Giải bài tập Vật lý 10 bài 30: Quá trình đẳng tích. Định luật Sác-lơ
Giải bài tập Vật lý 10 bài 30
VnDoc.com xin giới thiệu bạn đọc tài liệu: Giải bài tập Vật lý 10 bài 30: Quá trình đẳng tích. Định luật Sác-lơ, tài liệu gồm 8 câu hỏi bài tập trang 162 SGK kèm theo lời giải chi tiết sẽ giúp các bạn học sinh học tập môn Toán một cách hiệu quả hơn. Mời các bạn học sinh và thầy cô tham khảo.
Giải bài tập Vật lý 10 bài 26: Thế năng
Giải bài tập Vật lý 10 bài 27: Cơ năng
Giải bài tập Vật lý 10 bài 28: Cấu tạo chất. Thuyết động học phân tử chất khí
Giải bài tập Vật lý 10 bài 29: Quá trình đẳng nhiệt. Định luật Bôi-lơ-Ma-ri-ốt
Giải bài tập Vật lý 10 bài 31: Phương trình trạng thái của khí lí tưởng
Giải bài tập Vật lý 10 bài 30: Quá trình đẳng tích. Định luật Sác-lơ
Bài 1 (trang 162 SGK Vật Lý 10): Thế nào là quá trình đẳng tích? Tìm một ví dụ về quá trình đẳng tích này.
Lời giải:
+ Quá trình đẳng tích là quá trình biến đổi trạng thái khí mà thể tích không thay đổi.
+ Một ví dụ: Cho khí vào xilanh, cố định Pittong, cho xilanh vào chậu nước nóng. Khi đó T tăng, P tăng nhưng V không đổi.
Bài 2 (trang 162 SGK Vật Lý 10): Viết hệ thức liên hệ giữa P và T trong quá trình đẳng thức của một lượng khí nhất định.
Lời giải:
![]()
Bài 3 (trang 162 SGK Vật Lý 10): Phát biểu định luật Sác-lơ
Lời giải:
Định luật Sác-lơ: Trong quá trình đẳng tích của một lượng khí nhất định, áp suất tỉ lệ thuận với nhiệt độ tuyệt đối.
Bài 4 (trang 162 SGK Vật Lý 10): Trong các hệ thức sau đây, hệ thức nào không phù hợp với định luật Sác-lơ?

Lời giải
Chọn B.
Bài 5 (trang 162 SGK Vật Lý 10): Trong hệ tọa độ (p, T), đường biểu diễn nào sau đây là đường đẳng tích?
A. Đường hypebol
B. Đường thẳng kéo dài qua gốc tọa độ
C. Đường thẳng không đi qua gốc tọa độ
D. Đường thẳng cắt trục p tại điểm p = po
Lời giải:
Chon B.
Bài 6 (trang 162 SGK Vật Lý 10): Hệ thức nào sau đây phù hợp với định luật Sác-lơ?

Lời giải:
Chọn B.
Vì
\(\frac{P}{T}\) là hàng số nên suy ra
\(\frac{P_1}{T_1}=\ \frac{P_3}{T_3}\)
Bài 7 (trang 162 SGK Vật Lý 10): Một bình chứa một lượng khí ở nhiệt độ 30o C và áp suất 2 bar. (1 bar = 105 Pa). Hỏi phải tăng nhiệt độ lên tới bao nhiêu độ để áp suất tăng gấp đôi?
Lời giải:
Trạng thái 1: T1 = t1 + 273 = 303 K; P1 = 2 bar
Trạng thái 2: P2 = 4 bar ; T2 = ?
Áp dụng định luật Sác-lơ cho quá trình biến đổi đẳng tích, ta có:
\(\frac{P_1}{T_1}=\ \frac{P_2}{T_2}\)
⇒
\(T_2=T_1\frac{P_1}{P_2}=\ 303.\frac{4}{2}=\ 606^0K\)
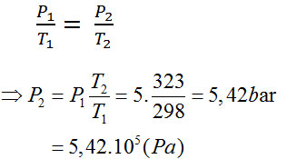
Bài 8 (trang 162 SGK Vật Lý 10): Một chiếc lốp ô tô chứa không khí có áp suất 5 bar và nhiệt độ 25o C. Khi xe chạy nhanh lốp xe nóng lên làm cho nhiệt độ không khí trong lốp tăng lên tới 50o C. Tính áp suất của không khí trong lốp xe lúc này.
Lời giải:
Trạng thái 1: T1 = 273 + 25 = 298 K; P1 = 5 bar
Trạng thái 2: T2 = 273 + 50 = 323 K; P2 = ?
Áp dụng định luật Sác-lơ cho quá trình biến đổi đẳng tích, ta có: