Giải bài tập Vật lý 10 bài 35: Biến dạng cơ của vật rắn
Giải bài tập Vật lý 10 bài 35
VnDoc.com xin giới thiệu tới bạn đọc tài liệu: Giải bài tập Vật lý 10 bài 35: Biến dạng cơ của vật rắn. Bộ tài liệu kèm theo lời giải chi tiết sẽ giúp các bạn học sinh học tập tốt hơn môn Vật lý bài 35. Mời các bạn học sinh và thầy cô tham khảo.
Giải bài tập Vật lý 10 bài 31: Phương trình trạng thái của khí lí tưởng
Giải bài tập Vật lý 10 bài 32: Nội năng và sự biến thiên nội năng
Giải bài tập Vật lý 10 bài 33: Các nguyên lí của nhiệt động lực học
Giải bài tập Vật lý 10 bài 34: Chất rắn kết tinh. Chất rắn vô định hình
Giải bài tập Vật lý 10 bài 35: Biến dạng cơ của vật rắn
Bài 1 (trang 191 SGK Vật Lý 10): Biến dạng đàn hồi của vật rắn là gì? Viết công thức xác định ứng suất và nói rõ đơn vị của nó.
Lời giải:
Biến dạng đàn hồi của vật rắn là trong biến dạng vật rắn lấy lại được kích thước ban đầu.
Công thức xác định ứng suất:
σ =
\(\frac{F}{S}\)
Bài 2 (trang 191 SGK Vật Lý 10): Phát biểu và viết công thức của định luật Húc về biến dạng cơ của vật rắn.
Lời giải:
- Định luật Húc: Trong giới hạn đàn hồi, độ biến dạng tỉ đối của vật rắn (hình trụ đồng chất) tỉ lệ thuận với ứng suất ứng tác dụng vào vật đó.
Công thức:

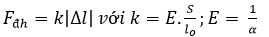
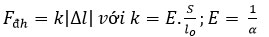
Bài 3 (trang 191 SGK Vật Lý 10): Từ định luật Húc về biến dạng cơ của vật rắn, hãy suy ra công thức của lực đàn hồi trong vật rắn.
Lời giải:
Độ lớn của lực đàn hồi tỉ lệ thuận với độ biến dạng của vật:
![]()
k: Hệ số đàn hồi, còn gọi là độ cứng của vật rắn. Đơn vị k: N/m
E: Suất đàn hồi. Đơn vị E là Pa
S: Diện tích tiết diện của vật rắn đồng chất, hình trụ.
lo: Chiều dài ban đầu của vật.
Bài 4 (trang 192 SGK Vật Lý 10): Mức độ biến dạng của thanh rắn (bị kéo hoặc nén) phụ thuộc yếu tố nào dưới đây?
A. Độ lớn của lực tác dụng.
B. Độ dài ban đầu của thanh.
C. Tiết diện ngang của thanh.
D. Độ lớn của lực tác dụng và tiết diện ngang của thanh.
Lời giải:
Chọn D.
Bài 5 (trang 192 SGK Vật Lý 10): Trong giới hạn đàn hồi, độ biến dạng tỉ đối của thanh rắn tỉ lệ thuận với đại lượng nào dưới đây?
A. Tiết diện ngang của thanh
B. Ứng suất tác dụng vào thanh
C. Độ dài ban đầu của thanh
D. Cả ứng suất và độ dài ban đầu của thanh.
Lời giải:
Chọn B.
Bài 6 (trang 192 SGK Vật Lý 10): Độ cứng (hay hệ số đàn hồi) của vật rắn (hình trụ đồng chất) phụ thuộc những yếu tố nào dưới đây?
A. Chất liệu của vật rắn
B. Tiết diện của vật rắn
C. Độ dài ban đầu của vật rắn
D. Cả ba yếu tố trên.
Lời giải:
Chọn D
Bài 7 (trang 192 SGK Vật Lý 10): Một sợi dây thép đường kính 1,5 mm có độ dài ban đầu là 5,2 m. Tính hệ số đàn hồi của sợi dây thép, biết suất đàn hồi của thép là E = 2.1011 Pa.
Lời giải:

Bài 8 (trang 192 SGK Vật Lý 10): Một thanh rắn đồng chất tiết diện đều có hệ số đàn hồi là 100 N/m, đầu trên gắn cố định và đầu dưới treo một vật nặng để thanh bị biến dạng đàn hồi. Biết gia tốc rơi tự do g = 10 m/s2. Muốn thanh rắn dài thêm 1 cm, vật nặng phải có khối lượng là bao nhiêu?
Lời giải:
K = 100 N/m
Δl = 1 cm
g = 10 m/s2
P = ?
m = ?
Khi thanh rắn cân bằng ở trạng thái biến dạng, ta có:
Fđh = P = mg ⇔ K|Δl| = mg
\(m\ =\ \frac{k\ \triangle l}{g}=\ \frac{1000.0,01}{10}=\ 0,1kg\)
Vậy vật nặng phải có khối lượng là 0,1 kg.
Bài 9 (trang 192 SGK Vật Lý 10): Một thanh thép tròn đường kính 20 mm có suất đàn hồi E = 2.1011 Pa. Giữ chặt một đầu thanh và nén đầu còn lại bằng một lực F = 1,57.105 N để thanh này biến dạng đàn hồi. Tính độ biến dạng tỉ đối của thanh.
Lời giải:
d = 20 mm
E = 2.1011 Pa
Fnén = 1,57.105 N