Giải bài tập SBT Vật lý lớp 10 bài 2: Chuyển động thẳng đều
Giải bài tập SBT Vật lý lớp 10 bài 2
Giải bài tập SBT Vật lý lớp 10 bài 2: Chuyển động thẳng đều hướng dẫn giải chi tiết bài tập môn Lý 10, giúp cho quý thầy cô cùng các bạn học sinh dễ dàng hơn trong việc tìm kiếm những tài liệu hay phục vụ quá trình giảng dạy và học tập môn Vật lý lớp 10. Chúc các em học tốt.
Giải bài tập SBT Vật lý lớp 10 bài 1: Chuyển động cơ
Giải bài tập Vật lý lớp 10 bài 2: Chuyển động thẳng đều
Giải bài tập SBT Vật lý lớp 10 bài 3: Chuyển động thẳng biến đổi đều
Bài 2.1, 2.2, 2.3, 2.4 trang 7 Sách bài tập (SBT) Vật lí 10
2.1. Hãy chỉ ra câu không đúng.
A. Quỹ đạo của chuyển động thẳng đều là đường thẳng.
B. Tốc độ trung bình của chuyển động thẳng đều trên mọi đoạn đường là như nhau.
C. Trong chuyển động thẳng đều, quãng đường đi được của vật tỉ lệ thuận với khoảng thời gian chuyển động.
D. Chuyển động đi lại của một pit-tông trong xilanh là chuyển động thẳng đều.
Hướng dẫn trả lời:
Chọn đáp án D
2.2. Câu nào đúng?
Phương trình chuyển động của chuyển động thẳng đều dọc theo trục Ox, trong trường hợp vật không xuất phát từ điểm O, là:
A. s = vt.
B. x = x0 + vt.
C. x = vt.
D. một phương trình khác với các phương trình A, B, C.
Hướng dẫn trả lời:
Chọn đáp án B
2.3. Phương trình chuyển động của một chất điểm dọc theo trục Ox có dạng :
x = 5 + 60t (x đo bằng kilômét và t đo bằng giờ).
Chất điểm đó xuất phát từ điểm nào và chuyển động với vận tốc bằng bao nhiêu ?
A. Từ điểm O, với vận tốc 5 km/h.
B. Từ điểm O, với vận tốc 60 km/h.
C. Từ điểm M, cách O là 5 km, với vận tốc 5 km/h.
D. Từ điểm M, cách O là 5 km, với vận tốc 60 km/h.
Hướng dẫn trả lời:
Áp dụng phương trình chuyển động thẳng đều x = x0 + vt
x0 = 5 km => Chất điểm xuất phát từ điểm M cách O đoạn 5 km.
v = 60 km/h => vận tốc là 60 km/h
Chọn đáp án D
2.4. Phương trình chuyển động của một chất điểm dọc theo trục Ox có dạng :
x = 4t - 10 (x đo bằng kilômét và t đo bằng giờ).
Quãng đường đi được của chất điểm sau 2 h chuyển động là bao nhiêu ?
A. -2 km. B. 2 km. C. -8 km. D. 8 km.
Hướng dẫn trả lời:
Từ PT chuyển động của chất điểm x = 4t - 10 => vận tốc chuyển động thẳng đều của chất điểm là v = 4 km/h
=> Quãng đường đi được của chất điểm sau 2 h chuyển động là: s = v.t = 4.2 = 8 km/h
Chọn đáp án D
Bài 2.5, 2.6, 2.7 trang 8 Sách bài tập (SBT) Vật lí 10
2.5. Một xe ô tô xuất phát từ một địa điểm cách bến xe 3 km trên một đường thẳng qua bến xe, và chuyển động với vận tốc 80 km/h ra xa bến. Chọn bến xe làm vật mốc, chọn thời điểm ô tô xuất phát làm mốc thời gian và chọn chiều chuyển động của ô tô làm chiều dương. Phương trình chuyển động của xe ô tô trên đoạn đường thẳng này như thế nào?
A. x = 3 + 80t. B. x = (80 - 3)t.
C. x = 3 - 80t. D. x = 80t.
Hướng dẫn trả lời:
Áp dụng PT chuyển động thẳng đều x = x0 + vt
Theo dữ kiện của đề bài thì x0 = 3 km, v = 80 km/h => PT chuyển động là x = 3 + 80t
Chọn đáp án A
2.6. Cùng một lúc tại hai điểm A và B cách nhau 10 km có hai ô tô xuất phát, chạy cùng chiều nhau trên đường thẳng AB, theo chiều từ A đến B. Vận tốc của ô tô chạy từ A là 54 km/h và của ô tô chạy từ B là 48 km/h. Chọn A làm mốc, chọn thời điểm xuất phát của hai xe ô tô làm mốc thời gian và chọn chiều chuyển động của hai ô tô làm chiều dương. Phương trình chuyển động của các ô tô trên như thế nào?
A. Ô tô chạy từ A: xA = 54t; Ô tô chạy từ B: xB = 48t + 10.
B. Ô tô chạy từ A: xA = 54t + 10; Ô tô chạy từ B: xB = 48t.
C. Ô tô chạy từ A: xA = 54t; Ô tô chạy từ B: xB = 48t - 10.
D. Ô tô chạy từ A: xA = - 54t;Ô tô chạy từ B: xB = 48t.
Hướng dẫn trả lời:
Áp dụng PT chuyển động thẳng đều x = x0 + vt
Theo dữ kiện của đề bài thì
x0A = 0 km, vA = 54 km/h => PT chuyển động của ô tô chạy từ A là xA = 54t
x0B = 10 km, vB = 48 km/h => PT chuyển động của ô tô chạy từ A là xB = 10 + 48t
Chọn đáp án A
2.7. Cũng bài toán trên, hỏi khoảng thời gian từ lúc hai ô tô xuất phát đến lúc ô tô A đuổi kịp ô tô B và khoảng cách từ A đến địa điểm hai xe gặp nhau là bao nhiêu?
A. 1 h; 54 km. B. 1 h 20 ph; 72 km.
C. 1 h40 ph; 90 km. D. 2 h; 108 km
Hướng dẫn trả lời:
Ô tô A đuổi kịp ô tô B thì xA = xB => 54t = 10 + 48t => t = 4/3 h = 1h 40 ph
Khi đó vị trí gặp nhau cách A khoảng xA = 54. 4/3 = 90 km
Chọn đáp án C
Bài 2.8, 2.9 trang 8,9 Sách bài tập (SBT) Vật lí 10
2.8. Hình 2.1 là đồ thị toạ độ - thời gian của môt chiếc ô tô chay từ A đến B trên một đường thẳng. Điểm A cách gốc toạ độ bao nhiêu kilômét? Thời điểm xuất phát cách mốc thời gian mấy giờ?

A. A trùng với gốc toạ độ O, xe xuất phát lúc 0 h, tính từ mốc thời gian.
B. A trùng với gốc toạ độ O, xe xuất phát lúc 1 h, tính từ mốc thời gian.
C. A cách gốc O 30 km, xe xuất phát lúc 0 h.
D. A cách gốc O 30 km, xe xuất phát lúc 1 h.
Hướng dẫn trả lời:
Chọn đáp án D
2.9. Cũng từ đồ thị toạ độ - thời gian ở hình 2.1, hỏi quãng đường AB dài bao nhiêu kilômét và vận tốc của xe là bao nhiêu?
A. 150 km; 30 km/h. B. 150 km; 37,5 km/h.
C. 120 km; 30 km/h. D. 120 km; 37,5 km/h.
Hướng dẫn trả lời
Từ đồ thị ta thấy
- A cách gốc tọa độ 30 km, B cách gốc tọa độ 150 km => quãng đường AB dài s = 150 - 30 = 120 km
- Thời gian chuyển động từ A đến B là t = 5 - 1 = 4 h
=> Vận tốc của xe là v = s/t = 120/4 = 30 km/h
Chọn đáp án C
Bài 2.10 trang 9 Sách bài tập (SBT) Vật lí 10
Một máy bay phản lực có vận tốc 700 km/h. Nếu muốn bay liên tục trên khoảng cách 1600 km thì máy bay này phải bay trong thời gian bao lâu ?
Hướng dẫn trả lời:
Áp dụng công thức: s = v.t => t = s/v = 1600/700 ≈ 2,3 h = 2 h 36 ph
Vậy máy bay phải bay liên tục trong 2 h 36 ph
Bài 2.11 trang 9 Sách bài tập (SBT) Vật lí 10
Một chiếc xe ô tô xuất phát từ A lúc 6 giờ sáng, chuyển động thẳng đều tới B, cách A 120 km.
a) Tính vận tốc của xe, biết rằng xe tới B lúc 8 giờ 30 phút.
b) Sau 30 phút đỗ tại B, xe chạy ngược về A với vận tốc 60 km/h. Hỏi vào lúc mấy giờ ô tô sẽ về tới A?
Hướng dẫn trả lời:
a. Thời gian chuyển động từ A đến B của ô tô là: t = 8 giờ 30 phút - 6 giờ = 1 giờ 30 phút = 1,5 giờ
=> Vận tốc của xe là: v = s/t = 120/1,5 = 80 km/h
b. Thời gian đến xe đi từ B về A là: t' = s/v' = 120/60 = 2 giờ
Thời điểm ô tô về tới A là: 8 giờ 30 phút + 30 phút + 2 giờ = 11 giờ
Vậy ô tô về A lúc 11 giờ
Bài 2.12 trang 9 Sách bài tập (SBT) Vật lí 10
Một chiến sĩ bắn thẳng một viên đạn B40 vào một xe tăng của địch đang đỗ cách đó 200 m. Khoảng thời gian từ lúc bắn đến lúc nghe thấy tiếng đạn nổ khi trúng xe tăng là 1 s. Coi chuyển động của viên đạn là thẳng đều. Vận tốc truyền âm trong không khí là 340 m/s. Hãy tính vận tốc của viên đạn B40.
Hướng dẫn trả lời:
Thời gian t từ lúc bắn đến lúc nghe thấy tiếng đạn nổ gồm 2 khoảng thời gian sau
+ Thời gian để viên đạn chuyển động từ VT bắn đến xe tăng rồi phát nổ: t1 = s/v1
+ Thời gian tiếng nổ truyền từ xe tăng đến VT bắn: t2 = s/v2 = 200/340 = 0,59 s
Theo đề bài: t = t2 + t1 => t1 = t - t2 = 1 - 0,59 = 0,41 s
Do đó v1 = s/t1 = 200/0,41 = 487,8 m/s
Bài 2.14 trang 9,10 Sách bài tập (SBT) Vật lí 10
Một xe máy xuất phát từ A lúc 6 giờ và chạy với vận tốc 40 km/h để đi đến B. Một ô tô xuất phát từ B lúc 8 giờ và chạy với vận tốc 80 km/h theo cùng chiều với xe máy. Coi chuyển động của xe máy và ô tô là thẳng đều. Khoảng cách giữa A và B là 20 km. Chọn A làm mốc, chọn thời điểm 6 giờ làm mốc thời gian và chọn chiều từ A đến B làm chiều dương.
a) Viết công thức tính quãng đường đi được và phương trình chuyển động của xe máy và ô tô.
b) Vẽ đồ thị toạ độ - thời gian của xe máy và ô tô trên cùng một hệ trục x và t.
c) Căn cứ vào đồ thị vẽ được, hãy xác định vị trí và thời điểm ô tô đuổi kịp xe máy.
d) Kiểm tra lại kết quả tìm được bằng cách giải các phương trinh chuyển động của xe máy và ô tô.
Hướng dẫn trả lời:
a. Công thức tính quãng đường đi được và phương trình chuyển động
- Của xe máy xuất phát lúc 6 giờ:
s1 = v1t = 40t;
x1 = s1 = 40t (với x0 = 0)
- Của ô tô xuất phát lúc 8 giờ:
s2 = v2(t – 2) = 80(t – 2) với t ≥ 2;
x2 = x0 + s2 = 20 + 80(t – 2)
b. Đồ thị tọa độ của xe máy (đường I) và ô tô (đường II) được vẽ ở trên hình

c. Trên đồ thị như ở hình vẽ
Vị trí và thời điểm ô tô đuổi kịp xe máy được biểu diễn bởi giao điểm M có tọa độ
xM = 140 km; tM = 3,5 h
d. Kiểm tra lại kết quả thu được nhờ đồ thị bằng cách giải phương trình:
x1 = x2 <=> 40t = 20 + 80(t – 2) => t = 3,5 h
Vậy ô tô đuổi kịp xe máy sau 3,5 h
Thời điểm ô tô đuổi kịp xe máy là lúc: 6 h + 3,5 h = 9,5 h
Vị trí ô tô đuổi kịp xe máy là xM = 40.3,5 = 140 km
Bài 2.15 trang 10 Sách bài tập (SBT) Vật lí 10
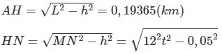
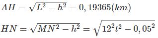
Một người đứng tại điểm M cách con đường thẳng AB một đoạn h = 50 m để chờ ô tô.Khi nhìn thấy ô tô còn cách mình một đoạn L = 200 m thì người đó bắt đầu chay ra đường để bắt kịp ô tô (Hình 2.3). Vận tốc của ô tô là v1 = 36 km/h. Nếu người đó chạy với vận tốc v2 = 12 km/h thì phải chạy theo hướng nào để gặp đúng lúc ô tô vừa tới?

Hướng dẫn trả lời:
Giả sử người đó gặp ô tô tại điểm N. Khoảng thời gian t để người đó chạy từ M tới N phải đúng bằng khoảng thời gian để ô tô chạy từ A tới N

Ta có: AN = v1t = 36t
MN – v2t = 12t

Cả hai trường hợp, đều có HN2 = MN2 – h2
Cuối cùng ta được phương trình bậc hai 1152t2 – 13,9428t + 0,04 = 0
Giải ra ta được hai nghiệm: t = 0,00743 h ≈ 26,7 s hoặc t = 0,00467 h ≈ 16,8 s
Do đó AN = 0,26748 km hoặc AN = 0,16812 km
Quãng đường MN mà người ấy phải chạy là MN = 89,2 m hoặc MN = 56 m
Gọi α là góc hợp bởi MN và MH:

Bài 2.16 trang 10 Sách bài tập (SBT) Vật lí 10
Một ô tô chạy trên một đoạn đường thẳng từ địa điểm A đến địa điểm B phải mất một khoảng thời gian t. Tốc độ của ồ tô trong nửa đầu của khoảng thời gian này là 60 km/h và trong nửa cuối là 40 km/h. Tính tốc độ trung bình của ô tô trên cả đoạn đường AB.
Hướng dẫn trả lời:
- Do nửa đầu của khoảng thời gian đó xe chạy với tốc độ v1 = 60 km/s => quãng đường đi được là s1 = v1.t/2 = 30t
- Do nửa cuối của khoảng thời gian đó xe chạy với tốc độ v2 = 40 km/h => quãng đường đi được là s2 = v2.t/2 = 20t
=> Độ dài quãng đường AB là s = s1 + s2 = 50t
=> Tốc độ trung bình trên cả quãng đường AB là vtb = s/t = 50 km/h
Bài 2.17 trang 10 Sách bài tập (SBT) Vật lí 10
Một người đi xe đạp chuyển động trên một đoạn đường thẳng AB có độ dài là s. Tốc độ của xe đạp trong nửa đầu của đoạn đường này là 12 km/h và trong nửa cuối là 18 km/h. Tính tốc độ trung bình của xe đạp trên cả đoạn đường AB.
Hướng dẫn trả lời:
Gọi thời gian đi hết nửa đầu và nửa cuối đoạn đường AB là t1 và t2
