Bài tập Chất khí dạng 6
Chuyên đề Chất khí
Chuyên đề Vật lý 10 được VnDoc đăng tải với tài liệu Bài tập Chất khí dạng 6 gồm các bài tập về đồ thị trạng thái khí lí tưởng nhằm hỗ trợ học sinh nâng cao kết quả học tập môn Lý 10.
Dạng 6: Đồ thị trạng thái khí lí tưởng
A. Phương pháp & Ví dụ
Lý thuyết - Phương pháp giải
- Đường đẳng nhiệt:

- Đường đẳng tích:

- Đường đẳng áp:

Bài tập vận dụng
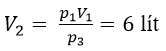
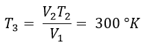
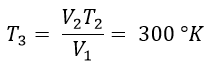
Bài 1: Một khối khí thực hiện 1 chu trình như hình vẽ. Cho p1 =6.105 Pa, V1 = 2 lít, T2 = 100°K, p3 = 2.105 Pa.
a. Nêu tên gọi các đẳng quấ trình trong chu trình. Tính V2 và T3.
b. Vẽ lại chu trình trên trong hệ tọa độ (p,T).
Hướng dẫn:

a. (1) ⇒ (2): đẳng nhiệt.
(2) ⇒ (3): đẳng áp.
(3) ⇒ (1): đẳng tích.
Từ các đẳng quá trình ta suy ra: T1 = T2, p2 = p3, V3 = V1.
Từ quá trình đẳng nhiệt ta có:
p1.V1 = p2.V2 ⇔ p1.V1 = p3.V2 ⇔ 
Từ quá trính đẳng áp ta có:
V3.T3 = V2.T2 ⇔ V1.T3 = V2. T2 ⇔ 
b. Vẽ đồ thị.
Bài 2: Một xilanh chưa khí bị hở nên khí có thể ra vào nhanh hoặc chậm. Khí áp suất p không đổi, thể tích V biến thiên theo nhiệt độ tuyệt đối T như đồ thị. Hỏi lượng khí trong xilanh tăng hay giảm?

Hướng dẫn:

Vẽ đường thẳng qua T1, song song với trục OV, cắt đồ thị (V, T) của hai khí tại A ( p1, V1, T1) và B ( p1, V2, T1):

Vì V2 < V1 nên m2 < m1: khối lượng khí trong bình giảm.
Bài 3: Có 20g khí Heli chứa trong xilanh đậy kín bởi 1 pittong biến đổi chậm từ (1) đến (2) theo đồ thị như hình vẽ. Cho V1 = 30 lít, p1 = 5 atm, V2 = 10 lít, p2 = 15 atm. Tìm nhiệt độ cao nhất mà khí đạt được trong quá trình trên.

Hướng dẫn:
Quá trình từ (1) đến (2): p = aV + b.
Thay các giá trị (p1, V1) và (p2, V2) vào ta được:
5 = 30a + b (1)
10 = 10a + b (2)
Từ (1) và (2) suy ra:

Bài 4: Một lượng khí oxi ở 130°C dưới áp suất 105 N/ m2 được nén đẳng nhiệt đến áp suất 1,3.105 N/m2. Cần làm lạnh đẳng tích khí đến nhiệt độ nào để áp suất giảm bằng lúc đầu. Biểu diễn quá trình biến đổi bên trong các hệ tọa độ (p, V), (p, T), (V, T).
Hướng dẫn:
Ta có các trạng thái khí:
Lúc đầu: p1 = 105 N/m2, V1, T1 = 130 + 273 = 403K.
Sau khi nén đẳng nhiệt: p2 = 1,3.105 N/m2, V2, T2 = T1 = 403K.
Sau khi làm lạnh đẳng tích: p3 = p1 = 105 N/m2, V3 = V2, T3.
Quá trình từ (2) đến (3) đẳng tích: 
T3 = 310K = 37°C
Vậy để áp suất giảm bằng lúc đầu thì phải làm lạnh đến nhiệt độ 37°C.
Đồ thị các quá trình biến đổi:

Bài 5: Hai xilanh chứa hai loại khí có khối lượng mol là μ1, μ2 khác nhau nhưng có cùng khối lượng m. Áp suất của 2 khí cũng bằng nhau. Quá trình biến đổi đẳng áp được biến đổi như các đồ thị trong hình bên. Hãy so sánh các khối lượng mol.

Hướng dẫn:

Vẽ đường thẳng qua T1, song song với trục OV, cắt đồ thị (V, T) của hai khí tại A ( p1, V1, T1) và B ( p1, V2, T1):

Vì V2 > V1 nên μ2 < μ1: khối lượng khí trong bình giảm.
B. Bài tập trắc nghiệm
Câu 1: Một khối khí khi đặt ở điều kiện nhiệt độ không đổi thì có sự biến thiên của thể tích theo áp suất như hình vẽ. Khi áp suất có giá trị 0,5kN/m2 thì thể tích của khối khí bằng:

A. 3,6m3
B. 4,8m3
C. 7,2m3
D. 14,4m3
Chọn B
Câu 2: Đồ thị nào sau đây biểu diễn đúng định luật Bôilơ – Mariôt:

Chọn B
Câu 3: Đồ thị nào sau đây biểu diễn đúng định luật Bôilơ – Mariôt:

Chọn C
Câu 4: Đồ thị nào sau đây biểu diễn đúng định luật Bôilơ – Mariôt:

Chọn D
Câu 5: Đồ thị nào sau đây biểu diễn đúng định luật B

Chọn D
Câu 6: Đồ thị biểu diễn hai đường đẳng nhiệt của cùng một lượng khí lí tưởng biểu diễn như hình vẽ. Mối quan hệ về nhiệt độ của hai đường đẳng nhiệt này là:

A. T2 > T1
B. T2 = T1
C. T2 < T1
D. T2 ≤ T1
Chọn A
Câu 7: Cho đồ thị của áp suất theo nhiệt độ của hai khối khí A và B có thể tích không đổi như hình vẽ. Nhận xét nào sau đây là sai:

A. Hai đường biểu diễn đều cắt trục hoành tại điểm – 273°C.
B. Khi t = 0°C, áp suất của khối khí A lớn hơn áp suất của khối khí B.
C. Áp suất của khối khí A luôn lớn hơn áp suất của khối khí B tại mọi nhiệt độ.
D. Khi tăng nhiệt độ, áp suất của khối khí B tăng nhanh hơn áp suất của khối.
Chọn D
Câu 8: Cùng một khối lượng khí đựng trong 3 bình kín có thể tích khác nhau, đồ thị thay đổi áp suất theo nhiệt độ của 3 khối khí ở 3 bình được mô tả như hình vẽ. Quan hệ về thể tích của 3 bình đó là:

A. V3 > V2 > V1
B. V3 = V2 = V1
C. V3 < V2 < V1
D. V3 ≥ V2 ≥ V1
Chọn C
Câu 9: Đồ thị biểu diễn sự biến thiên của thể tích một khối khí lí tưởng xác định, theo nhiệt độ như hình vẽ. Chỉ ra đâu là đáp án sai:

A. Điểm A có hoành độ bằng – 273°C
B. Điểm B có tung độ bằng 100cm3
C. Khối khí có thể tích bằng 100cm3 khi nhiệt độ khối khí bằng 136,5°C
D. Trong quá trình biến đổi, áp suất của khối khí không đổi
Chọn C
Câu 10: Cho đồ thị biến đổi trạng thái của một khối khí lí tưởng xác định, từ trạng thái 1 đến trạng thái 2. Đồ thị nào dưới đây tương ứng với đồ thị trên biểu diễn đúng quá trình biến đổi trạng thái của khối khí này:

Chọn B
Câu 11: Một khối khí ban đầu có các thông số trạng thái là: p0; V0; T0. Biến đổi đẳng áp đến 2V0 sau đó nén đẳng nhiệt về thể tích ban đầu. Đồ thị nào sau đây diễn tả đúng quá trình trên:

Chọn C
Câu 12: Một lượng 0,25 mol khí Hêli trong xi lanh có nhiệt độ T1 và thể tích V1 được biến đổi theo một chu trình khép kín: dãn đẳng áp tới thể tích V2 = 1,5 V1; rồi nén đẳng nhiệt; sau đó làm lạnh đẳng tích về trạng thái 1 ban đầu. Nếu mô tả định tính các quá trình này bằng đồ thị như hình vẽ bên thì phải sử dụng hệ tọa độ nào?

A. (p,V)
B. (V,T)
C. (p,T)
D. (p,1/V)
Chọn B
Mời bạn làm thêm
- Làm online: Bài tập Chất khí dạng 6
- Bài tập Chất khí dạng 5
- Bài tập Chất khí dạng 4
- Bài tập Cơ sở của nhiệt động lực học dạng 1
Để có kết quả cao hơn trong học tập, VnDoc xin giới thiệu tới các bạn học sinh tài liệu Trắc nghiệm Vật lý 10, Giải bài tập Vật Lí 10, Giải bài tập Hóa 10 nâng cao, .... được biên soạn và đăng tải chi tiết.