Bài tập chuyển động thẳng đều dạng 3
Chủ đề Chuyển động thẳng đều - Chuyên đề Động học chất điểm
Bài tập chuyển động thẳng đều dạng 3 - Vẽ đồ thị của chuyển động thằng đều thuộc chuyên đề Vật lý 10, hỗ trợ học sinh ôn luyện nâng cao kết quả học tập môn Vật lý 10. Mời các bạn tham khảo chi tiết.
Dạng 3: Vẽ đồ thị của chuyển động thằng đều
A. Phương pháp & Ví dụ
Bước 1: Chọn hệ quy chiếu, gốc thời gian và tỉ lệ xích thích hợp
Bước 2: Viết phương trình toạ độ của vật, từ đó vẽ đồ thị chuyển động
* Chú ý:
- Khi v > 0 ⇔ đồ thị hướng lên
- Khi v < 0 ⇔ đồ thị hướng xuống dưới
- Khi v = 0 ⇔ đồ thị nằm ngang
- Khi v1 = v2 ⇔ hai đồ thị song song
- Hai đồ thị cắt nhau: Toạ độ giao điểm cho biết thời điểm và nơi gặp nhau của hai vật chuyển động.
- Các dạng đồ thị:
Đồ thị tọa độ theo thời gian trong chuyển động thẳng đều

Đồ thị vận tốc theo thời gian:

Bài tập vận dụng
Bài 1: Hai thành phố A và B cách nhau 100km. Cùng một lúc, hai xe chuyển động đều ngược chiều nhau, xe ô tô đi từ A với vận tốc 30km/h, xe mô tô đi từ B với vận tốc 20km/h. Chọn A làm gốc toạ độ, chiều dương từ A đến B, gốc thời gian là lúc hai xe bắt đầu đi.
a. Viết phương trình chuyển động của mỗi xe
b. Vẽ đồ thị toạ độ của mỗi xe. Từ đồ thị, xác định vị trí và thời điểm hai xe gặp nhau.
Hướng dẫn:

a. Phương trình chuyển động của hai xe
Xe ô tô: x1 = 30t
Xe mô tô: x2 = 100 - 20t
b. Đồ thị toạ độ-thời gian:
+ Chọn hệ toạ độ như hình vẽ: Lấy điểm theo phương trình chuyển động ở câu a
+ Đồ thị toạ độ:
- Của ô tô: Đồ thị x1 trong đó có chứa đoạn thẳng OM
- Của mô tô: Đồ thị x2 trong đó chứa đoạn thẳng PM
+ Vị trí hai xe gặp nhau: Hai đoạn thẳng cắt nhau tại điểm M nên vị trí 2 xe gặp nhau cách gốc tọa độ 60km, thời điểm hai xe gặp nhau là lúc 2h
Bài 2: Đồ thị chuyển động của hai xe (I), (II) được biểu thị trên hình vẽ. Dựa vào đồ thị:
a. Xác định tính chất chuyển động và tính vận tốc của mỗi xe.
b. Lập phương trình toạ độ của mỗi xe
c. Xác định vị trí và thời điểm hai xe gặp nhau
Hướng dẫn:

a. Tính chất chuyển động và tính vận tốc của mỗi xe:
Xe (I): chuyển động thẳng đều
Vận tốc: 
Xe (II): chuyển động thẳng đều
Vận tốc: 
b. Phương trình toạ độ của hai xe
Xe (I): x1 = 20t
Xe (II): x2 = 20 + 5(t+2)= 30 + 5t
c. Thời điểm và vị trí hai xe gặp nhau:
Từ đồ thị:
- Hai xe gặp nhau cách gốc tọa độ 40 km
- Thời điểm hai xe gặp nhau là lúc 2h
Bài 3: Một ô tô khởi hành từ Hà Nội lúc 7h sáng, chạy về hướng Ninh Bình với vận tốc 60 km/h. Sau khi đi được 45 phút, xe dừng 15 rồi tiếp tục đi với vận tốc đều như lúc trước. Lúc 7h30 phút sáng một ô tô thứ hai khởi hành từ Hà Nội đuổi theo xe thứ nhất, với vận tốc đều 70 km/h.
1. Vẽ đồ thị toạ độ thời gian của mỗi xe
2. Hai xe gặp nhau lúc nào và ở đâu
Hướng dẫn:
Chọn gốc thời gian là lúc 7h
Chọn gốc toạ độ tại Hà Nội
Chọn chiều dương là chiều chuyển động của hai xe
1. Phương trình chuyển động
+ Của ô tô thứ nhất:
x1 = 60t
Tuy nhiên, có một khoảng thời gian xe dừng lại mà thời gian thì tiếp tục tăng nên đồ thị đoạn đó sẽ là đoạn thẳng song song với trục Ot, quãng đường không đổi
+ Của ô tô thứ hai:
x2 = 70t
+ Đồ thị của hai ô tô như hình vẽ

2. Dựa vào đồ thị ta thấy hai ô tô gặp nhau lúc 7 + 2 = 9h nơi gặp cách gốc toạ độ 105 km
Bài 4: Hãy mô tả chuyển động của một vật có đồ thị vị trí- thời gian ở như hình vẽ và đồ thị vận tốc- thời gian tương ứng của vật.

Hướng dẫn:
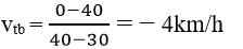
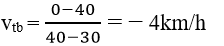
+ Trong khoảng thời gian từ 0h đến 10h: Tọa độ x = 0, vật đứng yên tại gốc toạ độ O.
+ Trong khoảng thời gian từ 10h đến 15h: Vật chuyển động từ gốc O đến vị trí có x = 40 km, tức là theo chiều dương, với vận tốc trung bình:

+ Trong khoảng thời gian từ 15h đến 30h: Toạ độ luôn là x = 40 km, vật đứng yên tại vị trí này.
+ Trong khoảng thời gian từ 30h đến 40h: Vật chuyển động từ vị trí có x = 40 km đến vị trí có x = 0 (theo chiều âm),với vận tốc trung bình là:

+ Từ 40h trở đi: Vật đứng yên tại gốc O.
Ta có sơ đồ chuyển động:

Và nếu chỉ để ý sự biến thiên của vận tốc theo thời gian, ta vẽ được đồ thị vận tốc-thời gian:

Bài 5: Vật chuyển động thẳng đều có đồ thị tọa độ-thời gian như hình vẽ. Phương trình chuyển động của vật có dạng như thế nào?

Hướng dẫn:
Ta có: s = | Δx| = |x − x0| = 25 − 5 = 20 m; t = 5s

Do đó phương trình chuyển động của vật là:
x = x0 + vt = 5 + 4t
B. Bài tập trắc nghiệm
Đồ thị chuyển động của hai xe (I) và (II) được mô tả trên hình.

Câu 1: Phương trình tọa độ của xe (I) là:
A. x1 = 20 + 2t
B. x1 = -10 + 2t
C. x1 = 20 - 2t
D. x1 = -10 - 2t
Câu 2: Phương trình tọa độ của xe (II) là:
A. x2 = 5 + 2t
B. x2 = 20 + 4t
C. x2 = −20 + 4t
D. x2 = -20 + 2t
Câu 3: Khoảng cách giữa 2 xe lúc t = 10s là bao nhiêu?
A. 10m
B. 20m
C. 30m
D. 40m
Đồ thị của 3 vật (I), (II), (III) được thể hiện trên hình vẽ:

Câu 4: Tính chất chuyển động của vật (I) là gì?
A. Đang chuyển động thẳng đều theo chiều dương
B. Đang đứng yên
C. Đang chuyển động thẳng theo chiều dương
D. Đang chuyển động thẳng đều ngược chiều dương
Câu 5: Trạng thái chuyển động của vật (II) là gì?
A. Đang chuyển động thẳng đều theo chiều dương
B. Đang đứng yên
C. Đang chuyển động thẳng theo chiều dương
D. Đang chuyển động thẳng đều ngược chiều dương
Câu 6: Trạng thái chuyển động của vật (III) là gì?
A. Đang chuyển động thẳng đều theo chiều dương
B. Đang đứng yên
C. Đang chuyển động thẳng theo chiều dương
D. Đang chuyển động thẳng đều ngược chiều dương
Câu 7: Phương trình chuyển động của vật (I) có dạng như thế nào?
A. x1 = 5 + t
B. x1 = 0
C. x1 = 5
D. x1 = 5t
Câu 8: Phương trình chuyển động của vật (II) có dạng như thế nào?
A. x2 = 5 – t
B. x2 = 5+ t
C. x2 = 5
D. x2 = 5t
Câu 9: Phương trình chuyển động của vật (III) có dạng như thế nào?
A. x3 = 10 + 0,5t
B. x3 = 10 – 0,5t
C. x3 = -10 - 0,5t
D. x3 = -10 + 0,5t
Câu 10: Đâu là đồ thị chuyển động của phương trình: x = 10 - 2/3 t

Câu 11: Phương trình chuyển động của đồ thị sau có dạng như thế nào?

A. x = 5/3t
B. x = 3/5t
C. x = 5 + 3t
D. x = 3 +5t
Câu 12: Phương trình chuyển động của đồ thị sau có dạng như thế nào?

Câu 13: Quãng đường vật đi được trong đồ thị trên là bao nhiêu?

A. 564 m
B. 546 m
C. 546 km
D. 564 km
Chuyển động của hai xe (1), (2) được thể hiện trên đồ thị (x, t) qua hình vẽ:

Câu 14: Phương trình chuyển động của xe (1) là:

Câu 15: Phương trình chuyển động của xe (2) là:

| Câu | 1 | 2 | 3 | 4 | 5 | 6 | 7 | 8 | 9 | 10 | 11 | 12 | 13 | 14 | 15 |
| Đ/án | A | C | B | B | D | A | C | A | D | A | C | A | D | A |
Mời các bạn tham khảo thêm
- Làm online: Bài tập chuyển động thẳng đều dạng 3
- Lý thuyết: Chuyển động thẳng đều
- Bài tập chuyển động thẳng đều dạng 2: Viết phương trình chuyển động thẳng đều
- Bài tập chuyển động thẳng đều dạng 1: Xác định vận tốc, quãng đường và thời gian trong chuyển động thẳng đều
Để có kết quả cao hơn trong học tập, VnDoc xin giới thiệu tới các bạn học sinh tài liệu Trắc nghiệm Vật lý 10, Giải bài tập Vật Lí 10, Giải bài tập Hóa 10 nâng cao, .... được biên soạn và đăng tải chi tiết.