Trắc nghiệm Vật lý 10 chương 1: Chuyển động tròn đều
Trắc nghiệm Vật lý 10 chương 1
VnDoc.com xin giới thiệu tới các em học sinh lớp 10 tài liệu: Trắc nghiệm Vật lý 10 chương 1: Chuyển động tròn đều. Bài viết là tài liệu gồm 23 câu hỏi trắc nghiệm kèm theo cách giải bài tập vật lý 10 giúp các bạn học sinh có kết quả cao trong học tập. Mời các bạn học sinh và thầy cô giáo cùng tham khảo chi tiết bài viết dưới đây nhé.
- Trắc nghiệm Vật lý 10 chương 1: Chuyển động cơ
- Trắc nghiệm Vật lý 10 chương 1: Chuyển động thẳng đều
- Trắc nghiệm Vật lý 10 chương 1: Chuyển động thẳng biến đổi đều
- Trắc nghiệm Vật lý 10 chương 1: Sự rơi tự do
- Trắc nghiệm Vật lý 10 chương 1: Tính tương đối của chuyển động - Công thức cộng vận tốc
Để tiện trao đổi, chia sẻ kinh nghiệm về giảng dạy và học tập các môn học lớp 10, VnDoc mời các thầy cô giáo, các bậc phụ huynh và các bạn học sinh truy cập nhóm riêng dành cho lớp 10 sau: Nhóm Tài liệu học tập lớp 10. Rất mong nhận được sự ủng hộ của các thầy cô và các bạn.
Trắc nghiệm Vật lý 10 chương 1: Chuyển động tròn đều
Câu 1: Chuyển động của vật nào dưới đây được coi là chuyển động tròn đều?
A. Chuyển động quay của bánh xe ô tô khi đang hãm phanh.
B. Chuyển động quay của kim phút trên mặt đồng hồ chạy đúng giờ.
C. Chuyển động quay của của điểm treo các ghế ngồi trên chiếc đu quay.
D. Chuyển động quay của cánh quạt khi vừa tắt điện.
Câu 2: Chuyển động tròn đều có?
A. Vectơ vận tốc không đổi.
B. Tốc độ dài phụ thuộc vào bán kính quỹ đạo.
C. Tốc độ góc phụ thuộc vào bán kính quỹ đạo.
D. Gia tốc có độ lớn không phụ thuộc vào bán kính quỹ đạo.
Câu 3: Câu nào sau đây nói về gia tốc trong chuyển động tròn đều là sai?
A. Vectơ gia tốc luôn hướng vào tâm quỹ đạo.
B. Độ lớn của gia tốc a, với v là vận tốc, R là bán kính quỹ đạo.
C. Gia tốc đặc trưng cho sự biến thiên về độ lớn của vận tốc
D. Vectơ gia tốc luôn vuông góc với vectơ vận tốc ở mọi thời điểm.
Câu 4: Phát biểu nào sau đây là chính xác?
Trong chuyển động tròn đều
A.Vectơ vận tốc luôn không đổi, do đó gia tốc bằng 0.
B. Gia tốc hướng vào tâm quỹ đạo, độ lớn tỉ lệ nghịch với bình phương tốc độ dài.
C. Phương, chiều và độ lớn của vận tốc luôn thay đổi.
D. Gia tốc hướng vào tâm quỹ đạo, độ lớn tỷ lệ với bình phương tốc độ góc
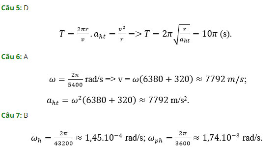
Câu 5: Một vật chuyển động theo đường tròn bán kính r = 100 cm với gia tốc hướng tâm bằng = 4 cm/s2. Chu kì T của chuyển động vật đó là?
A. 8π (s).
B. 6π (s).
C. 12π (s).
D. 10π (s).
Câu 6: Một vệ tinh nhân tạo chuyển động tròn đều quanh Trái Đất, mỗi vòng hết 90 phút. Vệ tinh bay ở độ cao 320 km so với mặt đất. Biết bán kính Trái Đất là 6380 km. Vận tốc và gia tốc hướng tâm của vệ tinh là?
A. 7792 m/s; 9062 m/s2.
B. 7651 m/s; 8120 m/s2.
C. 6800 m/s; 7892 m/s2.
D. 7902 m/s; 8960 m/s2.
Câu 7: Trên mặt một chiếc đồng hồ treo tường, kim giờ dài 10 cm, kim phút dài 15 cm. Tốc độ góc của kim giờ và kim phút là?
A. 1,52.10-4 rad/s ; 1,82.10-3 rad/s.
B. 1,45.10-4 rad/s ; 1,74.10-3 rad/s.
C. 1,54.10-4 rad/s ; 1,91.10-3 rad/s.
D. 1,48.10-4 rad/s ; 1,78.10-3 rad/s.
Dùng dữ liệu sau để trả lời các bài tập 8, 9, 10.
Một hòn đá buộc vào sợi dây có chiều dài 1 m, quay đều trong mặt phẳng thẳng đứng với tốc độ 60 vòng/phút.
Câu 8: Thời gian để hòn đá quay hết một vòng là?
A. 2 s.
B. 1 s.
C. 3,14 s.
D. 6,28 s.
Câu 9: Tốc độ dài của hòn đá bằng?
A. 2 m/s.
B. 3,14 m/s.
C. 6,28 m/s.
D. 1 m/s.
Câu 10: Gia tốc hướng tâm bằng?
A. 39,44 m/s2.
B. 4 m/s2.
C. 10 m/s2.
D. 1 m/s2.
Câu 11: Công thức nào sau đây biểu diễn không đúng quan hệ giữa các đại lượng đặc trưng của một vật chuyển động tròn đều?
A.
\(f=\dfrac{2\pi.r}{v}\)
B.
\(T=\dfrac{2\pi.r}{v}\)
C.
\(v=\omega.r\)
D.
\(\omega=\dfrac{2\pi}{T}\)
Câu 12: Chọn đáp án đúng khi nói về vectơ gia tốc của vật chuyển động tròn đều.
A. Có độ lớn bằng 0.
B. Giống nhau tại mọi điểm trên quỹ đạo.
C. Luôn cùng hướng với vectơ vận tốc
D. Luôn vuông góc với vectơ vận tốc
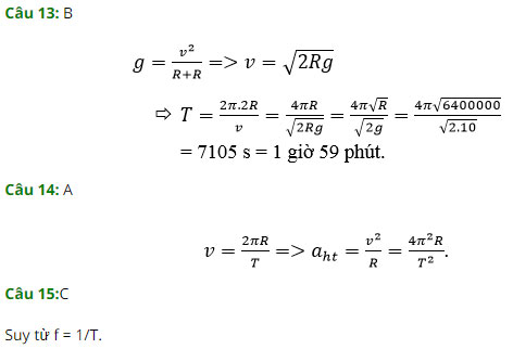
Câu 13: Một vệ tinh nhân tạo chuyển động tròn đều quanh Trái Đất ở độ cao bằng bán kính R của Trái Đất. Lấy gia tốc rơi tự do tại mặt đất là g = 10 m/s2 và bán kính Trái Đất bằng R = 6400 km. Chu kì quay quanh Trái Đất của vệ tinh là?
A. 2 giờ 48 phút.
B. 1 giờ 59 phút.
C. 3 giờ 57 phút.
D. 1 giờ 24 phút.
Câu 14: Cho chuyển động tròn đều với chu kì T, bán kính quĩ đạo R. Biểu thức của gia tốc hướng tâm của vật.
A.
\(a=\dfrac{4.\pi^2.R}{T^2}\)
B.
\(a=\dfrac{4.\pi.R}{T^2}\)
C.
\(a=\dfrac{4.\pi.R}{T}\)
D.
\(a=\dfrac{4.\pi^2.R^2}{T^2}\)
Câu 15: Chọn phát biểu đúng. Trong các chuyển động tròn đều?
A. Chuyển động nào có chu kì quay nhỏ hơn, thì tốc độ góc lớn hơn.
B. Chuyển động nào có chu kì quay lớn hơn, thì có tốc độ dài lớn hơn.
C. Chuyển động nào có tần số lớn hơn, thì có chu kì quay nhỏ hơn.
D. Có cùng chu kì, thì chuyển động nào có bán kính nhỏ hơn thì có tốc độ góc nhỏ hơn.
Câu 16: Một vật chuyển động tròn đều với quỹ đạo có bán kính r, tốc độ góc ω. Biểu thức liên hệ giữa gia tốc hướng tâm a của vật với tần số góc ω và bán kính r là?
A.
\(a=\omega.r\)
B.
\(\sqrt{\omega}=\dfrac{a}{r}\)
C.
\(\omega=\sqrt{\dfrac{a}{r}}\)
D.
\(a=\omega.r^2\)
Câu 17: Một đồng hồ có kim giờ dài 3 cm, kim phút dài 4 cm. Tỉ số giữa tốc độ dài của hai đầu kim là?
A.
\(\dfrac{v_{ph}}{v_g}=18\)
B.
\(\dfrac{v_{ph}}{v_g}=12\)
C.
\(\dfrac{v_{ph}}{v_g}=32\)
D.
\(\dfrac{v_{ph}}{v_g}=16\)
Câu 18: Một chiếc xe đạp chạy với vận tốc 40 km/h trên một vòng đua có bán kính 100m. Gia tốc hướng tâm của xe là?
A. 0,11 m/s2.
B. 0,4 m/s2.
C. 1,23 m/s2.
D. 16 m/s2.
Câu 19: Tìm câu sai.
Trong chuyển động tròn đều thì
A. Mọi điểm trên bán kính của chất điểm đều có cùng một tốc độ góc
B. Tốc độ dài của chất điểm là không đổi.
C. Mọi điểm trên cùng một bán kính có tốc độ dài khác nhau.
D. Vectơ vận tốc của chất điểm là không đổi.
Câu 20: Hai vật chất A và B chuyển động tròn đều lần lượt trên hai đường tròn có bán kính khác nhau với R1 = 4R2, nhưng có cùng chu kì. Nếu vật A chuyển động với tốc độ dài bằng 12 m/s, thì tốc độ dài của vật B là?
A. 48 m/s.
B. 24 m/s.
C. 3 m/s.
D. 4 m/s.
Câu 21: Một vật chuyển động tròn đều với tốc độ dài là 5 m/s và có tốc độ góc 10 rad/s. Gia tốc hướng tâm của vật đó có độ lớn là?
A. 50 m/s2.
B. 2 m/s2.
C. 0,5 m/s2.
D. 5 m/s2.
Câu 22: Hai vật A và B chuyển động tròn đều trên hai đường tròn tiếp xúc nhau. Chu kì của A là 4s, còn chu kì của B là 2s. Biết rằng tại thời điểm ban đầu chúng xuất phát cùng một lúc từ điểm tiếp xúc của hai đường tròn và chuyển động ngược chiều nhau. Khoảng thời gian ngắn nhất để hai vật gặp nhau là?
A. 1 s.
B. 2 s.
C. 6 s.
D. 4 s.
Câu 23: Một cánh quạt có tốc độ quay 6000 vòng/phút. Chu kì của nó bằng?
A. 0,5 s.
B. 0,01 s.
C. 0,02 s.
D. 0,05 s.
Câu 24: Chọn khẳng định sai trong các khẳng định sau:
Chuyển động tròn đều là chuyển động có:
A. Tốc độ góc không đổi
B. Gia tốc hướng tâm không đổi
C. Quỹ đạo chuyển động không đổi
D. Tốc độ dài không thay đổi
Câu 25: Một hòn đá buộc vào một sợi dây có chiều dài 1 m, quay đều trong mặt phẳng thẳng đứng với tốc độ 60 vòng/phút. Thời gian để hòn đá quay hết một vòng là:
A. 2s
B. 3,14s
C. 1s
D. 6,28s
Câu 26: Gia tốc của chuyển dộng tròn đều là một đại lượng vectơ
A. Luôn cùng hướng với vectơ vận tốc
B. Luôn hướng về tâm quỹ đạo chuyển động
C. Luôn tiếp tuyến với quỹ đạo chuyển động
D. Ngược hướng với vectơ vận tốc
Câu 27: Chuyển động nào sau đây là chuyển động tròn đều?
A. Con lắc đồng hồ
B. Đầu cánh quạt khi quay ổn định
C. Đầu van xe đạp đối với mặt đường, khi xe chạy đều
D. Một mắt xích xe đạp
Câu 28: Trong chuyển động tròn đều có tốc độ dài bán kính quỹ đạo tỉ lệ thuận với
A. Tần số góc
B. Tần số
C. Chu kì
D. Gia tốc
Hướng dẫn giải và đáp án trắc nghiệm Vật lý 10
| Câu | 1 | 2 | 3 | 4 | 5 | 6 | 7 | 8 |
| Đáp án | C | B | C | D | D | A | B | A |
| Câu | 9 | 10 | 11 | 12 | 13 | 14 | 15 | 16 |
| Đáp án | C | A | A | D | B | A | C | C |
| Câu | 17 | 18 | 19 | 20 | 21 | 22 | 23 | 24 |
| Đáp án | D | C | D | C | A | D | B |
B |
| Câu | 25 | 26 | 27 | 28 |
|
|||
| Đáp án | C | B | B | C |
|



Trên đây VnDoc.com vừa gửi tới bạn đọc bài viết Trắc nghiệm Vật lý 10 chương 1: Chuyển động tròn đều để bạn đọc cùng tham khảo. Chắc hẳn qua bài viết bạn đọc đã nắm được nội dung cũng như trau dồi được thêm kiến thức nội dung bài học rồi đúng không ạ? Bài viết cho chúng ta thấy được khái niệm, công thức chuyển động tròn đều, cách phân biệt nhận dạng chuyển động tròn đều... Để giúp bạn đọc có thêm nhiều tài liệu học tập hơn nữa, VnDoc.com mời bạn đọc cùng tham khảo thêm một số tài liệu học tập được chúng tôi biên soạn và tổng hợp tại các mục Toán lớp 10, Hóa học lớp 10...