Lý thuyết: Chuyển động thẳng biến đổi đều
Chủ đề Chuyển động thẳng biến đổi đều - Vật lý 10
VnDoc mời các bạn cùng tham khảo bài Lý thuyết: Chuyển động thẳng biến đổi đều - chuyên đề Vật lý 10 thuộc chương trình học môn Lý 10 cơ bản, hỗ trợ thầy cô cùng các em trong quá trình học tập đạt kết quả cao.
Lý thuyết: Chuyển động thẳng biến đổi đều
1. Vận tốc tức thời. Chuyển động thẳng biến đổi đều.
a) Độ lớn của vận tốc tức thời
Độ lớn vận tốc tức thời v của một vật chuyển động tại một điểm là đại lượng đo bằng thương số giữa đoạn đường rất nhỏ Δs đi qua điểm đó và khoảng thời gian rất ngắn Δt để vật đi hết đoạn đường đó.
Độ lớn vận tốc tức thời tại một điểm cho ta biết sự nhanh chậm của chuyển động tại điểm đó.

b) Vectơ vận tốc tức thời
Vectơ vận tốc tức thời là một đại lượng vectơ có:
- Gốc đặt ở vật chuyển động.
- Phương và chiều là phương và chiều của chuyển động.
- Độ dài biểu diễn độ lớn của vận tốc theo một tỉ xích nào đó.
Chú ý: Khi nhiều vật chuyển động trên một đường thẳng theo hai chiều ngược nhau, ta phải chọn một chiều dương trên đường thẳng đó và quy ước như sau:
- Vật chuyển động theo chiều dương có v > 0.
- Vật chuyển động ngược chiều dương có v < 0.
c) Chuyển động thẳng biến đổi đều
Chuyển động thẳng biến đổi đều là chuyển động có quỹ đạo là đường thẳng và có độ lớn của vận tốc tức thời tăng đều hoặc giảm đều theo thời gian.
- Chuyển động thẳng nhanh dần đều là chuyển động thẳng có độ lớn của vận tốc tức thời tăng đều theo thời gian.
- Chuyển động thẳng chậm dần đều là chuyển động thẳng có độ lớn của vận tốc tức thời giảm đều theo thời gian.
2. Chuyển động thẳng nhanh dần đều và chuyển động thẳng chậm dần đều
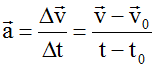
* Khái niệm gia tốc
Gia tốc là đại lượng đặc trưng cho sự biến thiên nhanh hay chậm của vận tốc và được đo bằng thương số giữa độ biến thiên vận tốc Δv và khoảng thời gian vận tốc biến thiên Δt.
Biểu thức:

Trong hệ SI, đơn vị của gia tốc là m/s2
* Vectơ gia tốc
Vì vận tốc là đại lượng vectơ nên gia tốc cũng là đại lượng vectơ:

- Chiều của vectơ gia tốc a→ trong chuyển động thẳng nhanh dần đều luôn cùng chiều với các vectơ vận tốc.
- Chiều của vectơ gia tốc a→ trong chuyển động thẳng chậm dần đều luôn ngược chiều với các vectơ vận tốc.
* Vận tốc, quãng đường đi, phương trình chuyển động của chuyển động thẳng nhanh dần đều và chuyển động thẳng chậm dần đều
- Công thức tính vận tốc: v = v0 + at
- Công thức tính quãng đường:
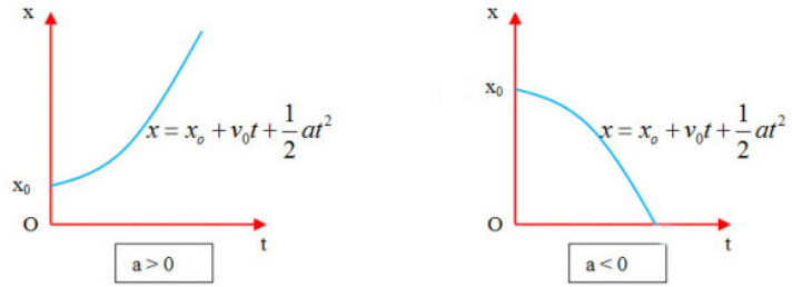
- Phương trình chuyển động:
- Công thức liên hệ giữa gia tốc, vận tốc và quãng đường trong chuyển động thẳng biến đổi đều:
Trong đó: v0 là vận tốc ban đầu
v là vận tốc ở thời điểm t
a là gia tốc của chuyển động
t là thời gian chuyển động
x0 là tọa độ ban đầu
x là tọa độ ở thời điểm t
Nếu chọn chiều dương là chiều chuyển động thì:
v0 > 0 và a > 0 với chuyển động thẳng nhanh dần đều

v0 > 0 và a < 0 với chuyển động thẳng chậm dần đều

* Đồ thị

3) Đồ thị tọa độ - thời gian (x – t)

II. PHƯƠNG PHÁP GIẢI
Tính quãng đường vật đi được trong giây thứ n và trong n giây cuối
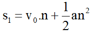
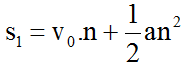
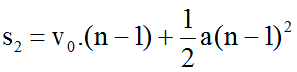
1. Quãng đường vật đi được trong giây thứ n
- Tính quãng đường vật đi trong n giây: 
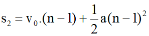
- Tính quãng đường vật đi trong (n - 1) giây: 
- Tính quãng đường vật đi trong giây thứ n: Δs = s1- s2
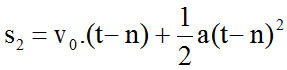
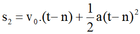
2. Quãng đường vật đi trong n giây cuối
- Tính quãng đường vật đi trong t giây: 
- Tính quãng đường vật đi trong (t - n) giây: 
- Tính quãng đường vật đi trong n giây cuối: Δs = s1- s2
Mời bạn làm thêm
- Dạng 1: Xác định vận tốc, gia tốc, quãng đường trong chuyển động thẳng biến đổi đều
- Dạng 2: Tính quãng đường vật đi được trong giây thứ n và trong n giây cuối
- Dạng 3: Viết phương trình chuyển động thẳng biến đổi đều
Để có kết quả cao hơn trong học tập, VnDoc xin giới thiệu tới các bạn học sinh tài liệu Trắc nghiệm Vật lý 10, Giải bài tập Vật Lí 10, Giải bài tập Hóa 10 nâng cao, .... được biên soạn và đăng tải chi tiết.