Bài tập Cơ sở của nhiệt động lực học dạng 2
Chuyên đề Cơ sở của nhiệt động lực học
Bài tập Cơ sở của nhiệt động lực học dạng 2 thuộc chuyên đề Vật lý 10 được VnDoc biên soạn và đăng tải, hỗ trợ học sinh nắm rõ các dạng bài tập đặc trưng của nguyên lí 1 nhiệt động lực học môn Lý 10.
Dạng 2: Nguyên lí 1 nhiệt động lực học
A. Phương pháp & Ví dụ
- Nguyên lí I nhiệt động lực học:
Độ biến thiên nội năng của hệ bằng tổng công và nhiệt lượng mà hệ nhận được:
ΔU = A + Q
- Chú ý:
- Quá trình đẳng tích: ΔV=0 ⇒ A = 0 nên ΔU = Q.
- Quá trình đẳng nhiệt: ΔT=0 ⇒ Q = 0 nên ΔU = A.
- Quá trình đẳng tích: Công giãn nở: A = pΔV.
Bài tập vận dụng
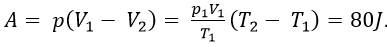
Bài 1: Một lượng khí ở áp suất 2.104 N/m2 có thể tích 6 lít. Được đun nóng đẳng áp khí nở ra và có thể tích 8 lít. Tính:
a. Công do khí thực hiện.
b. Độ biến thiên nội năng của khí. Biết khi đun nóng khí nhận được nhiệt lượng 100J.
Hướng dẫn:
a. Với p = 2.104 N/m2 và ΔT = 2.10-3 m3.
⇒ Công do khí thực hiện là: A = pΔV = 40J.
Vì nhận nhiệt lượng nên công (Q > 0) nên: A = - 40J.
b. Với Q = 100J và A = - 40J thì độ biến thiện nội năng của khí là:
ΔU = A + Q = 100 - 40 = 60J.
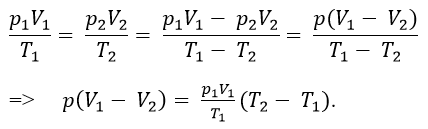
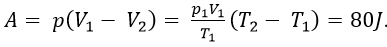
Bài 2: Một khối khí có áp suất p = 100 N/m2, thể tích V1 = 4m3, nhiệt độ t1 = 27°C được nung nóng đẳng áp đến nhiệt độ t2 = 87°C. Tính công do khí thực hiện.
Hướng dẫn:
PT trạng thái khí lí tưởng: p1 = p2 = p

Do đó công do khí thực hiện là:

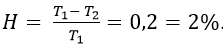
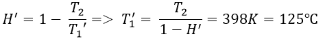
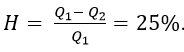
Bài 3: Một động cơ nhiệt lí tưởng hoạt động giữ 2 nguồn nhiệt từ 100°C và 24,5°C thực hiện công 2kJ.
a. Tính hiệu suất của động cơ, nhiệt lượng mà động cơ nhận từ nguồn nóng và nhiệt lượng mà nó truyền cho nguồn lạnh.
b. Phải tăng nhiệt độ của nguồn nóng lên bao nhiêu để hiệu suất động cơ đạt 25%?
Hướng dẫn:
a. Hiệu suất của động cơ: 
⇒ Nhiệt lượng mà động cơ nhận từ nguồn nóng là: Q1 = A/H = 10 kJ.
⇒ Nhiệt lượng mà động cơ truyền cho nguồn lạnh: Q2 = Q1 - A = 8 kJ.
b. Hiệu suất động cơ đạt 25% nên:

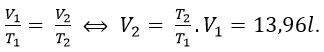
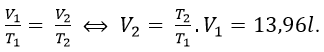
Bài 4: Một khối khí có thể tích 10 lít ở áp suất 2.105 N/m2 được nung nóng đẳng áp từ 30°C đến 150°C. Tính công do khí thực hiện trong quá trình trên.
Hướng dẫn:
Trong quá trình đẳng áp, ta có:

Vậy công do khí thực hiện là: A = p.ΔV = p.(V2 - V1) = 792J
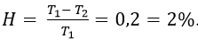
Bài 5: Một bình kín chứa 2g khí lí tưởng ở 20°C được đun nóng đẳng tích để áp suất khí tăng lên 2 lần.
a. Tính nhiệt độ của khí sau khi đun.
b. Tính độ biến thiên nội năng của khối khí, cho biết nhiệt dung riêng đẳng tích khí là 12,3.103 J/kg.K.
Hướng dẫn:
a. Trong quá trình đẳng tích thì 
Vì p2 = 2p1 nên T2 = 2T1 = 586K = 313°C.
b. Theo nguyên lí I ta có: ΔU = A + Q.
Vì đây là quá trình đẳng tích nên A = 0 ⇒ ΔU = Q = 7207,8 J.
B. Bài tập trắc nghiệm
Câu 1: Hệ thức nào sau đây phù hợp với quá trình làm lạnh khí đẳng tích?
A. ΔU = A với A > 0
B. ΔU = Q với Q > 0
C. ΔU = A với A < 0
D. ΔU = Q với Q < 0
Chọn D
Câu 2: Nguyên lí I nhiệt động lực học được diễn tả bởi công thức ΔU = Q + A với quy ước
A. Q > 0: hệ truyền nhiệt.
B. A < 0: hệ nhận công.
C. Q < 0: hệ nhận nhiệt.
D. A > 0: hệ nhận công.
Chọn D
Câu 3: Chọn phát biểu đúng.
A. Trong quá trình đẳng tích, nhiệt lượng mà chất khí nhận được dùng làm tăng nội năng và thực hiện công.
B. Độ biến thiên nội năng của vật bằng tổng công và nhiệt lượng mà vật nhận được.
C. Động cơ nhiệt chuyển hóa tất cả nhiệt lượng nhận được thành công cơ học.
D. Nhiệt có thể tự truyền từ vật lạnh sang vật nóng.
Chọn B
Câu 4: Nội năng của hệ sẽ như thế nào nếu hệ nhận nhiệt và nhận công?
A. Không đổi.
B. Chưa đủ điều kiện để kết luận.
C. Giảm.
D. Tăng.
Chọn D
Câu 5: Trong quá trình chất khí truyền nhiệt và nhận công thì A và Q trong biểu thức: ΔU = Q + A phải có giá trị nào sau đây?
A. Q < 0, A > 0
B. Q < 0, A < 0
C. Q > 0, A > 0
D. Q > 0, A < 0
Chọn A
Câu 6: Trong quá trình chất khí nhận nhiệt và sinh công thì A và Q trong biểu thức ΔU = Q + A phải có giá trị nòa sau đây?
A. Q < 0, A > 0
B. Q > 0, A < 0
C. Q > 0, A > 0
D. Q < 0, A < 0
Chọn B
Câu 7: Trong một chu trình của động cơ nhiệt lí tưởng, chất khí thực hiện một công bằng 2.103J và truyền cho nguồn lạnh một nhiệt lượng bằng 6.103 J. Hiệu suất của động cơ đó bằng
A. 33%
B. 80%
C. 65%
D. 25%
Chọn D
Câu 8: Chọn phát biểu đúng.
A. Độ biến thiên nội năng của một vật là độ biến thiên nhiệt độ của vật đó.
B. Nội năng gọi là nhiệt lượng.
C. Nội năng là phần năng lượng vật nhận được hay mất bớt đi trong quá trình truyền nhiệt.
D. Có thể làm thay đổi nội năng của vật bằng cách thực hiện công.
Chọn D
Câu 9: Câu nào sau đây nói về nội năng là không đúng?
A. Nội năng là một dạng năng lượng.
B. Nội năng có thể chuyển hoá thành các dạng năng lượng khác
C. Nội năng là nhiệt lượng.
D. Nội năng của một vật có thể tăng thêm hoặc giảm đi.
Chọn C
Câu 10: Thực hiện công 100J để nén khí trong xilanh và khí truyền ra môi trường một nhiệt lượng 20J. Kết luận nào sau đây là đúng?
A. Nội năng của khí tăng 80J.
B. Nội năng của khí tăng 120J.
C. Nội năng của khí giảm 80J.
D. Nội năng của khí giảm 120J.
Chọn A
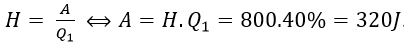
Câu 11: Hiệu suất của một động cơ nhiệt là 40%, nhiệt lượng nguồn nóng cung cấp là 800J. Công mà động cơ nhiệt thực hiện là
A. 2kJ
B. 320J
C. 800J
D. 480J
Hiệu suất của động cơ là:

Câu 12: Người ta thực hiện một công 100J để nén khí trong xylanh. Biết rằng nội năng của khí tăng thêm 10J. Chọn kết luận đúng.
A. Khí truyền ra môi trường xung quanh nhiệt lượng là 110J
B. Khí nhận nhiệt là 90J.
C. Khí truyền ra môi trường xung quanh nhiệt lượng 110J.
D. Khí truyền ra môi trường xung quanh nhiệt lượng 90J.
Chọn D
Câu 13: Một động cơ nhiệt nhận từ nguồn nóng một nhiệt lượng 1200J và truyền cho nguồn lạnh một nhiệt lượng 900J. Hiệu suất của động cơ là
A. lớn hơn 75%
B. 75%
C. 25%
D. nhỏ hơn 25%
Hiệu suất động cơ là: 
Câu 14: Người ta thực hiện công 100J để nén khí trong một xylanh. Biết khí truyền sang môi trường xung quanh nhiệt lượng 20J. Độ biến thiên nội năng của khí là:
A. 80J
B. 120J
C. -80J
D. -120J
Chọn A
Câu 15: Nguyên lí I nhiệt động lực học được biểu diễn bằng công thức ΔU = Q + A. Quy ước nào sau đây là đúng
A. A > 0: hệ thực hiện công
B. Q < 0: hệ nhận nhiệt.
C. A > 0: hệ nhận công
D. ΔU > 0: nội năng của hệ giảm.
Chọn C
Mời bạn làm thêm
- Làm online: Bài tập Cơ sở của nhiệt động lực học dạng 2
- Bài tập Cơ sở của nhiệt động lực học dạng 1
- Bài tập Cơ sở của nhiệt động lực học dạng 3
Để có kết quả cao hơn trong học tập, VnDoc xin giới thiệu tới các bạn học sinh tài liệu Trắc nghiệm Vật lý 10, Giải bài tập Vật Lí 10, Giải bài tập Hóa 10 nâng cao, .... được biên soạn và đăng tải chi tiết.