Trắc nghiệm Vật lý 10 chương 1: Chuyển động thẳng đều
Trắc nghiệm Vật lý 10 chương 1
Chuyển động thẳng đều là chuyển động có quỹ đạo. Ngày hôm nay VnDoc.com xin giới thiệu tới bạn đọc tài liệu: Trắc nghiệm Vật lý 10 chương 1: Chuyển động thẳng đều, với bộ câu hỏi trắc nghiệm kèm theo đáp án sẽ giúp các bạn học sinh học tập dễ dàng hơn môn Vật lý lớp 10. Mời các bạn học sinh và thầy cô tham khảo chi tiết bài viết dưới đây nhé.
- Trắc nghiệm Vật lý 10 chương 1: Chuyển động cơ
- Trắc nghiệm Vật lý 10 chương 1: Chuyển động thẳng đều
- Trắc nghiệm Vật lý 10 chương 1: Chuyển động thẳng biến đổi đều
Để tiện trao đổi, chia sẻ kinh nghiệm về giảng dạy và học tập các môn học lớp 10, VnDoc mời các thầy cô giáo, các bậc phụ huynh và các bạn học sinh truy cập nhóm riêng dành cho lớp 10 sau: Nhóm Tài liệu học tập lớp 10. Rất mong nhận được sự ủng hộ của các thầy cô và các bạn.
Lý thuyết Chuyển động thẳng đều
Chuyển động thẳng đều là chuyển động có quỹ đạo là đường thẳng và có vận tốc trung bình như nhau trên mọi quãng đường.
Vận tốc trung bình (tốc độ trung bình):
- Vận tốc trung bình của một vật đi trên đoạn đường s trong khoảng thời gian t được xác định bằng thương số giữa quãng đường đi được và khoảng thời gian để đi hết quãng đường đó.
vtb=s/t
Đơn vị đo vận tốc là m/s hoặc km/h…
- Vận tốc trung bình của một vật chuyển động cho biết sự nhanh, chậm của chuyển động.
Trắc nghiệm Vật lý 10 chương 1: Chuyển động thẳng đều
Câu 1: Một chiếc xe chuyển động trên một đoạn đường thẳng AB với tốc độ trung bình là v. Câu nào sau đây là đúng?
A. Xe chắc chắn chuyển động thẳng đều với tốc độ là v.
B. Quãng đường xe chạy được tỉ lệ thuận với thời gian chuyển động.
C. Tốc độ trung bình trên các quãng đường khác nhau trên đường thẳng AB có thể là khác nhau.
D. Thời gian chạy tỉ lệ với tốc độ v.
Câu 2: Một vật chuyển động dọc theo chiều (+) trục Ox với vận tốc không đổi, thì?
A. Tọa độ của vật luôn có giá trị (+).
B. Vận tốc của vật luôn có giá tri (+).
C. Tọa độ và vận tốc của vật luôn có giá trị (+).
D. Tọa độ luôn trùng với quãng đường.
Câu 3: Từ A một chiếc xe chuyển động thẳng trên một quãng đường dài 10 km, rồi sau đó lập tức quay về về A. Thời gian của hành trình là 20 phút. Tốc độ trung bình của xe trong thời gian này là?
| A. 20 km/h. | B. 30 km/h. |
| C. 60 km/h. | D. 40 km/h. |
Câu 4: Một chiếc xe chạy trên đoạn đường 40 km với tốc độ trung bình là 80 km/h, trên đoạn đường 40 km tiếp theo với tốc độ trung bình là 40 km/h. Tốc độ trung bình của xe trên đoạn đường 80 km này là?
| A. 53 km/h. | B. 65 km/h. |
| C. 60 km/h. | D. 50 km/h. |
Câu 5: Một chiếc xe từ A đến B mất một khoảng thời gian t với tốc độ trung bình là 48 km/h. Trong 1/4 khoảng thời gian đầu nó chạy với tốc độ trung bình là v1 = 30 km/h. Trong khoảng thời gian còn lại nó chạy với tốc độ trung bình bằng?
| A. 56 km/h. | B. 50 km/h. |
| C. 52 km/h. | D. 54 km/h. |
Câu 6: Hình 2.1 cho biết đồ thị tọa độ của một chiếc xe chuyền động trên đường thẳng. Vận tốc của xe là?

|
A. 10 km/h |
B. 12,5 km/h. |
| C. 7,5 km/h. | D. 20 km/h. |
Câu 7: Hình 2.2 cho biết đồ thị tọa độ của một xe chuyển động thẳng. Vận tốc của nó là 5 m/s. Tọa độ của xe lúc t = 0?

| A. 0 m. | B. 10 m. |
| C. 15 m. | D. 20 m. |
Câu 8: Trong cáC đồ thị x - t dưới đây (Hình 2.3), đồ thị nào không biểu diễn chuyển động thẳng đều.

Câu 9: Một ô tô chuyển động đều trên một đoạn đường thẳng với vận tốc 60 km/h. Bến xe nằm ở đầu đoạn đường nhưng xe xuất phát từ một địa điểm trển đoạn đường cách bến xe 4 km. Chon bến xe là vật mốc, chọn thời điển xe xuất phát làm gốc thời gian và chọn chiều dương là chiều chuyển động. Phương trình chuyển động của ô tô trên đoạn đường này là:
| A. x = 60t (km; h). | B. x = 4 – 60t (km; h). |
| C. x = 4 + 60t (km; h). | D. x = -4 + 60t (km; h). |
Câu 10: Trên trục x’Ox có hai ô tô chuyển động với phương trình tọa độ lần lượt là x1(t) = -20 +100 và x2(t) = 10t – 50 (t tính bằng đơn vị giây (t > 0), còn x tính bằng đơn vị mét). Khoảng cách giữa hai ô tô lúc t = 2 giây là?
| A. 90 m. | B. 0 m. | C. 60 m. | D. 30 m. |
Câu 11: Cho đồ thị tọa độ - thời gian cuả một ô tô chạy từ địa điểm A đến địa điểm B trên một đường thẳng (Hình 2.4). Dựa vào đồ thị, viết được phương trình chuyển động của ô tô là?

| A. x = 30t (km ; h). | B. x = 30 + 5t (km ; h). |
| C. x = 30 + 25t (km ; h). | D. x = 30 + 39t (km ; h). |
Câu 12: Cho đồ thị tọa độ - thời gian của một vật như hình 2.5. Vật chuyển động thẳng đều trong khoảng thời gian?

A. Từ 0 đến t2.
B. Từ t1 đền t2.
C. Từ 0 đến t1 và từ t2 đến t3.
D. Từ 0 đến t3.
Câu 13: Hình 2.6 cho biết đồ thị tọa độ - thời gian của một ô tô chuyển động thẳng, tốc độ của nó là 2 m/s. Tọa độ của ô tô lúc t = 4s là?

A. 28 m.
B. 20 m.
C. 15 m.
D. 12 m.
Câu 14: Hình 2.7 cho biết đồ thị tọa độ - thời gian của một ô tô chuyển động thẳng. Quãng đường ô tô đi được kể từ lúc to = 0 đến lúc t = 10s là?

| A. 40 m. | B. 30 m. | C. 20 m. | D. 10 m. |
Câu 15: Vật chuyển động thẳng đều có đồ thị tọa độ - thời gian như hình 2.8. Phương trình chuyển động của vật có dạng sau đây?

| A. x = 5 +5t. | B. x = 4t. |
| C. x = 5 – 5t. | D. x = 5 + 4t. |
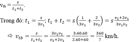
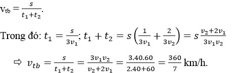
Câu 16: Một ô tô chạy trên đường thẳng. Ở 1/3 đoạn đầu của đường đi, ô tô chạy với tốc độ 40 km/h, ở 2/3 đoạn sau của đường đi, ô tô chạy với tốc độ 60 km/h. Tốc độ trung bình của ô tô trên cả đoạn đường là?
| A. 120/7 km/h. | B. 360/7 km/h. |
| C. 55 km/h. | D. 50 km/h. |
Câu 17: Một máy bay cất cánh từ Hà Nội đi Bắc Kinh vào hồi 9 giờ 30 phút theo giờ Hà Nội và đến Bắc Kinh vào lúc 14 giờ 30 phút cùng ngày theo giờ địa phương. Biết rằng giờ Bắc Kinh nhanh hơn giờ Hà Nội 1 giờ. Biết tốc độ trung bình của máy bay là 1000 km/h. Coi máy bay bay theo đường thẳng. Khoảng cách từ Hà Nội đến Bắc Kinh là?
A. 4000 km.
B. 6000 km.
C. 3000 km.
D. 5000 km
Câu 18: Một người đi xe đạp từ nhà tới trường theo một đường thẳng, với tốc độ 15 km/h. Khoảng cách từ nhà đến trường là 5 km. Chọn hệ trục tọa độ Ox trùng với đường thẳng chuyển động, gốc O tại trường, chiều dương ngược với chiều chuyển động, gốc thời gian là lúc xuất phát. Phương trình chuyển động của người đó có dạng?
A. x = 5 + 15t (km).
B. x = 5 – 15t (km).
C. x = - 5 + 15t (km).
D. x = - 5 – 15t (km).
Dùng dữ liệu sau để trả lời các Câu 19, 20.
Ba xe chuyển động trên cùng một đường thẳng. Đường biểu diễn tọa độ theo thời gian của ba xe I, II, III cho trên hình 2.9.

Câu 19: Tìm câu sai.
A. Ba xe chạy thẳng đều và chạy nhanh như nhau.
B. Xe III chạy nhanh nhất, rồi đến xe II và xe I.
C. Xe III và xe II cùng khởi hành một lúc, còn xe I khởi hành sau một thời gian.
D. Xe III không xuất phát cùng một địa điểm với xe II và xe I.
Câu 20: Phương trình chuyển động của các xe là?
A. Xe I : x1 = vt ; xe II : x2 = vt ; xe III : x3 = xo + vt.
B. Xe I : x1 = v(t + to) ; xe II : x2 = vt ; xe III : x3 = xo + vt.
C. Xe I : x1 = v(t – to) ; xe II : x2 = vt ; xe III : x3 = xo + vt.
D. Xe I : x1 = v(t – to) ; xe II : x2 = vt – vo ; xe III : x3 = vt.
Câu 21: Đồ thị biểu diễn vận tốc theo thời gian trong chuyển động thẳng đều trong hệ tọa độ vuông góc Otv (trục Ot biểu diễn thời gian, trục Ov biểu diễn vận tốc của vật) có dạng như thế nào?
A. Hướng lên trên nếu v > 0.
B. Hướng xuống dưới nếu v < 0.
C. Song song với trục vận tốc Ov.
D. Song song với trục thời gian Ot.
Dùng dữ liệu sau để trả lời các Câu 22, 23.
Lúc 8 giờ 30 phút, một xe ô tô chuyển động từ A đến B cách nhau 150 km với vận tốc 80 km/h. Cùng lúc đó, một mô tô chuyển động từ B đến A với vận tốc 40 km/h. Chọn gốc là tọa độ là B, chiều dương từ B đến A, gốc thời gian lúc hai xe bắt đầu chuyển động. Coi đoạn đường AB là thẳng.
Câu 22: Phương trình chuyển động của hai xe có dạng:
A. xA = 150 + 80t ; xB = -40t.
B. xA = 80t ;
\(x_B\) = 150 + 40t.
C. xA = 150 - 80t ; xB = 40t.
D. xA = -80t ; xB = 40t.
Câu 23: Hai xe gặp nhau lúc mấy giờ? Nơi gặp nhau cách A bao nhiêu km?
A. 9 giờ 45 phút ; 50 km.
B. 9 giờ 45 phút ; 100 km.
C. 10 giờ 00 ; 90 km.
D. 10 giờ 00 ; 128 km.
Câu 24: Từ hai địa điểm A và B cách nhau 180 km có hai xe khởi hành cùng một lúc, chạy ngược chiều nhau. Xe từ A có vận tốc v1 = 36 km/h, xe từ B có vận tôc v2 = 54 km/h. Chọn địa điểm A làm gốc tọa độ, chọn gốc thời gian lúc hai xe khởi hành, chiều từ A đến B là chiều dương. Thời điểm hai xe tới gặp nhau và tọa độ của địa điểm hai xe gặp nhau là?
A. t = 10 h; x = 360 km.
B. t = 1,8 h; x = 64,8 km.
C. t = 2 h; x = 72 km.
D. t = 36 s; x = 360 m.
Câu 25: Chọn khẳng định sai trong các khẳng định dưới đây:
Chuyển động tròn đều là chuyển động có đặc điểm
A. Vectơ gia tốc không đổi
B. Quỹ đạo đường tròn
C. Tốc độ dài không đổi
D. Tốc độ góc không đổi
Câu 26: Một người đi từ A đến B theo chuyển động thẳng. Nửa đoạn đường đầu, người ấy đi với vận tốc trung bình 8 km/h. Trên đoạn đường còn lại thì nửa thời gian đầu đi với tốc độ trung bình 5 km\h và nửa thời gian sau với tốc độ 3 km/h. Tìm tốc độ trung bình của người đó trên cả quãng đường AB?
A. 7,5km/h
B. 6km/h
C. 8km/h
D. 5,33km/h
Câu 27: Một ô tô chuyển động trên một đường thẳng và có tốc độ luôn bằng 85 km/h. Bến xe nằm ở đầu đoạn thẳng và xe ôtô xuất phát từ một điểm cách bến xe 4 km. Chọn bến xe làm vật mốc, chọn thời điểm ô tô xuất phát làm mốc thời gian và chọn chiều chuyển động của ô tô làm chiều dương. Phương trình chuyển động của ô tô trên đoạn đường này là:
A. x = 4 - 85t (km, h)
B. x = 85t (km, h)
C. x = 4 + 85t (km, h)
D. x = 85 - 4t (km, h)
Câu 28: Cùng một lúc tại hai điểm A và B cách nhau 10 km có hai ô tô chạy cùng chiều trên đường thẳng từ A đến B. Tốc độ của ô tô chạy từ A là 54 km/h và của ô tô chạy từ B là 48 km/h. Chọn A làm mốc, chọn thời điểm xuất phát của hai xe ô tô làm mốc thời gian và chọn chiều chuyển động của hai xe làm chiều dương. Thời điểm lúc ô tô A đuổi kịp ô tô B và khoảng cách từ A đến địa điểm hai xe gặp nhau lần lượt là:
A. 1h40'. 70 km/h
B. 1h30', 65 km/h
C. 1h25', 50 km/h
D. 1h35', 105 km/h
Hướng dẫn giải và đáp án trắc nghiệm Vật lý 10 chương 1
| Câu | 1 | 2 | 3 | 4 | 5 | 6 | 7 | 8 |
| Đáp án | C | B | C | A | D | A | C | B |
| Câu | 9 | 10 | 11 | 12 | 13 | 14 | 15 | 16 |
| Đáp án | C | A | A | C | D | C | A | B |
| Câu | 17 | 18 | 19 | 20 | 21 | 22 | 23 | 24 |
| Đáp án | A | B | B | C | D | C | A | C |
| Câu | 25 | 26 | 27 | 28 | ||||
| Đáp án | A | D | C | A |
Câu 3: C
\(V_{tb}=\dfrac{s}{t}=\dfrac{2.10}{\dfrac{1}{3}}=60km/h\)
Câu 4: A
Thời gian chuyển động trên đoạn đường 80 km:
t = 0,5 + 1 = 1,5 h
⇒ Tốc độ trung bình vtb = 80/15 ≈ 53 km/h.
Câu 5: D
Quãng đường xe chạy từ A đến B: s = 48t.
Quãng đường xe chạy trong t/4: s1 = 30.t/4
Tốc độ trung bình trong khoảng thời gian còn lại là:
\(V_{tb}=\dfrac{48t-7,5t}{0,75t}=54\)
Câu 6:A
Theo đồ thị: lúc t1 = 1 h, x1 = 20 km; lúc t2 = 4 h, x2 = 50 km
⇒
\(V=\dfrac{x_2-x_1}{t_2-t_1}=\dfrac{50-20}{4-1}=10km/h\)
Câu 7: C
Phương trình chuyển động: x = 5t + xo.
Lúc t = 5s, x = 40 m ⇒ xo = 15 m.
Câu 9: C
xo = 4 km, vo = 60 km/h ⇒ x = 4 + 60t (km ; h).
Câu 10: A
Khoảng cách giữa hai xe : l=|x1 (2)-x2 (2)| = 60 + 30 = 90 m.
Câu 11: A
Theo đồ thị xo = 0, v = 3/1 = 3 km/h ⇒ x = 30t (km; h).
Câu 12: C
Các đoạn xiên góc trên đồ thị.
Câu 13: D
xo = 20 m, v = -20/10= -2 m/s ⇒ x = 20 -2t ⇒ x(4) = 12m.
Câu 14: C
Quãng đường đi được bằng diện tích hai tam giác:
⇒
\(S=\dfrac{10.2}{2}+\dfrac{10.2}{2}=20m\)
Câu 15: A
xo = 5 m, v = 25/5 = 5 m/s ⇒ x = 5 + 5t.
Câu 16: B

Câu 17: A
Lúc ở Bắc Kinh là 14 giờ 30 phút thì ở Hà Nội đang là 13 giờ 30 phút, do vậy thời gian bay là 13 giờ 30 phút – 9 giờ 30 phút = 4 giờ.
⇒ Khoảng cách từ Hà Nội đến Bắc Kinh là: s = vt = 1000.4 = 4000 km.
Câu 18: B
xo = 5 km; v = - 15 km/h ⇒ x = 5 – 15t (km).
Câu 19: B
Các đồ thị I, II, III biểu diễn tọa độ theo thời gian là những đường thẳng xiên góc, song song với nhau. Chuyển động của ba xe là thẳng đều với cùng tốc độ.
Câu 20: C
v là vận tốc của ba xe.
Xe I xuất phát lúc t0, vậy phương trình chuyển động của xe I là: x1 = v(t – to).
Xe II và xe III cùng xuất phát lúc t = 0, các phương trình chuyển động tương ứng là x2 = vt và x3 = xo + vt.
Câu 22: C
Theo đề bài: xOA = 150; xOB = 0; vOA = - 80 km/h; vOB = 40 km/h, t0 =0
⇒ xA = 150 – 80t; xB = 40t.
Câu 23: A
Hai xe gặp nhau: xA = xB ⇒ t = 1 giờ 15 phút
Hai xe gặp nhau lúc 8 giờ 30 phút + 1 giờ 15 phút = 9 giờ 45 phút.
Cách A: xA (1 giờ 15 phút) = 150 – 80.5/4 = 50 km.
Câu 24: C
xOA = 0; vOA = 36 km/h; xOB = 180 km; vOB = -54 km/h
xA = 36t; xB = 180 – 54t. Khi hai xe gặp nhau: xA = xB
⇔ 36t = 180 – 54t ⇒ t = 2 h ⇒ Khi gặp nhau xA = 72 km/h.
Ngoài Trắc nghiệm Vật lý 10 chương 1: Chuyển động thẳng đều. Mời các bạn học sinh còn có thể tham khảo thêm Giải Vở BT Vật Lý 10 , Giải bài tập Vật Lí 10 , Trắc nghiệm Vật lý 10 hoặc đề thi học học kì 1 lớp 10 , đề thi học học kì 2 lớp 10 các môn Toán , Văn , Anh , Hóa , Lý, Địa, Sinh mà chúng tôi đã sưu tầm và chọn lọc.
Mời bạn đọc cùng tham khảo thêm các tài liệu về chuyển động thẳng đều dưới đây:
- Giải bài tập Vật lý lớp 10 bài 2: Chuyển động thẳng đều
- Giải bài tập Vật lý 10 nâng cao bài 2: Vận tốc trong chuyển động thẳng - Chuyển động thẳng đều
- Lý thuyết: Chuyển động thẳng đều
- Bài tập chuyển động thẳng đều dạng 1
- Bài tập chuyển động thẳng đều dạng 2
- Bài tập chuyển động thẳng đều dạng 3
- Giải bài tập SBT Vật lý lớp 10 bài 2: Chuyển động thẳng đều