Trắc nghiệm Vật lý 10 chương 5: Quá trình đẳng nhiệt - Định luật Bôi-lơ - Ma-ri-ốt
Bài tập trắc nghiệm Vật lý 10 chương 5
VnDoc.com xin giới thiệu tới bạn đọc tài liệu: Trắc nghiệm Vật lý 10 chương 5: Quá trình đẳng nhiệt - Định luật Bôi-lơ - Ma-ri-ốt, với bộ câu hỏi trắc nghiệm kèm theo đáp án sẽ giúp các bạn học sinh rèn luyện cách giải bài tập Vật lý 10 hiệu quả hơn. Mời các bạn học sinh và thầy cô tham khảo.
Trắc nghiệm Vật lý 10 chương 4: Động năng
Trắc nghiệm Vật lý 10 chương 4: Thế năng
Trắc nghiệm Vật lý 10 chương 4: Cơ năng
Trắc nghiệm Vật lý 10: Ôn tập cuối chương 4
Trắc nghiệm Vật lý 10 chương 5: Cấu tạo chất - Thuyết động học phân tử chất khí
Trắc nghiệm Vật lý 10 chương 5: Quá trình đẳng tích - Định luật Sác-lơ
Trắc nghiệm Vật lý 10 chương 5: Quá trình đẳng nhiệt - Định luật Bôi-lơ - Ma-ri-ốt
Câu 1: Khi nén khí đẳng nhiệt thì số phân tử trong một đơn vị thể tích
A. Tăng tỉ lệ thuận với áp suất.
B. Không đổi.
C. Tăng tỉ lệ với bình phương áp suất.
D. Giảm tỉ lệ nghịch với áp suất.
Câu 2: Phát biểu nào sau đây là không đúng khi nói về quá trình đẳng nhiệt của một lượng khí xác định?
A. Áp suất tỉ lệ nghịch với thể tích.
B. Tích của áp suất và thể tích là một hằng số.
C. Trên giản đồ p – V, đồ thị là một đường hypebol.
D. Áp suất tỉ lệ với thể tích.
Câu 3: Hệ thức đúng của định luật Bôi-lơ – Ma-ri-ốt là:

Câu 5: Đồ thị nào sau đây biểu diễn đúng định luật Bôi-lơ – Ma-ri-ốt?

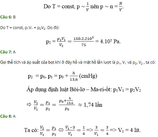
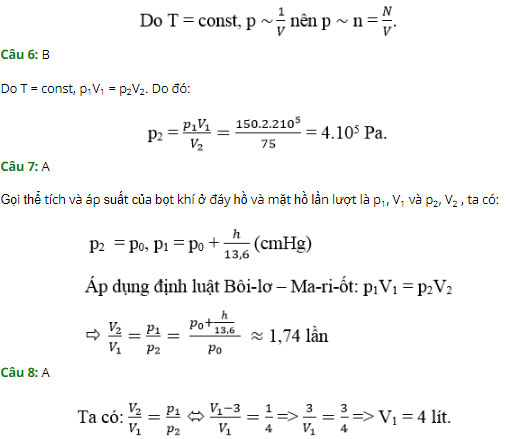
Câu 6: Một xilanh chứa 150 cm3 khí ở 2.105 pa Pít-tông nén khí trong xilanh xuống còn 75 cm3. Nếu coi nhiệt độ không đổi thì áp suất trong xilanh bằng?
A. 2.105 P
B. 4.105 P
C. 3.105 P
D. 5.105 P
Câu 7: Một bọt khí ở đáy hồ sâu 7,5 m nổi lên trên mặt nước. Giả sử nhiệt độ ở đáy hồ và mặt hồ là như nhau. Cho biết áp suất khí quyển po = 75 cmHg, và khối lượng riêng của thủy ngân là 1,36.104 kg/m3. Thể tích bọt khí đã tăng lên?
A. 1,74 lần.
B. 3,47 lần.
C. 1,50 lần.
D. 2 lần.
Câu 8: Một khối lượng khí lí tưởng xác định có áp suất 2 atm được làm tăng áp suất lên đến 8 atm ở nhiệt độ không đổi thì thể tích biến đổi một lượng là 3 lít. Thể tích ban đầu của khối là?
A. 4 lít.
B. 8 lít.
C. 12 lít.
D. 16 lít.
Câu 9: Nếu áp suất của một lượng khí lí tưởng xác định tăng 1,5.105 Pa thì thể tích biến đổi 3 lít. Nếu áp suất của lượng khí đó tăng 3.105 Pa thì thể tích biến đổi 5 lít. Biết nhiệt độ không đổi, áp suất và thể tích ban đầu của khí là?
A. 3.105 Pa, 9 lít.
B. 6.105 Pa, 15 lít.
C. 6.105 Pa, 9 lít.
D. 3.105 Pa, 12 lít.
Câu 10: Một quả bóng da có dung tích 2,5 lít. Người ta bơm không khí ở áp suất 105 Pa vào bóng. Mỗi lần bơm được 125 cm3 không khí. Biết trước khi bơm, trong bóng có không khí ở áp suất 105 Pa và nhiệt độ không đổi trong thời gian bơm. Áp suất không khí trong quả bóng sau 20 lần bơm bằng?
A. 5.105 Pa
B. 2,5.105 Pa
C. 2.105 Pa
D. 7,5.105 Pa
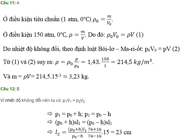
Câu 11: Biết ở điều kiện tiêu chuẩn, khối lượng riêng của ôxi là 1,43 kg/m3+. Khối lượng khí ôxi đựng trong một bình kín có thể tích 15 lít dưới áp suất 150 atm ở nhiệt độ 0oC bằng?
A. 3,23 kg.
B. 214,5 kg.
C. 7,5 kg.
D. 2,25 kg.
Câu 12: Một ống thủy tinh tiến diện đều S, một đầu kín một đầu hở, ở giữa có một cột thủy ngân dài h = 16 cm (Hình 29.1). Khi đặt ống thẳng đứng đầu hở ở trên thì chiều dài của cột không khí là l1 = 15 cm. Áp suât khí quyển po = 76 mmHg. Khi đặt ống thủy tinh thẳng đứng, đầu hở ở phía dưới thì cột không khí trong ống có chiều dài l2 bằng?

A. 30 cm.
B. 23 cm.
C. 32 cm.
D. 20 cm.
Hướng dẫn giải và đáp án trắc nghiệm Vật lý 10 chương 5
| Câu | 1 | 2 | 3 | 4 | 5 | 6 | 7 | 8 | 9 | 10 | 11 | 12 |
| Đáp án | A | D | B | C | B | B | A | A | B | C | A | B |
Câu 1: A

Câu 9: B
Ta có:

