Trắc nghiệm Vật lý 10 chương 4: Thế năng
Trắc nghiệm Vật lý 10 chương 4 có đáp án
Trắc nghiệm Vật lý 10 chương 4: Thế năng là tài liệu hay đã được VnDoc.com tổng hợp bộ câu hỏi trắc nghiệm kèm theo đáp án và lời giải chi tiết sẽ giúp các bạn học sinh rèn luyện cách giải bài tập Vật lý 10 chính xác nhất. Mời các bạn học sinh và thầy cô tham khảo.
Trắc nghiệm Vật lý 10: Ôn tập cuối chương 3
Đề kiểm tra học kì 1 Vật Lí 10 (đề số 1)
Trắc nghiệm Vật lý 10 chương 4: Định luật bảo toàn động lượng
Trắc nghiệm Vật lý 10 chương 4: Thế năng
Câu 1: Chỉ ra câu sai trong các phát biểu sau.
A. Thế năng của một vật có tính tương đối. Thế năng tại mỗi vị trí có thể có giá trị khác nhau tùy theo cách chọn gốc tọa độ.
B. Động năng của một vật chỉ phụ thuộc khối lượng và vận tốc của vật. Thế năng chỉ phụ thuộc vị trí tương đối giữa các phần của hệ với điều kiện lực tương tác trong hệ là lực thế.
C. Công của trọng lực luôn luôn làm giảm thế năng nên công của trọng lực luôn luôn dương.
D. Thế năng của quả cầu dưới tác dụng của lực đàn hồi cũng là thế năng đàn hồi.
Câu 2: Tìm phát biểu sai.
A. Thế năng của một vật tại một vị trí phụ thuộc vào vận tốc của vật tại vị trí đó.
B. Thế năng hấp dẫn và thế năng đàn hồi là hai dạng trong số các dạng thế năng.
C. Thế năng có giá trị phụ thuộc vào việc chọn gốc thế năng.
D. Thế năng hấp dẫn của một vật chính là thế năng của hệ kín gồm vật và Trái Đất.
Câu 3: Thế năng đàn hồi của một lò xo không phụ thuộc vào?
A. Độ cứng của lò xo.
B. Độ biến dạng của lò xo.
C. Chiều biến dạng của lò xo.
D. Mốc thế năng.
Câu 4: Một vật được bắn từ mặt đất lên cao hợp với phương ngang góc α, vận tốc đầu vo→. Bỏ qua lực cản môi trường. Đại lượng không đổi khi viên đạn đang bay là?
A. Thế năng.
B. Động năng.
C. Động lượng.
D. Gia tốc.
Câu 5: Một vật yên nằm yên có thể có?
A. Động năng.
B. Thế năng.
C. Động lượng.
D. Vận tốc.
Câu 6: Một thang máy có khối lượng 1 tấn chuyển động từ tầng cao nhất cách mặt đất 100 m xuống tầng thứ 10 cách mặt đất 40 m. Lấy g = 10 m/s2. Nếu chọn gốc thế năng tại tầng 10, thì thế năng của thang máy ở tầng cao nhất là?
A. 588 kJ.
B. 392 kJ.
C. 980 kJ.
D. 588 kJ.
Câu 7: Một buồng cáp treo chở người có khối lượng tổng cộng 800 kg đi từ vị trí xuất phát cách mặt đất 10 m tới một trạm dừng trên núi ở độ cao 550 m sau đó lại tiếp tục tới một trạm khác cao hơn. Lấy g = 10 m/s2. Công do trọng lực thực hiện khi buồng cáp treo di chuyển từ vị trí xuất phát tới trạm dừng thứ nhất là?
A. – 432.104 J.
B. – 8,64.106 J.
C. 432.104 J.
D. 8,64.106 J.
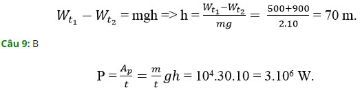
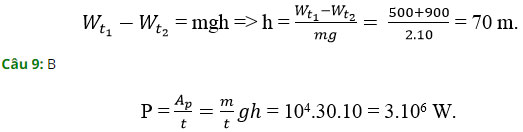
Câu 8: Một vật có khối lượng 2 kg được đặt ở vị trí trong trọng trường và có thế năng tại đó Wt1 = 500 J. Thả vật rơi tự do đến mặt đất có thế năng Wt2 = - 900 J. Lấy g = 10 m/s2. So với mặt đất vật đã rơi từ độ cao?
A. 50 m.
B. 60 m.
C. 70 m.
D. 40 m.
Câu 9: Một thác nước cao 30 m đổ xuống phía dưới 104 kg nước trong mỗi giây. Lấy g = 10 m/s2, công suất thực hiện bởi thác nước bằng?
A. 2 MW.
B. 3MW.
C. 4 MW.
D. 5 MW.
Câu 10: Một người thực hiện một công đạp xe đạp lên đoạn đường dài 40 m trên một dốc nghiêng 20o so với phương ngang. Bỏ qua mọi ma sát. Nếu thực hiện một công cũng như vậy mà lên dốc nghiêng 30o so với phương ngang thì sẽ đi được đoạn đường dài?
A. 15,8 m.
B. 27,4 m.
C. 43,4 m.
D. 75,2 m.
Câu 11: Thế năng của một lò xo khi nó bị dãn một khoảng x là Wt = kx2, với k là hằng số. Lực đàn hồi khi đó bằng?
A. kx.
B. kx√2.
C. kx/2.
D. 2kx.
Câu 12: Một lò xo có độ cứng k = 200 N/m, bị nén ngắn lại 10 cm so với chiều dài tự nhiên ban đầu. Chọn mốc thế năng tại vị trí ban đầu. Thế năng đàn hồi của lò xo là?
A. 0,01 J.
B. 0,1 J.
C. 1 J.
D. 0,001 J.
Câu 13: Một người kéo một lực kế, số chỉ của lực kế là 400 N, độ cứng của lò xo lực kế là 1000 N/m. Công do người thực hiện bằng?
A. 80 J.
B. 160 J.
C. 40 J.
D. 120 J.
Câu 14: Cho một lò xo đàn hồi nằm ngang ở trạng thái ban đầu không bị biến dạng. Khi tác dụng một lực 3 N kéo lò xo theo phương ngang ta thấy nó dãn được 2 cm. Thế năng đàn hồi của lò xo có giá trị bằng?
A. 0,08 J.
B. 0,04 J.
C. 0,03 J.
D. 0,05 J.
Câu 15: Một lò xo treo thẳng đứng có độ cứng 10 N/m và chiều dài tự nhiên 10 cm. Treo vào đầu dưới của lò xo một quả cân khối lượng 100 g, lấy g = 10 m/s2, bỏ qua khối lượng của lò xo. Giữ quả cân ở vị trí sao cho lò xo có chiều dài 5 cm thì thế năng tổng cộng của hệ (lò xo – quả nặng) với mốc thế năng tại vị trí cân bằng là?
A. 0,2625 J.
B. 0,1125 J.
C. 0,625 J.
D. 0,02 J.
Hướng dẫn giải và đáp án trắc nghiệm Vật lý 10 chương 4
| Câu | 1 | 2 | 3 | 4 | 5 | 6 | 7 | 8 | 9 | 10 |
| Đáp án | C | A | C | D | B | A | A | C | B | B |
| Câu | 11 | 12 | 13 | 14 | 15 | |||||
| Đáp án | D | C | A | C | B |
Câu 4: D
a→ = g→
Câu 6: A
Chọn gốc thế năng tại tầng 10 thì độ cao của vật khi ở tầng cao nhất so với mốc thế năng bằng z = 100 - 40 = 60 m nên
Wt = mgz = 1000.9,8.60 = 588000 J.
Câu 7: A
Chọn gốc thế năng tại mặt đất.
Do công của trọng lực bằng độ giảm thế năng nên
Wt1-Wt2 = Ap ⇒ Ap = mg(z1 – z2) = 800.10(10 – 550) = -4320000 J.
Câu 8: C

Câu 10: B
Nếu bỏ qua mọi ma sát, thì công tối thiểu người này cần thực hiện để lên dốc bằng công của trọng lực
Ap = mgh = mgl1sinα1 = mgl2sinα2
![]()
Câu 13: A
Chọn mốc thế năng tại vị trí ban đầu:
