Trắc nghiệm Vật lý 10 chương 1: Sự rơi tự do
Trắc nghiệm Vật lý 10 chương 1
VnDoc.com xin giới thiệu tới bạn đọc tài liệu: Trắc nghiệm Vật lý 10 chương 1: Sự rơi tự do, tài liệu gồm 20 câu hỏi trắc nghiệm kèm theo lời giải chi tiết sẽ giúp các bạn học sinh lớp 10 học tập hiệu quả hơn môn Vật lý. Mời các bạn học sinh và thầy cô tham khảo.
Trắc nghiệm Vật lý 10 chương 1: Chuyển động cơ
Trắc nghiệm Vật lý 10 chương 1: Chuyển động thẳng đều
Trắc nghiệm Vật lý 10 chương 1: Chuyển động thẳng biến đổi đều
Trắc nghiệm Vật lý 10 chương 1: Sự rơi tự do
Câu 1: Câu nào sau đây nói về sự rơi là đúng?
A. Khi không có sức cản, vật nặng rơi nhanh hơn vật nhẹ.
B. Ở cùng một nơi, mọi vật rơi tự do có cùng gia tốc
C. Khi rơi tự do, vật nào ở đọ cao hơn sẽ rơi với gia tốc lớn hơn.
D. Vận tốc của vật chạm đất, không phụ thuộc vào độ cao của vật khi rơi.
Câu 2: Chuyển động của vật nào dưới đây có thể coi như chuyển động rơi tự do?
A. Một vận động viên nhảy dù đang rơi khi dù đã mở.
B. Một viên gạch rơi từ độ cao 3 m xuống đất.
C. Một chiếc thang máy đang chuyển động đi xuống.
D. Một chiếc lá đang rơi.
Câu 3: Một vật rơi thẳng đứng từ độ cao 19,6 m với vận tốc ban đầu bang 0 (bỏ qua sức cản không khí, lấy g = 9,8 m/s2). Thời gian vật đi được 1 m cuối cùng bằng?
A. 0,05 s.
B. 0,45 s.
C. 1,95 s.
D. 2 s.
Câu 4: Trong suốt giây cuối cùng, một vật rơi tự do đi được một đoạn đường bằng nửa độ cao toàn phần h kể từ vị trí ban đầu của vật. Độ cao h đo (lấy g = 9,8 m/s2) bằng?
A. 9,8 m.
B. 19,6 m.
C. 29,4 m.
D. 57 m.
Câu 5: Hai vật ở độ cao h1 và h2 = 10 m, cùng rơi tự do với vận tốc ban đầu bằng 0. Thời gian rơi của vật thứ nhất bằng nửa thời gian rơi của vật thứ hai. Độ cao h1 bằng?
A. 10√2 m.
B. 40 m.
C. 20 m.
D. 2,5 m.
Câu 6: Một viên đá được thả từ một khí cầu đang bay lên theo phương thẳng đứng với vận tốc 5 m/s, ở độ cao 300 m. Viên đá chạm đất sau khoảng thời gian?
A. 8,35 s.
B. 7,8 s.
C. 7,3 s
D. 1,5 s.
Câu 7: Một vật rơi từ độ cao 10 m so với một sàn thang máy đang nâng đều lên với vận tốc 0,5 m/s để hứng vật. Trong khi vật rơi để chạm sàn, sàn đã được nâng lên một đoạn bằng (g = 10 m/s2)?
A. 0,7 m.
B. 0,5 m.
C. 0,3 m.
D. 0,1 m.
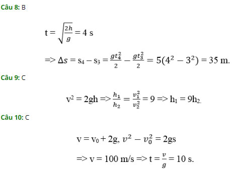
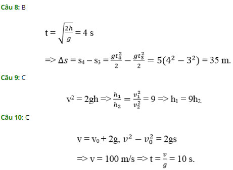
Câu 8: Một vật nhỏ rơi tự do từ các độ cao h=80 m so với mặt đất. Lấy gia tốc rơi tự do g = 10 m/s2. Quãng đường vật đi được trong 1 giây cuối cùng trước khi chạm đất là?
A. 5 m.
B. 35 m.
C. 45 m.
D. 20 m.
Câu 9: Hai chất điểm rơi tự do từ các độ cao h1, h2. Coi gia tốc rơi tự do của chúng là như nhau. Biết vận tốc tương ứng của chúng khi chạm đất là v1 = 3v2 thì tỉ số giữa hai độ cao tương ứng là?
A. h1 = (1/9)h2.
B. h1 = (1/3)h2.
C. h1 = 9h2.
D. h1 = 3h2.
Câu 10: Một vật rơi tự do tại nơi có g =10 m/s2. Trong 2 giây cuối vật rơi được 180 m. Thời gian rơi của vật là?
A. 6 s.
B. 8 s.
C. 10 s.
D. 12 s.
Câu 11: Một vật được thả tự do với vận tốc ban đầu bằng 0 và trong giây cuối cùng nó đi được nửa đoạn đường rơi. Lấy g = 10 m/s2. Thời gian rơi của vật là?
A. 0,6 s.
B. 3,4 s.
C. 1,6 s.
D. 5 s.
Câu 12: Một vật được thả rơi tự do từ một độ cao so với mặt đất thì thời gian rơi là 5 s. Nếu vật này được thả rơi tự do từ cùng một độ cao nhưng ở Mặt Trăng (có gia tốc rơi tự do là 1,7 m/s2) thì thời gian rơi sẽ là?
A. 12 s.
B. 8 s.
C. 9 s.
D. 15,5 s.
Câu 13: Hai viên bi được thả rơi tự do từ cùng một độ cao, nhưng bi A rơi trước bi B một khoảng thời gian Δt = 0,5 s. Ngay sau khi viên bi B rơi xuống và trước khi bi A chạm đất thì?
A. Khoảng cách giữa hai bi tăng lên.
B. Khoảng cách giữa hai bi giảm đi.
C. Khoảng cách giữa hai bi không đổi.
D. Ban đầu khoảng cách giữa hai bi tăng lên, sau đó giảm đi.
Câu 14: Từ mặt đất, một viên bi nhỏ được ném thẳng đứng lên cao với vận tốc 30 m/s. Cho g = 10 m/s2 thì hướng và độ lớn của vận tốc của vật lúc t = 4 s như thế nào?
A. 10 m/s và hướng lên.
B. 30 m/s và hướng lên.
C. 10 m/s và hướng xuống.
D. 30 m/s và hướng xuống.
Câu 15: Từ một độ cao nào đó với g = 10 m/s2, một vật được ném thẳng đứng hướng xuống với vận tốc là 5 m/s. Sau 4 giây kể từ lúc ném, vật rơi được một quãng đường?
A. 50 m.
B. 60 m.
C. 80 m.
D. 100 m .
Câu 16: Một vật được thả rơi tự do tại nơi có g = 10 m/s2. Trong giây thứ hai vật rơi được một đoạn đường?
A. 30 m.
B. 20 m.
C. 15 m.
D. 10 m.
Câu 17: Trong trò chơi tung hứng, một vật được ném thẳng đứng cao, sau 2 giây thì chụp được nó. Cho g = 10 m/s2. Độ cao cực địa mà vật đạt tới kể từ điểm ném là?
A. 5 m.
B. 10 m.
C. 15 m.
D. 20 m.
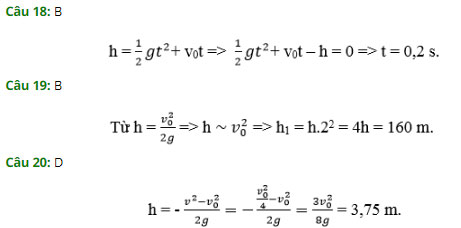
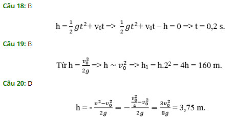
Câu 18: Từ độ cao h = 1 m so với mặt đất, một vật được ném thẳng đứng hướng xuống với vận tốc 4 m/s. Cho g = 10 m/s2. Thời gian rơi của vật khi nó chạm đất là?
A. 0,125 s.
B. 0,2 s.
C. 0,5 s.
D. 0,4 s.
Câu 19: Từ mặt đất, một vật được ném thẳng đứng lên cao. Độ cao tối đa mà vật đạt tới là h = 40 m. Nếu ném vật thứ hai với vận tốc gấp đôi thì độ cao tối đa mà vật thứ hai đạt tới sẽ là?
A. 80 m.
B. 160 m.
C. 180 m.
D. 240 m.
Câu 20: Từ mặt đất, một viên bi nhỏ được ném thẳng đứng lên cao với vận tốc 10 m/s, cho g = 10 m/s2. Ở độ cao nào thì vận tốc của nó giảm đi còn một nửa?
A. 5 m.
B. 2,5 m.
C. 1,25 m.
D. 3,75 m.
Hướng dẫn giải và đáp án trắc nghiệm Vật lý 10
| Câu | 1 | 2 | 3 | 4 | 5 | 6 | 7 | 8 | 9 | 10 |
| Đáp án | B | B | A | D | D | A | A | B | C | C |
| Câu | 11 | 23 | 13 | 14 | 15 | 16 | 17 | 18 | 19 | 20 |
| Đáp án | B | A | A | C | D | C | A | B | B | D |
Câu 3: A
Thời gian đi cả quãng đường
\(t\ =\ \sqrt{\frac{2s}{g}}=\ 2s\)
Thời gian đi được quãng đường đầu tiên (19,6 – 1 = 18,6) là : t1 = 1,95 s
⇒ Thời gian đi được 1 m cuối cùng là: t2 = t – t1 = 0,05 s.


