năng và thế năng của vật không thay đổi.
D. Tổng động năng và thế năng của vật luôn thay đổi.
Câu 2: Một vận động viên trượt tuyết từ trên vách núi trượt xuống, tốc độ trượt mỗi lúc một tăng. Như vậy đối với vận động viên?
A. Động năng tăng, thế năng tăng.
B. Động năng tăng, thế năng giảm.
C. Động năng không đổi, thế năng giảm.
D. Động năng giảm, thế năng tăng.
Câu 3: Trong quá trình dao động của một con lắc đơn thì tại vị trí cân bằng?
A. Động năng đạt giá trị cực đại.
B. Thế năng đạt giá trị cực đại.
C. Cơ năng bằng không.
D. Thế năng bằng động năng.
Câu 4: Khi thả một vật trượt không vận tốc đầu trên mặt phẳng nghiêng có ma sát?
A. Cơ năng của vật bằng giá trị cực đại của động năng.
B. Độ biến thiên động năng bằng công của lực ma sát.
C. Độ giảm thế năng bằng công của trọng lực.
D. Độ giảm thế năng bằng độ tăng động năng.
Câu 5: Một vật được thả rơi tự do từ độ cao 3 m. Độ cao vật khi động năng bằn hai lần thế năng là?
A. 1,5 m.
B. 1,2 m.
C. 2,4 m.
D. 1,0 m.
Câu 6: Một vật được ném thẳng đứng lên cao từ mặt đất với vận tốc đầu 4 m/s. Bỏ qua sức cản không khí. Tốc độ của vật khi có động năng bằng thế năng là?
A. 2√2 m/s.
B. 2 m/s.
C. √2 m/s.
D. 1 m/s.
Câu 7: Một vật có khối lượng 1 kg, được ném lên thẳng đứng tại một vị trí cách mặt đất 2 m, với vận tốc ban đầu vo = 2 m/s. Bỏ qua sức cản không khí. Lấy g = 10 m/s2. Nếu chọn gốc thế năng tại mặt đất thì cơ năng của vật tại mặt đất bằng?
A. 4,5 J.
B. 12 J.
C. 24 J.
D. 22 J.
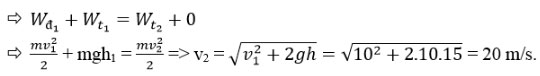
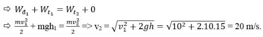
Câu 8: Một vật được ném từ độ cao 15 m với vận tốc 10 m/s. Bỏ qua sức cản không khí. Lấy g = 10 m/s2. Tốc độ của vật khi chạm đất là?
A. 10√2 m/s.
B. 20 m/s.
C. √2 m/s.
D. 40 m/s.
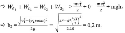
Câu 9: Một vật được ném xiên từ mặt đất với vận tốc ban đầu hợp với phương ngang một góc 30o và có độ lớn là 4 m/s. Lấy g = 10 m/s2, chọn gốc thế năng tại mặt đất, bỏ qua mọi lực cản. Độ cao cực đại của vật đạt tới là?
A. 0,8 m.
B. 1,5 m.
C. 0,2 m.
D. 0,5 m.
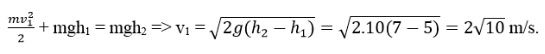
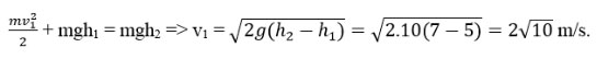
Câu 10: Một vật ném được thẳng đứng xuống đất từ độ cao 5 m. Khi chạm đất vật nảy trở lên với độ cao 7 m. Bỏ qua mất mát năng lượng khi va chạm đất và sức cản môi trường. Lấy g = 10 m/s2. Vận tốc ném ban đầu có giá trị bằng?
A. 2√10 m/s.
B. 2 m/s.
C. 5 m/s.
D. 5 m/s.
Câu 11: Một vật trượt không ma sát từ đỉnh một mặt phẳng nghiêng. Khi đi được 2/3 quãng đường theo mặt phẳng nghiêng tì tỉ số động năng và thế năng của vật bằng?
A. 2/3.
B. 3/2.
C. 2.
D. 1/2.
Câu 12: Một vật khối lượng 1 kg trượt không vận tốc đầu từ đỉnh A cao 20 m cảu một cái dốc xuống đến chân dốc. Vận tốc của vật tại chân dốc là 15 m/s. Lấy g = 10 m/s2. Độ lớn công của lực ma sát tác dụng lên vật khi vật trượt hết dốc?
A. 87,5 J.
B. 25,0 J.
C. 112,5 J.
D. 100 J.
Câu 13: Một vật nhỏ bắt đầu trượt từ đỉnh một mặt phẳng nghiêng có chiều dài 2 m, nghiêng góc 30o so với phương ngang. Biết hệ số ma sát giữa vật và mặt phẳng nghiêng là 0,1. Lấy g = 10 m/s2. Tốc độ của vật khi đến chân mặt phẳng nghiêng là?
A. 2,478 m/s.
B. 4,066 m/s.
C. 4,472 m/s.
D. 3,505 m/s.
Câu 14: Một viên bi thép có khối lượng 100 g được bắn thẳng đứng xuống đất từ độ cao 5 m với vận tốc ban đầu 5 m/s. Khi dừng lại viên bi ở sâu dưới mặt đất một khoảng 10 cm. Bỏ qua sức cản của không khí, lấy g = 10 m/s2. Lực tác dụng trung bình của đất lên viên bi là?
A. 67,7 N.
B. 75,0 N.
C. 78,3 N.
D. 62,5 N.
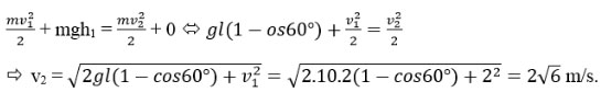
Câu 15: Một vật nhỏ được treo vào đầu dưới của một sợi dây mảnh, không dãn có chiều dài 2 m. Giữ cố định đầu trên của sợi dây, ban đầu kéo cho dây treo hợp với phương thẳng đứng góc 60o rồi truyền cho vật vận tốc bằng 2 m/s hướng về vị trí cân bằng. Bỏ qua sức cản môi trường, lấy g = 10 m/s2. Độ lớn vận tốc của vật khi đi qua vị trí cân bằng là?
A. 3√2 m/s.
B. 3√3 m/s.
C. 2√6 m/s.
D. 2√5 m/s.
Hướng dẫn giải và đáp án trắc nghiệm Vật lý 10 chương 4
| Câu | 1 | 2 | 3 | 4 | 5 | 6 | 7 | 8 | 9 | 10 |
| Đáp án | C | B | A | C | D | A | D | B | C | A |
| Câu | 11 | 12 | 13 | 14 | 15 | |||||
| Đáp án | C | A | B | D | C |
Câu 5: D
Chọn mốc thế năng tại mặt đất.
Vật rơi tự do nên cơ năng được bảo toàn: W1 = W2
⇒ W1 = Wđ2 + Wt2 = 2Wt2+Wt2⇒ h2=h/3 = 1 m.
Câu 6: A
Chọn mốc thế năng tại mặt đất.
Bỏ qua sức cản không khí nên cơ năng được bảo toàn: W1 = W2

Câu 8: B
Chọn mốc thế năng tại mặt đất.
Bỏ qua sức cản không khí nên cơ năng được bảo toàn: W1 = W2

Câu 9: C
Tại vị trí có độ cao cực đại thì v2y = 0; v2x = v1cosα
Chọn mốc thế năng tại mặt đất.
Bỏ qua sức cản không khí nên cơ năng được bảo toàn: W1 = W2

Câu 10: A
Chọn mốc thế năng tại mặt đất.
Bỏ qua mất mát năng lượng khi va chạm đất và sức cản môi trường: W1 = W2

Câu 11: C

Câu 12: A
Chọn mốc thế năng tại chân mặt phẳng nghiêng.
Do có ma sát giữa vật và mặt phẳng nghiêng nên W2 – W1 = AFms
![]()
Câu 13: B
Chọn mốc thế năng tại chân mặt phẳng nghiêng.
Do có ma sát giữa vật và mặt phẳng nghiêng nên W2 – W1 = AFms

Câu 15: C
Chọn mốc thế năng tại vị trí cân bằng của con lắc.
Bỏ qua sức cản môi trường, cơ năng của con lắc được bảo toàn: W1 = W2

---------------------------------------------------------------
Hiện tại, các bạn học sinh lớp 10 đang ráo riết chuẩn bị cho kì thi học kì. Để ôn thi học kì 1 lớp 10 tốt hơn, mời các em tải thêm các đề thi học kì 1 lớp 10 khác. Với những đề thi học kì 1 lớp 10 môn Vật lý, Toán, Anh, Văn,... này, các em sẽ có thêm kinh nghiệm và kiến thức về các dạng bài, chuẩn bị tốt nhất cho kì thi sắp tới.