Trắc nghiệm Vật lý 10 chương 5: Quá trình đẳng tích - Định luật Sác-lơ
Trắc nghiệm Vật lý 10 chương 5 có lời giải
VnDoc.com xin giới thiệu tới bạn đọc tài liệu: Trắc nghiệm Vật lý 10 chương 5: Quá trình đẳng tích - Định luật Sác-lơ, bộ tài liệu kèm theo lời giải chi tiết sẽ giúp các bạn học sinh rèn luyện cách giải bài tập Vật lý 10 hiệu quả. VnDoc.com mời các bạn học sinh và thầy cô tham khảo.
Trắc nghiệm Vật lý 10 chương 4: Cơ năng
Trắc nghiệm Vật lý 10: Ôn tập cuối chương 4
Trắc nghiệm Vật lý 10 chương 5: Cấu tạo chất - Thuyết động học phân tử chất khí
Trắc nghiệm Vật lý 10 chương 5: Quá trình đẳng nhiệt - Định luật Bôi-lơ - Ma-ri-ốt
Trắc nghiệm Vật lý 10 chương 5: Phương trình trạng thái của khí lí tưởng
Trắc nghiệm Vật lý 10 chương 5: Quá trình đẳng tích - Định luật Sác-lơ
Câu 1: Hệ thức nào sau đây không phải là hệ thức của định luật Sác-lơ?

Câu 2: Hiện tượng có liên quan đến định luật Sác-lơ là?
A. Săm xe đạp để ngoài nắng có thể bị nổ.
B. Quả bóng bay bị vỡ khi dùng tay bóp mạnh.
C. Quả bóng bàn bị bẹp nhúng vào nước nóng lại phồng lên như cũ.
D. Mở lọ nước hoa và mùi nước hoa lan tỏa khắp phòng.
Câu 3: Hình 30.1 biểu diễn hai đường đẳng tích của cùng một khối lượng không khí trong hệ tọa độ (p – T). Mối quan hệ đúng về các thể tích V1, V2 là?

A. V1 > V2.
B. V1 < V2.
C. V1 = V2.
D. V1 ≥ V2.
Câu 4: Xét một quá trình đẳng tích của một lượng khí lí tưởng nhất định. Tìm phát biểu sai.
A. Độ biến thiên của áp suất tỉ lệ thuận với độ biến thiên của nhiệt độ.
B. Áp suất tỉ lệ thuận với nhiệt độ tuyệt đối.
C. Độ biến thiên của áp suất tỉ lệ thuận với độ biến thiên của nhiệt độ bách phân.
D. Áp suất tỉ lệ thuận với nhiệt độ bách phân.
Câu 5: Nếu nhiệt độ của một bóng đèn khi tắt là 25oC, khí sáng là 323oC, thì áp suất của khí trơ trong bóng đèn tăng lên là?
A. 10,8 lần.
B. 2 lần.
C. 1,5 lần.
D. 12,92 lần.
Câu 6: Một chiếc lốp ô tô chứa không khí ở 25oC. Khi xe chạy nhanh, lốp xe nóng lên, áp suất khí trong lốp tăng lên tới 1,084 lần. Lúc này, nhiệt độ trong lốp xe bằng?
A. 50oC.
B. 27oC.
C. 23oC.
D. 30oC.
Câu 7: Khi đung nóng một bình kín chứa khí để nhiệt độ tăng 1oC thì áp suất khí tăng thêm 1/360 áp suất ban đầu. Nhiệt độ ban đầu của khí là?
A. 73oC.
B. 37oC.
C. 87oC.
D. 78oC.
Câu 8: Một bình thép chứa khí ở nhiệt độ 27oC và áp suất 40 atm. Nếu tăng áp suất thêm 10 atm thì nhiệt độ của khí trong bình là?
A. 102oC.
B. 375oC.
C. 34oC.
D. 402oC.
Câu 9: Một nồi áp suất, bên trong là không khí ở 23oC có áp suất bằng áp suất của không khí bên ngoài (1 atm). Van bảo hiểm của nồi sẽ mở khi áp suất bên trong cao hơn áp suất bên ngoài 1,2 atm. Nếu nồi được đung nóng tới 160oC thì không khí trong nồi đã thoát ra chưa? Áp suất không khí trong nồi bằng bao nhiểu?
A. Chưa; 1,46 atm.
B. Rồi; 6,95 atm.
C. Chưa; 0,69 atm.
D. Rồi; 1,46 atm.
Câu 10: t1, t2 là trị số của hai nhiệt độ trong nhiệt giai bách phân. T1, T2 là trị số của hai nhiệt độ ấy trong nhiệt giai tuyệt đối. Hệ thức đúng là?

Hướng dẫn giải và đáp án trắc nghiệm Vật lý 10 chương 5
| Câu | 1 | 2 | 3 | 4 | 5 | 6 | 7 | 8 | 9 | 10 |
| Đáp án | B | A | B | D | B | A | C | A | A | B |
Câu 5: B
Vì thể tích của bóng đèn không đổi nên ta có:

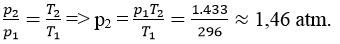
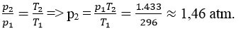
Câu 9: A
Lượng không khí trong nồi được đun nóng trong một quá trình đẳng tích.
Trạng thái 1: t1 = 23℃ ⇒ T1 = 296 k; p1 = 1 atm.
Trạng thái 2: t1 = 160℃ ⇒ T1 = 433 k; p1 = ?
Trong quá trình đẳng tích:
![]()
Áp suất này chỉ cao hơn áp suất bên ngoài 0,46 atm, vậy van bảo hiểm chưa mở, không khí trong nồi chưa thoát ra được.
Câu 10: B
Vì T2 – T1 = t2 – t1 ⇒ T1 = T2 – t2 + t1.