Giải bài tập Vật lý 10 bài 22: Ngẫu lực
Giải bài tập Vật lý 10 bài 22
Giải bài tập Vật lý 10 bài 22: Ngẫu lực là tài liệu hay dành cho các bạn học sinh lớp 10 tham khảo để học tốt hơn môn Vật lý lớp 10 bài 22, tài liệu kèm theo lời giải chi tiết sẽ giúp các bạn học sinh học tập một cách hiệu quả hơn. Mời các bạn và thầy cô tham khảo.
Giải bài tập Vật lý 10 bài 18: Cân bằng của một vật có trục quay cố định. Momen lực
Giải bài tập Vật lý 10 bài 19: Quy tắc hợp lực song song cùng chiều
Giải bài tập Vật lý 10 bài 20: Các dạng cân bằng. Cân bằng của một vật có mặt chân đế
Giải bài tập Vật lý 10 bài 23: Động lượng. Định luật bảo toàn động lượng
Giải bài tập Vật lý 10 bài 22: Ngẫu lực
Bài 1 (trang 118 SGK Vật Lý 10): Ngẫu lực là gì? Nêu một vài ví dụ về ngẫu lực.
Lời giải:
Ngẫu lực: là hệ hai lực song song, ngược chiều, có độ lớn bằng nhau và cùng tác dụng vào một vật.
Ví dụ:
- Dùng tay vặc vòi nước ta đã tác dụng vào vòi một ngẫu lực
- Khi ô tô sắp qua đoạn đường ngoặt, người lái xe tác dụng một ngẫu lực vào tay lái (vô lăng)
Bài 2 (trang 118 SGK Vật Lý 10): Nêu tác dụng của ngẫu lực đối với một vật rắn.
Lời giải:
+ Trường hợp vật không có trục quay cố định: Ngẫu lực sẽ làm cho vật quay quanh trọng tâm. Nếu có trục quay đi qua trọng tâm thì trục quay này không chịu tác dụng lực.
+ Trường hợp vật có trục quay cố định: Ngẫu lực làm cho vật quay quanh trục quay cố định. Trọng tâm cũng quay quanh trục quay, gây ra lực tác dụng lên trục quay đó, có thể làm cho trục quay biến dạng.
Bài 3 (trang 118 SGK Vật Lý 10): Viết công thức tính momen của ngẫu lực. Momen của ngẫu lực có đặc điểm gì?
Lời giải:
Công thức tính momen của ngẫu lực:
M = F.d.
Momen của ngẫu lực phụ thuộc vào độ lớn của ngẫu lực, vào khoảng cách d giữa hai giá của hai lực, không phụ thuộc vào vị trí trục quay O.
Bài 4 (trang 118 SGK Vật Lý 10): Hai lực của một ngẫu lực có độ lớn F = 5,0 N. Cánh tay đòn của ngẫu lực d = 20 cm. Momen của ngẫu lực là:
A. 100 N.m
B. 2,0 N.m
C. 0,5 N.m
D. 1,0 N.m
Lời giải:
Chọn D.
Áp dụng công thức momen của ngẫu lực:
M = F.d = 5.0,2 = 1 (N.m).
Bài 5 (trang 118 SGK Vật Lý 10): Một ngẫu lực gồm hai lực vector F1 và vector F2 có F1 = F2= F và có cánh tay đòn d. Momen của ngẫu lực này là?
A. (F1 – F2).d.
B. 2Fd.
C. Fd.
D.Chưa biết được vì còn phụ thuộc vào vị trí của trục quay.
Lời giải:
Chọn C.
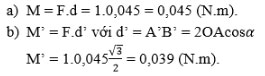
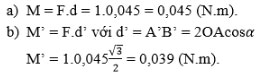
Bài 6 (trang 118 SGK Vật Lý 10): Một chiếc thước mảnh có trục quay nằm ngang đi qua trọng tâm O của thước. Dùng hai ngón tay tác dụng vào thước một ngẫu lực đặt vào hai điểm A và B cách nhau 4,5 cm và có độ lớn FA = FB = 1 N (Hình 22.6a)
a) Tính momen của ngẫu lực.
b) Thanh quay đi một góc α = 30o. Hai lực luôn luôn nằm ngang và vẫn đặt tại A và B (Hình 22.6b). Tính momen của ngẫu lực.
Lời giải:
