Giải bài tập Vật lý 10 bài 31: Phương trình trạng thái của khí lí tưởng
Giải bài tập Vật lý 10 bài 31
VnDoc.com xin giới thiệu tới bạn đọc tài liệu: Giải bài tập Vật lý 10 bài 31: Phương trình trạng thái của khí lí tưởng, tài liệu kèm theo lời giải chi tiết sẽ giúp các bạn học sinh lớp 10 học tập môn Vật lý một cách dễ dàng hơn. Mời các bạn và thầy cô tham khảo.
Giải bài tập Vật lý 10 bài 27: Cơ năng
Giải bài tập Vật lý 10 bài 28: Cấu tạo chất. Thuyết động học phân tử chất khí
Giải bài tập Vật lý 10 bài 29: Quá trình đẳng nhiệt. Định luật Bôi-lơ-Ma-ri-ốt
Giải bài tập Vật lý 10 bài 30: Quá trình đẳng tích. Định luật Sác-lơ
Giải bài tập Vật lý 10 bài 32: Nội năng và sự biến thiên nội năng
Giải bài tập Vật lý 10 bài 31: Phương trình trạng thái của khí lí tưởng
Bài 1 (trang 165 SGK Vật Lý 10): Khí lí tưởng là gì?
Lời giải:
Khí lí tưởng là chất khí mà các phân tử khí được coi là các chất điểm và các phân tử chỉ tương tác nhau khi va chạm.
Bài 2 (trang 165 SGK Vật Lý 10): Lập phương trình trạng thái của khí lí tưởng.
Lời giải:

Bài 3 (trang 165 SGK Vật Lý 10): Viết hệ thức của sự nở đẳng áp của chất khí.
Lời giải:
Hệ thức của sự nở đẳng áp của chất khí:
\(P_1=P_2\) ⇒
\(\frac{V_1}{T_1}=\ \frac{V_{_2}}{T_2}\)
hay
\(\frac{V}{T\ }\) = hàng số
Bài 4 (trang 165 SGK Vật Lý 10): Hãy ghép các quá trình ghi bên trái với các phương trình tương ứng ghi bên phải.

Chú ý: Công thức (d) áp dụng cho quá trình biến đổi bất kì trạng thái chất khí lý tưởng nhưng điều kiện là khối lượng chất khí không đổi trong suốt quá trình xảy ra biến đổi trạng thái.
Bài 5 (trang 166 SGK Vật Lý 10): Trong hệ tọa độ (V, T), đường biểu diễn nào sau đây là đường đẳng áp?
A. Đường thẳng song song với trục hoành
B. Đường thẳng song song với trục tung
C. Đường hypebol
D. Đường thẳng kéo dài đi qua gốc tọa độ.
Lời giải:
Chọn D.
Bài 6 (trang 166 SGK Vật Lý 10): Mối liên hệ giữa áp suất thể tích, nhiệt độ của một lượng khí trong quá trình nào sau đây không được xác định bằng phương trình trạng thái của khí lí tưởng?
A. Nung nóng một lượng khí trong một bình đậy kín
B. Nung nóng một lượng khí trong một bình không đậy kín
C. Nung nóng một lượng khí trong một xilanh kín có pit-tông làm khí nóng lên, nở ra, đẩy pit-tông di chuyển
D. Dùng tay bóp lõm quả bóng bàn.
Lời giải:
Chon B. Vì khi nung nóng mà bình không đậy kín, một lượng khí sẽ thoát ra ngoài, phương trình trạng thái sẽ không được nghiệm đúng.
Bài 7 (trang 166 SGK Vật Lý 10): Trong phòng thí nghiệm, người ta điều chế được 40 cm3 khí hidro ở áp suất 750 mmHg và nhiệt độ 27o C. Tính thể tích của lượng khí trên ở điều kiện chuẩn (áp suất 760 mmHg và nhiệt độ 0o C).
Lời giải:
Trạng thái 1:
P1 = 750 mmHg
T1 = 300 K
V1 = 40 cm3
Trạng thái 2:
Po = 760 mmHg
To = 273 K
Vo = ?
Áp dụng phương trình trạng thái của khí lí tưởng:
\(\frac{P_0V_0}{T_0}=\ \frac{P_1V_1}{T_1}\) ⇒
\(V_0\ =\ \frac{P_1T_1V_0}{P_0T_1}\)
Thay số ta được Vo = 36 cm3
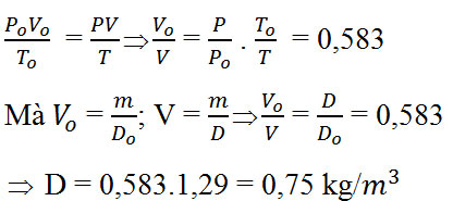
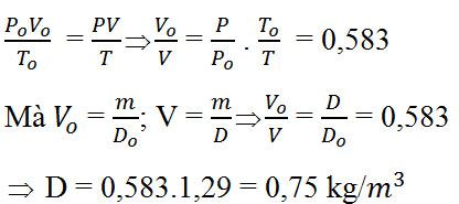
Bài 8 (trang 166 SGK Vật Lý 10): Tính khối lượng riêng của không khí ở đỉnh núi Phăng-xi-păng cao 3 140 m. Biết rằng mỗi khi lên cao thêm 10m thì áp suất khí quyển giảm 1 mmHg và nhiệt độ trên đỉnh núi là 2o C. Khối lượng riêng của không khí ở điều kiện tiêu chuẩn (áp suất 760 mmHg và nhiệt độ 0o C) là 1,29 kg/m3.
- Trạng thái 1 (chuẩn)
Po = 760 mmHg
To = 273 K
Vo = ?
- Trạng thái 2 (ở đỉnh núi)
P = (760 – 314) mmHg
T = 275 K
V = ?
Lời giải:
Áp dụng phương trình trạng thái: